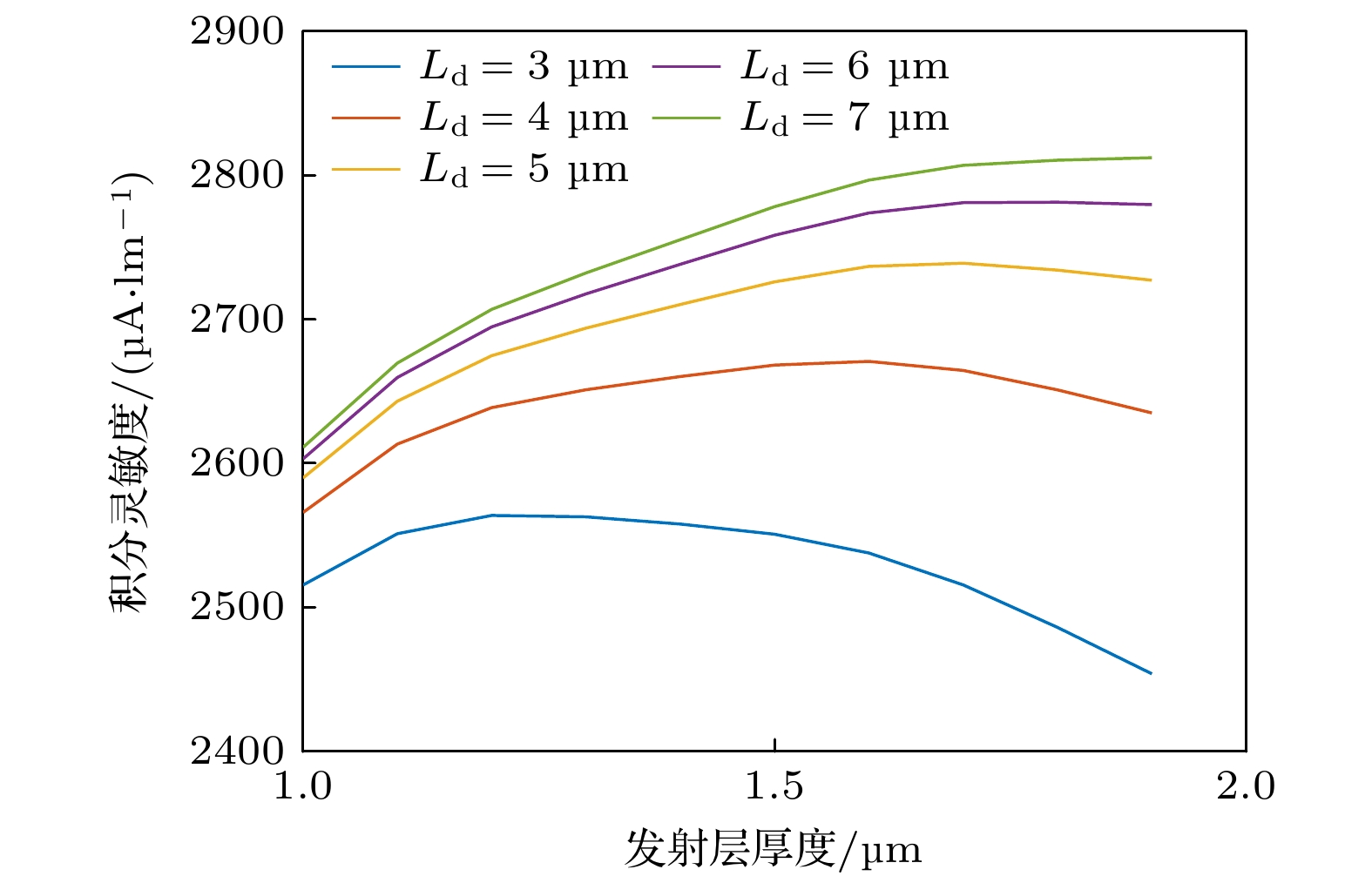
In order to improve the performance of transmitted GaAs photoelectric cathode, the quantum efficiency curve of Chinese transmitted GaAs photoelectric cathode is compared with that of the product of American ITT company, showing that the integration sensitivity of Chinese transmitted photoelectric cathode is 2130 μA/lm, and the American ITT company’s reaches 2330 μA/lm. Through the matrix method to solve the three membranes, the theoretical reflectivity is obtained. Based on the uniform doping transmission GaAs photocathode quantum efficiency formula, by replacing the fixed value
Rwith variable value
$ {R}_{{\mathrm{t}}{\mathrm{h}}{\mathrm{e}}} $
, adding the short wave constraint factor, and modifying the quantum efficiency formula, a modified uniform doping transmission GaAs photocathode quantum efficiency formula is obtained. Using the revised quantum efficiency, optical performance and integral sensitivity theory model, through fitting the quantum efficiency curve of American ITT company product, introducing the ITT cathode component performance parameters, comparing the performance parameters of Chinese product, the results show that the Chinese photocathode in the window layer, the thickness of the emission layer, electron diffusion length and rear interface composite rate has a certain gap with ITT’s. In order to shorten the gap between the two and optimize the cathode structure parameters, the transmission GaAs photocathode optical structure software is designed to further analyze the influence of the electron diffusion length and the emission layer thickness on the quantum efficiency of the photocathode. The results show that with an electron diffusion length of 7 μm and emission layer thickness of 1.5 μm, the transmitted GaAs photocathode sensitivity can be more than 2800 μA/lm. However, the large electron diffusion length has high requirements for cathode materials and preparation level. The reasons responsible for the performance gap between Chinese product and other country’s are that in China the growth process of cathode materials is not jet matureand the cathode preparation equipment is out of date . In this paper, we study the relationship between GaAs photocathode optical performance and photoemission performance, and further optimize the structural design of cathode components, which has certain guiding significance for improving the cathode quantum efficiency and the level of image intensifier.