Search

Article

x

留言板

姓名
邮箱
手机号码
标题
留言内容
验证码

downloadPDF
Citation:

Quan Hai-Tao, Dong Hui, Sun Chang-Pu
PDF
HTML
Get Citation
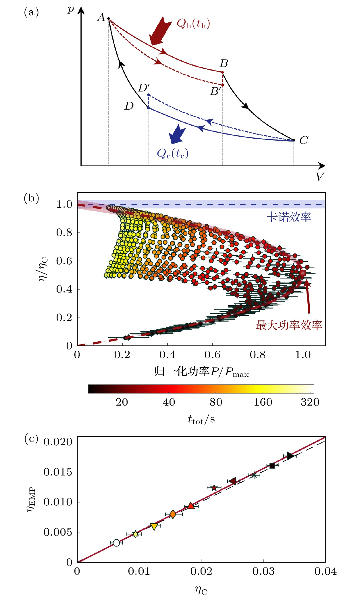
  • Does thermodynamics still hold true for mecroscopic small systems with only limited degrees of freedom? Do concepts such as temperature, entropy, work done, heat transfer, isothermal processes, and the Carnot cycle remain valid? Does the thermodynamic theory for small systems need modifying or supplementing compared with traditional thermodynamics applicable to macroscopic systems? Taking a single-particle system for example, we investigate the applicability of thermodynamic concepts and laws in small systems. We have found that thermodynamic laws still hold true in small systems at an ensemble-averaged level. After considering the information erasure of the Maxwell’s demon, the second law of thermodynamics is not violated. Additionally, ‘small systems’ bring some new features. Fluctuations in thermodynamic quantities become prominent. In any process far from equilibrium, the distribution functions of thermodynamic quantities satisfy certain rigorously established identities. These identities are known as fluctuation theorems. The second law of thermodynamics can be derived from them. Therefore, fluctuation theorems can be considered an upgradation to the second law of thermodynamics. They enable physicists to obtain equilibrium properties (e.g. free energy difference) by measuring physical quantities associated with non-equilibrium processes (e.g. work distributions). Furthermore, despite some distinct quantum features, the performance of quantum heat engine does not outperform that of classical heat engine. The introduction of motion equations into small system makes the relationship between thermodynamics and mechanics closer than before. Physicists can study energy dissipation in non-equilibrium process and optimize the power and efficiency of heat engine from the first principle. These findings enrich the content of thermodynamic theory and provide new ideas for establishing a general framework for non-equilibrium thermodynamics.
        Corresponding author:Quan Hai-Tao,htquan@pku.edu.cn; Sun Chang-Pu,suncp@gscaep.ac.cn
      • Funds:Project supported by the National Natural Science Foundation of China (Grant Nos. 12088101, 11825501, 12375028, U2330401).
      [1]

      [2]

      [3]

      [4]

      [5]

      [6]

      [7]

      [8]

      [9]

      [10]

      [11]

      [12]

      [13]

      [14]

      [15]

      [16]

      [17]

      [18]

      [19]

      [20]

      [21]

      [22]

      [23]

      [24]

      [25]

      [26]

      [27]

      [28]

      [29]

      [30]

      [31]

      [32]

      [33]

      [34]

      [35]

      [36]

      [37]

      [38]

      [39]

      [40]

      [41]

      [42]

      [43]

      [44]

      [45]

      [46]

      [47]

      [48]

      [49]

      [50]

      [51]

      [52]

      [53]

      [54]

      [55]

      [56]

      [57]

      [58]

      [59]

      [60]

      [61]

      [62]

      [63]

      [64]

      [65]

      [66]

      [67]

      [68]

      [69]

      [70]

      [71]

      [72]

      [73]

      [74]

      [75]

      [76]

      [77]

      [78]

      [79]

      [80]

      [81]

      [82]

      [83]

      [84]

      [85]

      [86]

      [87]

      [88]

      [89]

      [90]

      [91]

      [92]

      [93]

      [94]

      [95]

      [96]

      [97]

      [98]

      [99]

      [100]

      [101]

      [102]

      [103]

      [104]

      [105]

      [106]

      [107]

      [108]

      [109]

      [110]

      [111]

      [112]

      [113]

      [114]

      [115]

    • [1]

      [2]

      [3]

      [4]

      [5]

      [6]

      [7]

      [8]

      [9]

      [10]

      [11]

      [12]

      [13]

      [14]

      [15]

      [16]

      [17]

      [18]

      [19]

      [20]

      [21]

      [22]

      [23]

      [24]

      [25]

      [26]

      [27]

      [28]

      [29]

      [30]

      [31]

      [32]

      [33]

      [34]

      [35]

      [36]

      [37]

      [38]

      [39]

      [40]

      [41]

      [42]

      [43]

      [44]

      [45]

      [46]

      [47]

      [48]

      [49]

      [50]

      [51]

      [52]

      [53]

      [54]

      [55]

      [56]

      [57]

      [58]

      [59]

      [60]

      [61]

      [62]

      [63]

      [64]

      [65]

      [66]

      [67]

      [68]

      [69]

      [70]

      [71]

      [72]

      [73]

      [74]

      [75]

      [76]

      [77]

      [78]

      [79]

      [80]

      [81]

      [82]

      [83]

      [84]

      [85]

      [86]

      [87]

      [88]

      [89]

      [90]

      [91]

      [92]

      [93]

      [94]

      [95]

      [96]

      [97]

      [98]

      [99]

      [100]

      [101]

      [102]

      [103]

      [104]

      [105]

      [106]

      [107]

      [108]

      [109]

      [110]

      [111]

      [112]

      [113]

      [114]

      [115]

    Metrics
    • Abstract views:2968
    • PDF Downloads:198
    • Cited By:0
    Publishing process
    • Received Date:07 October 2023
    • Accepted Date:06 November 2023
    • Available Online:14 November 2023
    • Published Online:05 December 2023

      返回文章
      返回