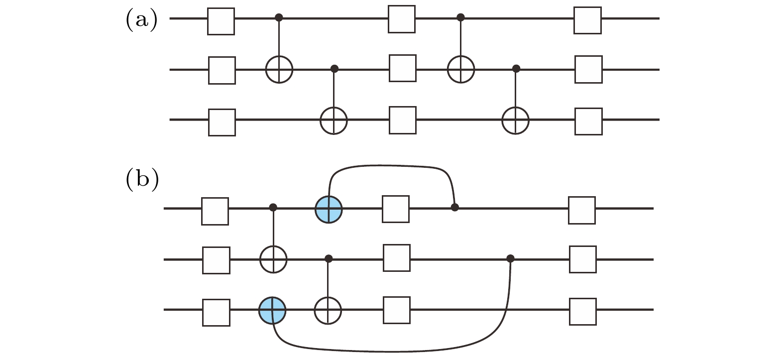
Quantum computing can solve problems that are difficult to solve in classical computing, expanding the range of problems that can be effectively computed within the allowable range of classical physical principles, and posing a challenge to the extended Church-Turing thesis in classical computing. Here, we discuss an interesting question: how to achieve more powerful computers by breaking through the limitations of physical principles, further enhancing the capabilities of quantum computers. To extend quantum computing, novel operations related to relativistic physics are a crucial candidate. Among them, the concept of closed time-like curve has aroused widespread interest, and it introduces the ability for time travel. Mathematically, quantum state along the closed time-like curve is determined through self-consistent equations, which has been demonstrated in simulations. Here, we consider a novel manipulation capability that allows quantum computing to achieve time-travelling quantum control gate. This is an intuitive extension of the graphical language of quantum circuits. Explaining quantum circuits as tensor networks, we first explain how to experimentally simulate the output of such a circuit in a system without time-travel capability. Then, we take an example to demonstrate an extended quantum algorithm that can efficiently solve SAT problems, indicating that with the involvement of time-travelling quantum gates, the computational complexity class P = NP. We also anticipate that the time-travelling quantum gates will play a facilitating role in accomplishing other quantum tasks, including achieving deterministic non-orthogonal quantum state discrimination, and quantum state cloning. Our results contribute to a more in-depth understanding of the relationship between computation and physical principles.