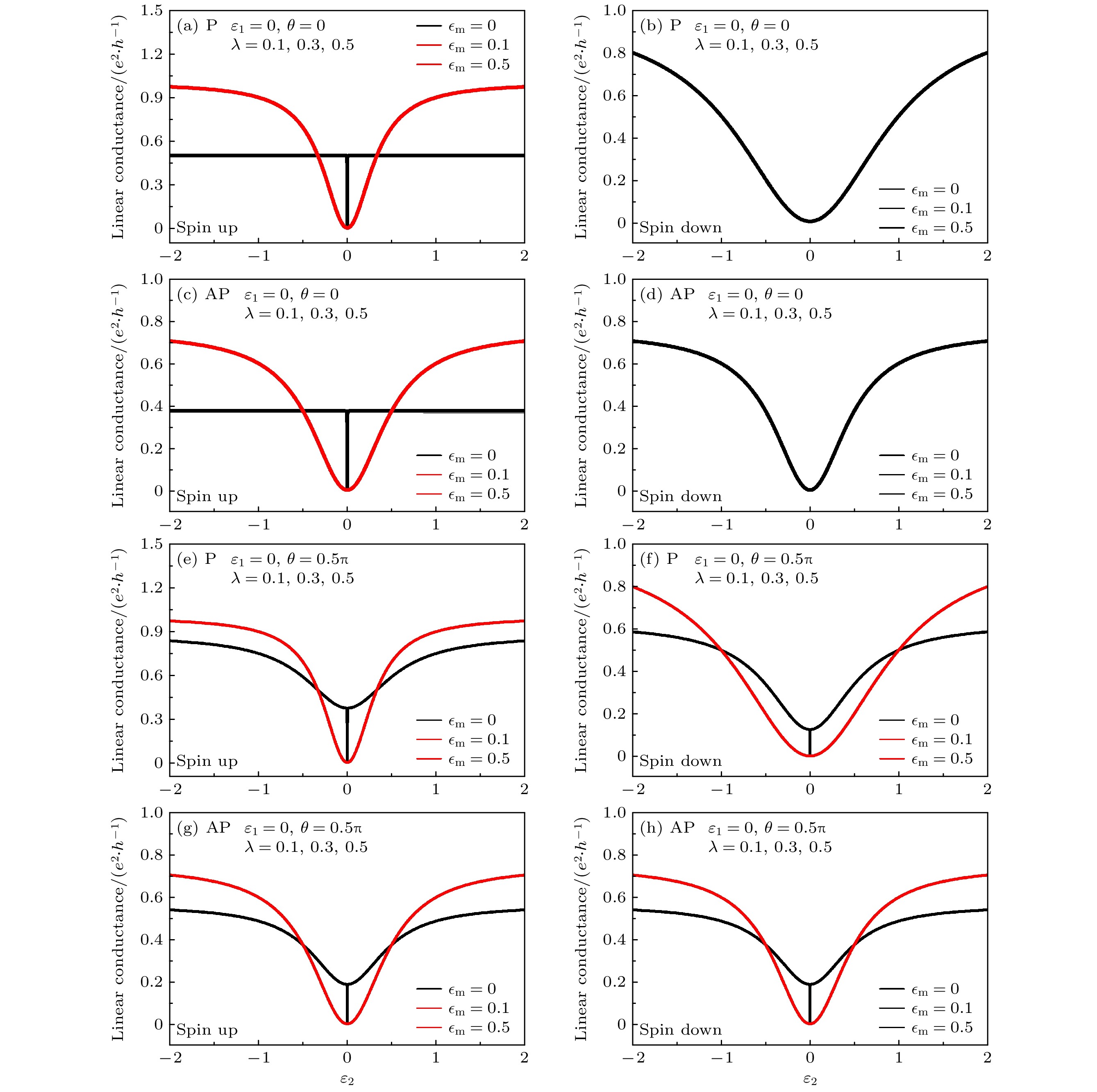
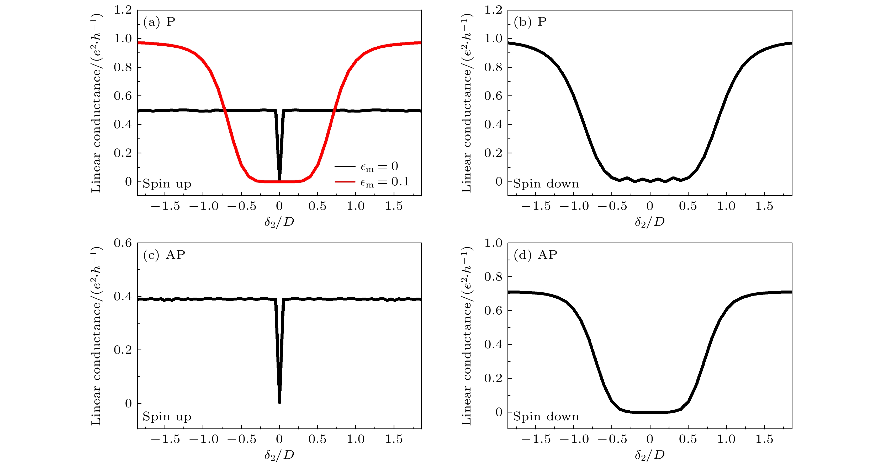
The significant potential applications of Majorana bound state (MBS) in topological quantum computing manifest the importance and necessity of relevant in-depth research. To understand the physical properties of MBS, the most practical approach is to integrate it to a mesoscopic circuit and then investigate its quantum transport behaviors. In this work, we investigate the transport properties in the systems with MBS, and provide theoretical support for its further understanding and detection, by utilizing the nonequilibrium Green’s function method and scattering matrix theory. Specifically, we investigate theoretically the transport properties in a T-shaped double-quantum dot structure, by considering MBS to be coupled to the dot in the main channel, which shows that in the linear transmission region, when the level of side-coupled dot is tuned to the Fermi energy level, the contribution of MBS to the conductance is eliminated under weak and strong Coulomb interaction. The side-coupled dot is far away from the Fermi energy level, leading to different results. When Majorana zero mode is added, the linear conductance is independent of the level of the side-coupled quantum dot, and the conductance plateau appears. However, with coupling between the MBSs, the linear conductance is the same as that without coupling between the MBSs. The decoupling phenomenon of the MBS remains strong. Therefore, the signature of the MBS can be eliminated by adjusting the level of the side-coupled quantum dot or the inter-MBS coupling. When ferromagnetic leads are introduced, the appearance or disappearance of the conductance plateau is clearly dependent on the difference between the magnetic field direction and the lead polarization direction in the system, whereas the decoupling behavior of the MBS is still existent. This work contributes to further explaining the decoupling phenomenon of MBSs in a T-shaped double-quantum-dot system, and presents a theoretical approach to more in-depth understanding and detection of the MBS.