With the development of radioactive ion beam devices along with associated nuclear experimental detection technologies, the research areas in atomic nuclei have been further expanded, illustrating many new aspects of nuclear excitation as well as the physics of exotic nuclei far from the
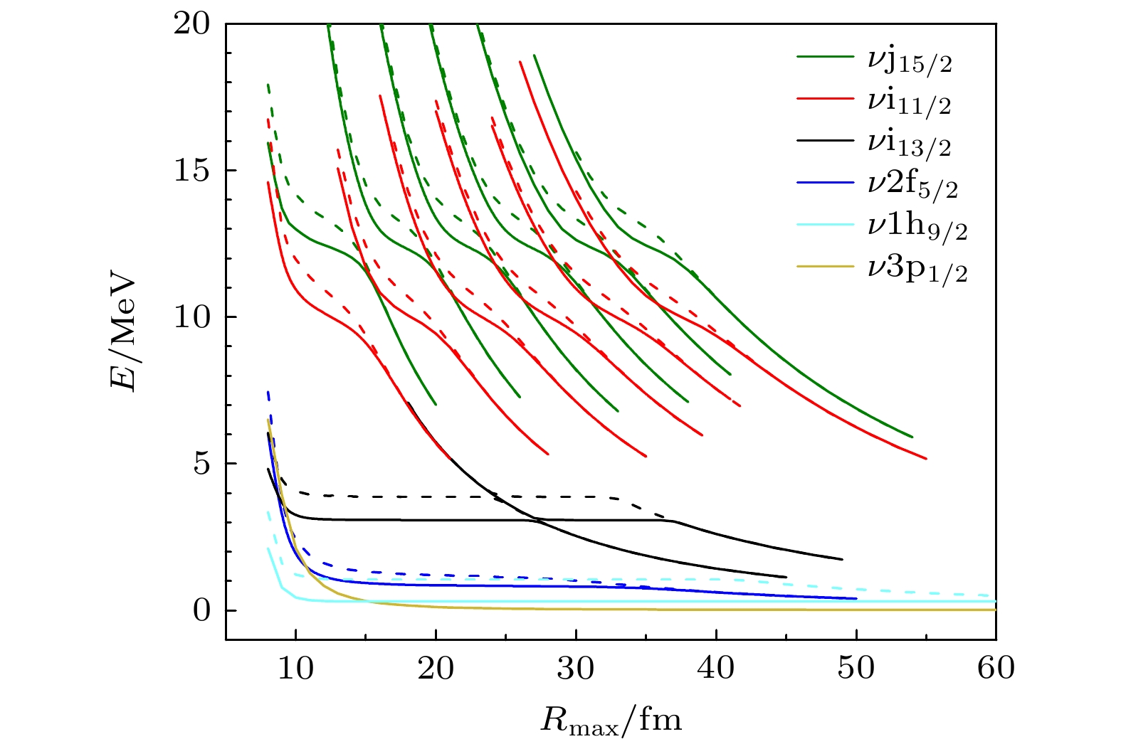
β-stability line. For weakly bound nuclei, the Fermi surface may lie near the continuum, which facilitates the easy scattering of valence nucleons into the continuum to occupy the resonance state. These continuum effects are of crucial importance in explaining the unusual structure of unstable nuclei. In this work, with the real stabilization method in coordinate space, nuclear structure model for single-particle resonances is developed within the framework of the relativistic Hartree-Fock (RHF) theory. In order to extract potential single-particle resonance structures, we study the evolution of single-particle states with box size in the continuum. To avoid the instability of nuclear binding energy, the pairing correlations are not taken into account in the calculation. As an important motivation, the roles of Fock terms in determining the energy, widths and spin-orbit splitting are discussed for low-lying neutron resonance states of
$^{120}$
Sn. By comparing with the relativistic mean field (RMF) model, it is found that the inclusion of exchange terms in the RHF model changes the in-medium balance of nuclear interactions and the equilibrium of nuclear dynamics, which in turn affects the description of the single-particle effective potential. For several neutron resonance states in
$^{120}$
Sn with finite resonant width, RHF model predicts lower resonant energy and smaller widths than RMF. For the single-particle states around the continuum threshold, the featured signals of resonance can depend sensitively on the effective interactions. In addition, for the spin-partner states
$\nu {\mathrm{i}}_{13/2}$
and
$\nu {\mathrm{i}}_{11/2}$
in resonance states, the effect of Fock terms on their spin-orbit splitting is analyzed. In comparison with the bound states, the wave functions of resonant spin-partner states can differ remarkably from each other, changing the effective potential and single-particle energies correspondingly. Thus, additional components in the single-particle effective potential may also contribute to the spin-orbit splitting of resonance states, aside from the spin-orbit interaction. In order to elucidate the mechanism of Fock term in single-particle resonance physics, in the subsequent study more numerical techniques that have been recently developed will be incorporated into the RHF methodology.