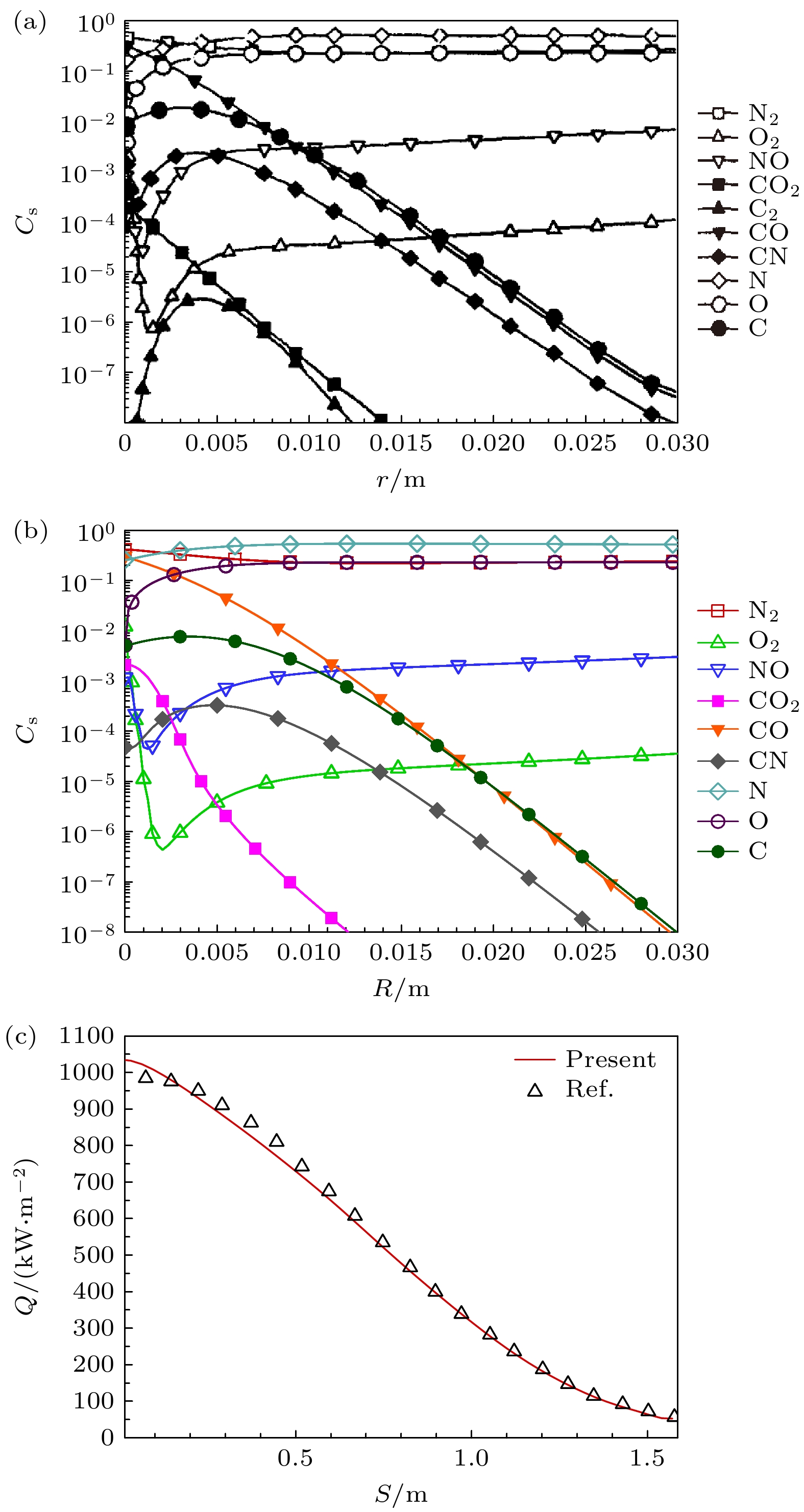
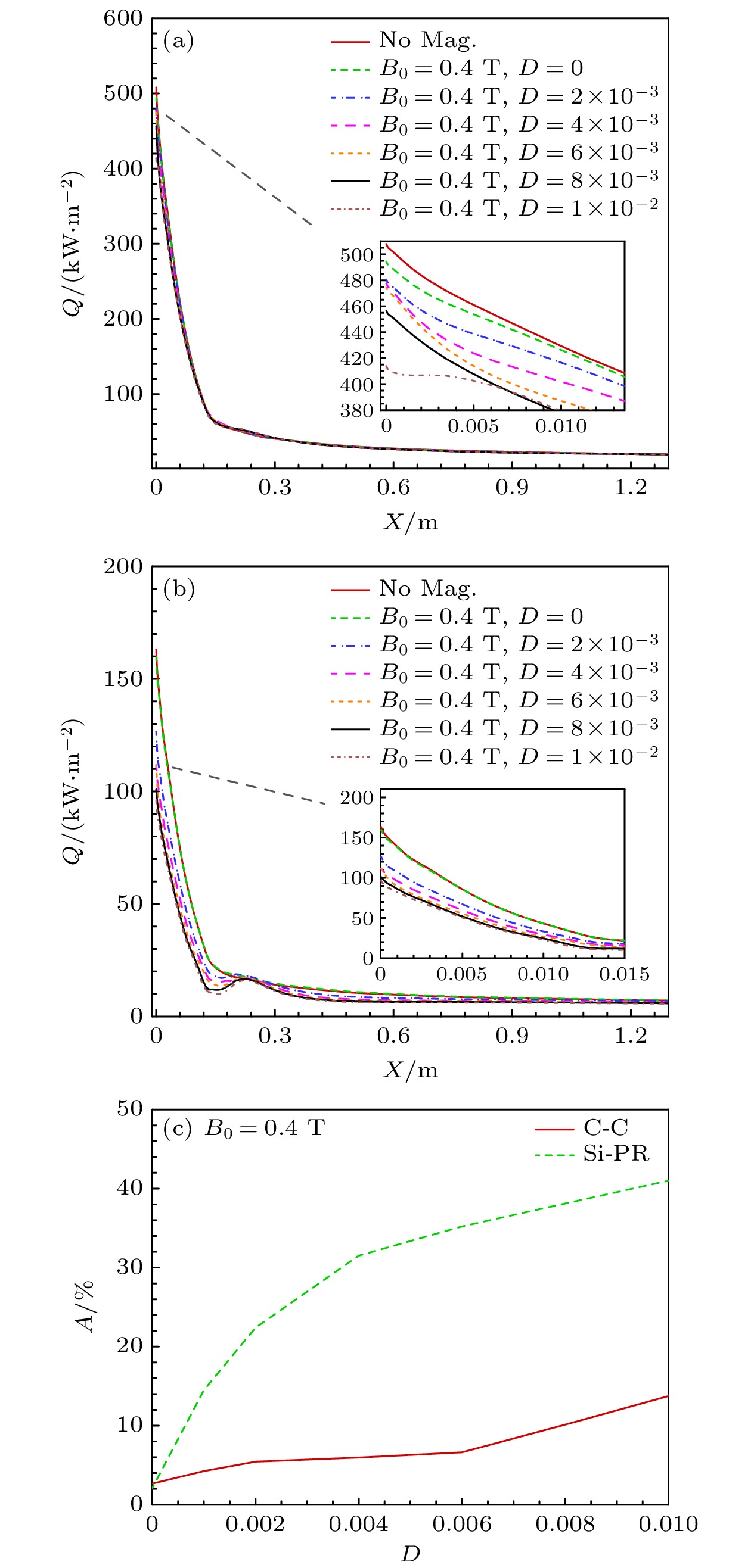
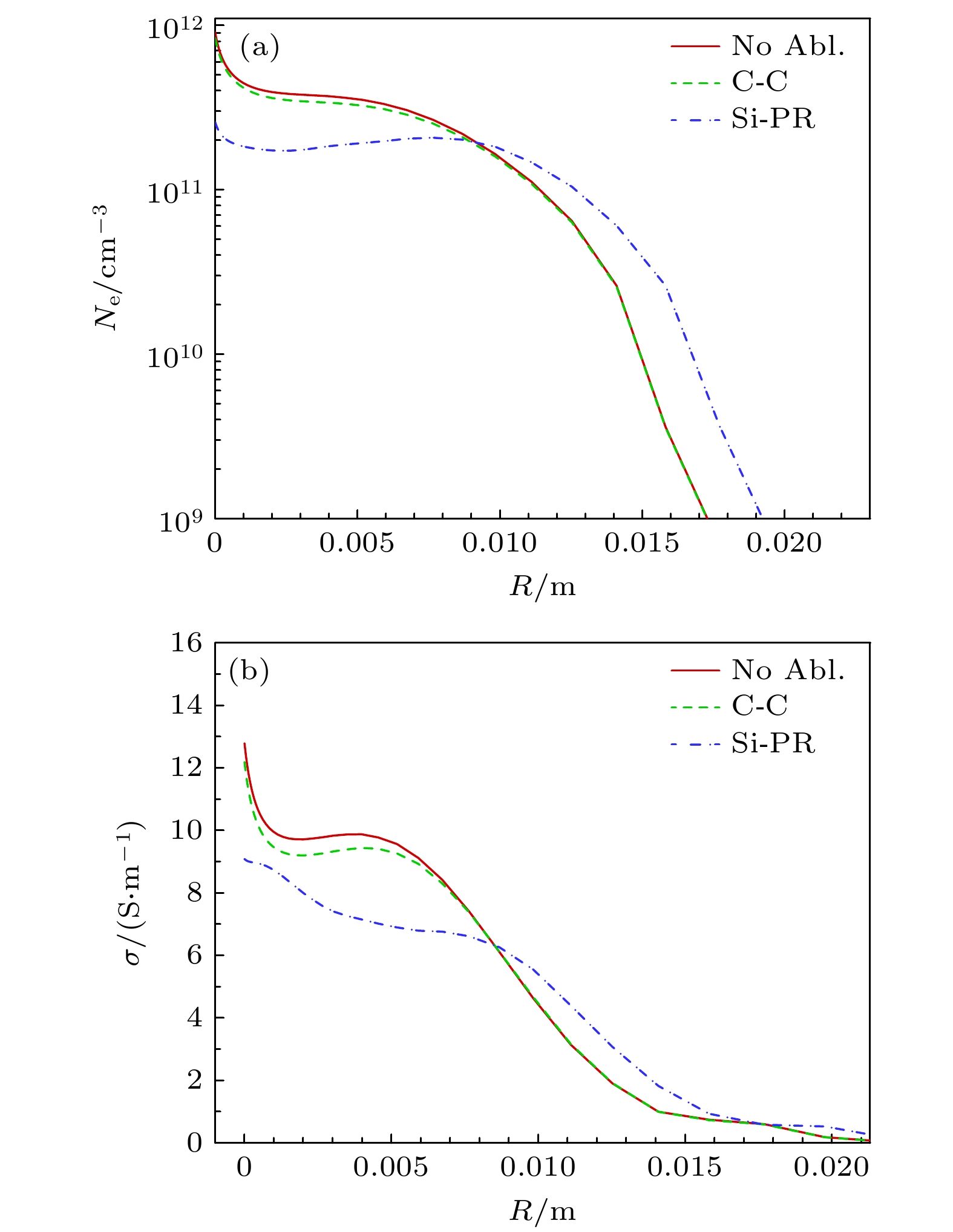
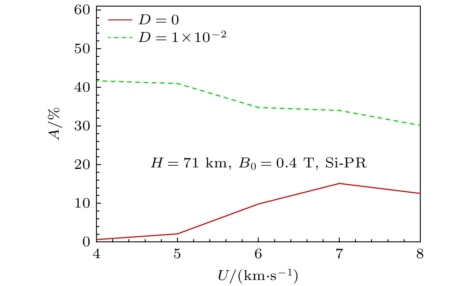
| [1] |
Li Wen-Qiu, Tang Yan-Na, Liu Ya-Lin, Ma Wei-Cong, Wang Gang.Radiation enhancement phenomenon of isotropic plasma layer coated cylinderical metal antenna. Acta Physica Sinica, 2023, 72(13): 135202.doi:10.7498/aps.72.20230101 |
| [2] |
Niu Zhong-Guo, Xu Xiang-Hui, Wang Jian-Feng, Jiang Jia-Li, Liang Hua.Experiment on longitudinal aerodynamic characteristics of flying wing model with plasma flow control. Acta Physica Sinica, 2022, 71(2): 024702.doi:10.7498/aps.71.20211425 |
| [3] |
Niu Hai-Bo, Yi Shi-He, Liu Xiao-Lin, Huo Jun-Jie, Gang Dun-Dian.Experimental study of crossflow instability in a Mach 6 delta wing flow. Acta Physica Sinica, 2021, 70(13): 134701.doi:10.7498/aps.70.20201777 |
