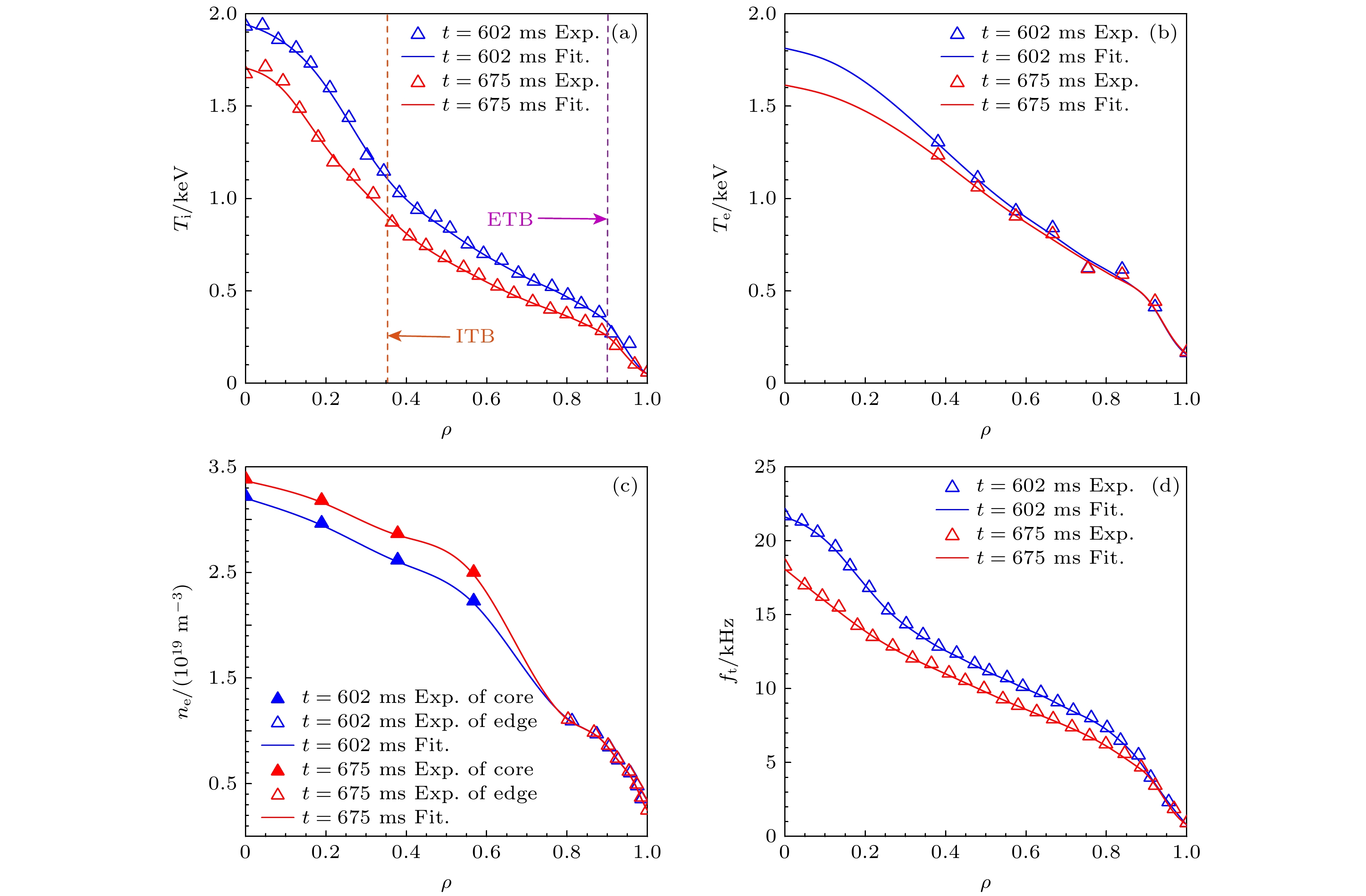
\begin{document}$\beta_{\rm{N}}$\end{document} is an important parameter for tokamak devices: high \begin{document}$\beta_{\rm{N}}$\end{document} benefits not only to plasma fusion but also to the enhancement of fusion reaction efficiency and the facilitation of steady-state operation. The HL-2A tokamak device has achieved stable plasma with \begin{document}$\beta_{\rm{N}}$\end{document} exceeding than 2.5 through neutral beam injection heating, and transiently reached \begin{document}$\beta_{\rm{N}}$\end{document} = 3.05, with a normalized density (\begin{document}$n_{\rm{e,l}}/n_{\rm{e,G}}$\end{document}) of about 0.6, stored energy (\begin{document}$W_{\rm{E}}$\end{document}) of around 46 kJ, and confinement improvement factor (\begin{document}$H_{98}$\end{document}) of about 1.65. In this work, the integrated simulation platform OMFIT is used to analyze the plasma at \begin{document}$\beta_{\rm{N}}$\end{document} = 2.83 and \begin{document}$\beta_{\rm{N}}$\end{document} = 3.05, and the obtained \begin{document}$W_ {\rm{E}}$\end{document}, \begin{document}$n_{\rm{e,l}}/n_{\rm{e,G}}$\end{document}, \begin{document}$H_{98}$\end{document}, \begin{document}$\beta_{\rm{N}}$\end{document}, etc. are consistent with the experimental parameters. The bootstrap current (\begin{document}$f_{\rm{BS}}$\end{document}) can reach to \begin{document}$45{\text{%}}$\end{document} and \begin{document}$46{\text{%}}$\end{document}. At both of the above moments, there are ion temperature double transport barrier (DTB) generated by the coexistence of internal transport barrier (ITB) and edge transport barrier (ETB), while high \begin{document}$\beta_{\rm{N}}$\end{document} is usually related to DTB. In addition, the formation of ion temperature ITB in the HL-2A device is further analyzed, which is attributed to the dominance of turbulent transport in plasma transport, the suppression of turbulent transport in the core by fast ions and \begin{document}${\boldsymbol E}\times{\boldsymbol B}$\end{document} shear, and the resulting improvement in confinement, thereby ultimately leading to the formation of ion temperature ITB. The ITB of ion temperature and the ETB of H-mode synergistically contribute to the creation of high \begin{document}$\beta_{\rm{N}}$\end{document} plasma."> Integrated analysis of high-<i>β</i><sub>N</sub> double transport barriers scenario on HL-2A - 必威体育下载

Search

Article

x

留言板

姓名
邮箱
手机号码
标题
留言内容
验证码

downloadPDF
Citation:

    Li Zheng-Ji, Chen Wei, Sun Ai-Ping, Yu Li-Ming, Wang Zhuo, Chen Jia-Le, Xu Jian-Qiang, Li Ji-Quan, Shi Zhong-Bing, Jiang Min, Li Yong-Gao, He Xiao-Xue, Yang Zeng-Chen, Li Jian
    PDF
    HTML
    Get Citation
    Metrics
    • Abstract views:1217
    • PDF Downloads:38
    • Cited By:0
    Publishing process
    • Received Date:21 September 2023
    • Accepted Date:04 December 2023
    • Available Online:18 January 2024
    • Published Online:20 March 2024

      返回文章
      返回