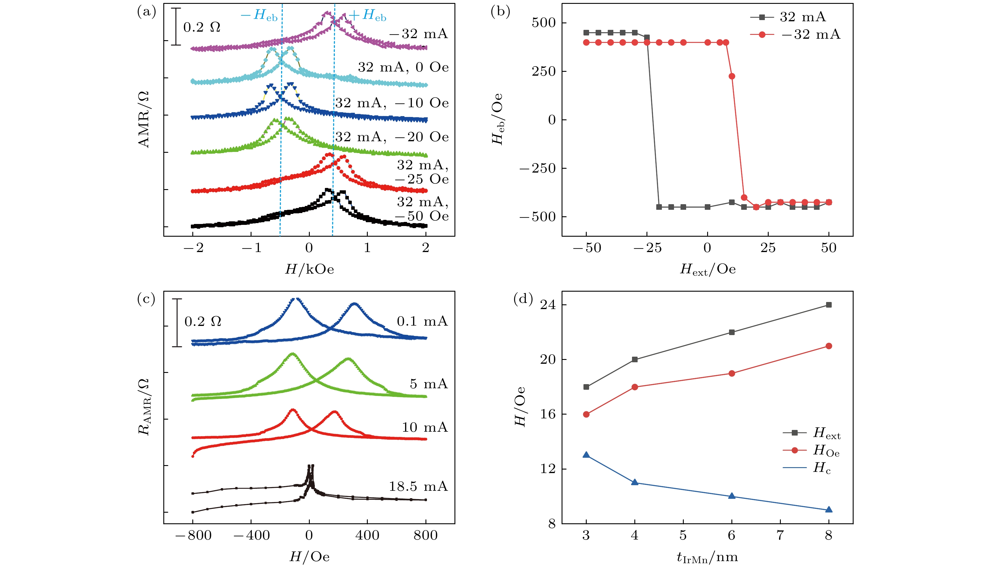
The current-induced switching of in-plane exchange bias field (
H
eb) has many advantages, such as switching without assistance of external magnetic field, excellent immunity to magnetic field, and robust magnetic anisotropy. However, the blocking temperature of the nanoscale antiferromagnet/ferromagnet (AFM/FM) heterostructure is relatively low and susceptible to thermal effects. Therefore, the Joule heating theoretically plays a substantial role in the switching of
H
ebdriven by current, but its underlying mechanism requires further investigation and verification. We prepare a series of Pt/IrMn/Py heterostructures with varying antiferromagnet IrMn thicknesses and systematically investigate the role of thermal effects in current-driven
H
ebswitching. These results demonstrate that under millisecond-level current pulses, Joule heating heats the device above the blocking temperature, leading to the decoupling of exchange coupling at AFM/FM interface. Simultaneously, the Oersted field and spin-orbit torque field generated by the current switch the ferromagnetic moments, and then a new
H
ebwill be induced along the direction of the ferromagnetic moments in the cooling process. Furthermore,in the switching process of
H
eb, the anisotropic magnetoresistance curve of the AFM/FM heterostructure exhibits a temperature-dependent two-step magnetization reversal phenomenon. Theoretical analysis indicates that this phenomenon arises from the competitive relationship between exchange bias coupling at AFM/FM interface and direct exchange coupling between the ferromagnetic moments. The findings of this study elucidate the crucial role of thermal effects in the current-driven switching of
H
eb, thereby contributing to the advancement of spintronic devices based on electrically controlled
H
eb.