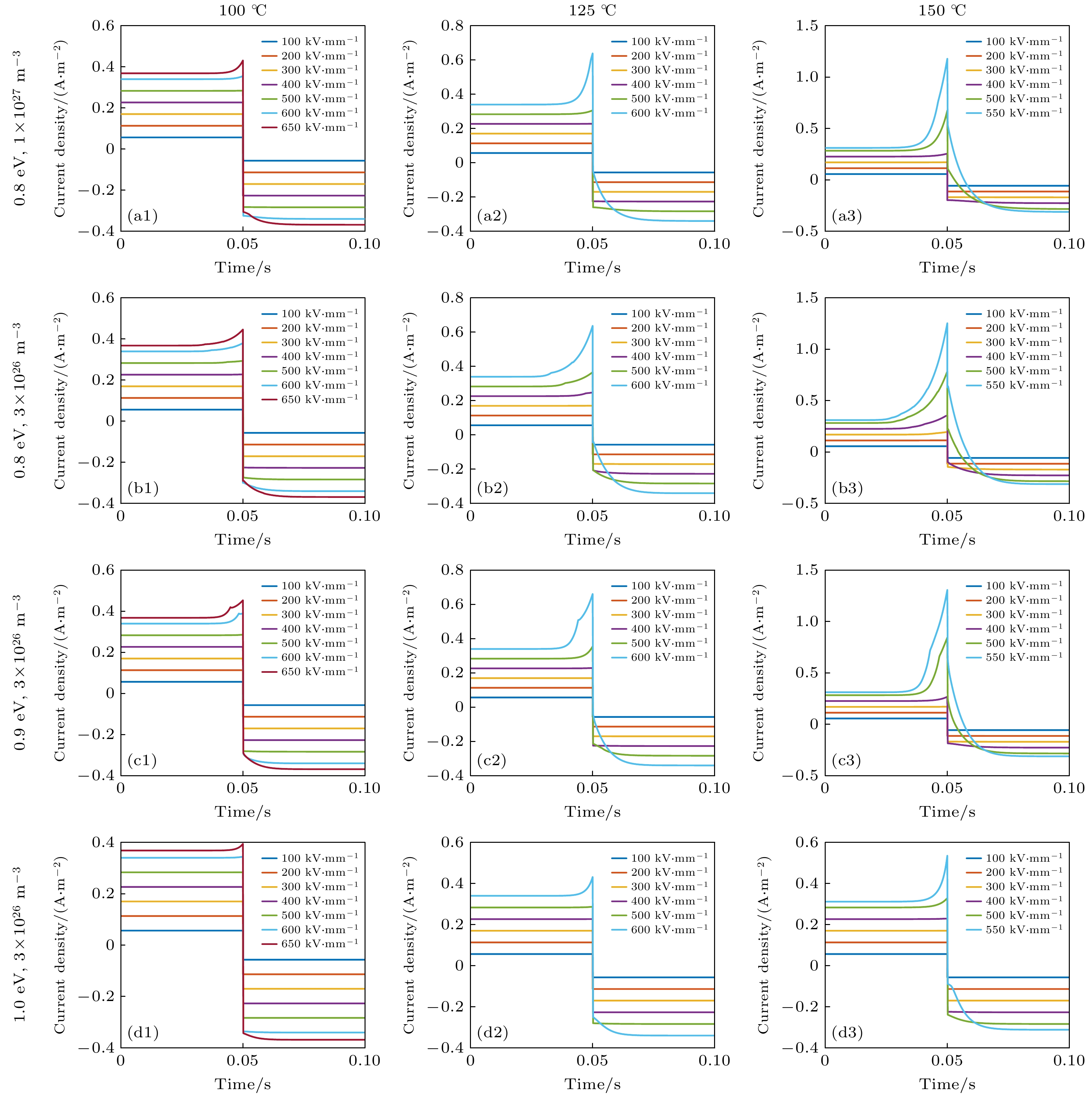
With the development of science and technology, polymer dielectric capacitors are widely used in energy, electronics, transportation, aerospace, and many other areas. For polymer dielectric energy storage capacitors to remain effective in practical applications, excellent charge and discharge performance is essential. However, the performance of the common polymer dielectric capacitors will deteriorate rapidly at high temperature, which makes them fail to work efficiently under worse working conditions. Dielectric trap energy levels and trap densities increase when nanoparticles are incorporated into the dielectric. The change in trap parameters will affect carrier transport. Therefore, the high temperature energy storage performance of polymer nanocomposite dielectric can be improved by changing the trap parameters to regulate the carrier transport process. However, the quantitative relationship between trap energy level and trap density and the energy storage properties of nanocomposite dielectric need further studying. In this paper, the energy storage and release model for exponentially distributed trapped charge jump transport in linear polymer nanocomposite dielectrics is constructed and simulated. The volume resistivity and electric displacement-electric field loops of pure polyetherimide are simulated at 150 ℃, and the simulation results match the experimental results, which demonstrates the validity of the model. Following that, under different temperatures and electric fields, the current density, electric displacement-electric field loops, discharge energy density and charge-discharge efficiency of polyetherimide nanocomposite dielectric are simulated by using different trap parameters. The results show that increasing the maximum trap energy level and the total trap density can effectively reduce the carrier mobility, current density and conductivity loss, and enhance the discharge energy density and the charge-discharge efficiency of the nanocomposite dielectric. On condition that temperature is 150 ℃ and applied electric field is 550 kV/mm, the polyetherimide nanocomposite dielectric with a maximum trap energy level of 1.0 eV and a total trap density of 1×10
27m
–3, has 4.26 J·cm
–3of discharge energy density and 98.93% of energy efficiency. Compared with pure polyetherimide, the rate of improvement is 91.09% and 227.58%, respectively. The energy storage performance under high temperature and high electric field is obviously improved. It provides theoretical and model support for the research and development of capacitors with high temperature resistance and energy storage performance.