| [4] |
.Experimental study on longitudinal aerodynamic characteristics of flying wing model with plasma flow control. Acta Physica Sinica, 2021, (): .doi:10.7498/aps.70.20211425 |
| [5] |
Zhang Shi-Jian, Yu Xiao, Zhong Hao-Wen, Liang Guo-Ying, Xu Mo-Fei, Zhang Nan, Ren Jian-Hui, Kuang Shi-Cheng, Yan Sha, Gennady Efimovich Remnev, Le Xiao-Yun.Influence of ablation on energy deposition in polymer material under irradiation of intense pulsed ion beam. Acta Physica Sinica, 2020, 69(11): 115202.doi:10.7498/aps.69.20200212 |
| [6] |
Cai Song, Chen Gen-Yu, Zhou Cong, Zhou Feng-Lin, Li Guang.Research and application of plasma recoil pressure physical model for pulsed laser ablation material. Acta Physica Sinica, 2017, 66(13): 134205.doi:10.7498/aps.66.134205 |
| [7] |
Yu Jue-Zhi, Hu Yong-Sheng, Li Hong, Huang Xue-Jie, Chen Li-Quan.Radical anion based liquid electrode materials. Acta Physica Sinica, 2017, 66(8): 088201.doi:10.7498/aps.66.088201 |
| [8] |
Zhang Jie, Zhong Hao-Wen, Shen Jie, Liang Guo-Ying, Cui Xiao-Jun, Zhang Xiao-Fu, Zhang Gao-Long, Yan Sha, Yu Xiao, Le Xiao-Yun.Characteristics of metal ablation product by intense pulsed ion beam irradiation. Acta Physica Sinica, 2017, 66(5): 055202.doi:10.7498/aps.66.055202 |
| [9] |
Huang Yan-Ping, Yuan Jian-Mei, Guo Gang, Mao Yu-Liang.First-principles study on saturated adsorption of alkali metal atoms on silicene. Acta Physica Sinica, 2015, 64(1): 013101.doi:10.7498/aps.64.013101 |
| [10] |
Feng Pei-Pei, Wu Han, Zhang Nan.Study of the time-resolved emission spectra of the ejected plume generated by ultrashort laser ablation of graphite. Acta Physica Sinica, 2015, 64(21): 214201.doi:10.7498/aps.64.214201 |
| [11] |
Li Zhi-Hui, Peng Ao-Ping, Fang Fang, Li Si-Xin, Zhang Shun-Yu.Gas-kinetic unified algorithm for hypersonic aerothermodynamics covering various flow regimes solving Boltzmann model equation. Acta Physica Sinica, 2015, 64(22): 224703.doi:10.7498/aps.64.224703 |
| [12] |
Chen Wen-Bo, Gong Xue-Yu, Lu Xing-Qiang, Feng Jun, Liao Xiang-Bai, Huang Guo-Yu, Deng Xian-Jun.Analysis of one-dimensional electromagnetic wave transmission characteristics of plasma based on a kinetic theory model. Acta Physica Sinica, 2014, 63(21): 214101.doi:10.7498/aps.63.214101 |
| [13] |
Wang Wen-Ting, Zhang Nan, Wang Ming-Wei, He Yuan-Hang, Yang Jian-Jun, Zhu Xiao-Nong.Shock temperature of femtosecond laser ablation of solid target. Acta Physica Sinica, 2013, 62(21): 210601.doi:10.7498/aps.62.210601 |
| [14] |
Zheng Ling, Zhao Qing, Luo Xian-Gang, Ma Ping, Liu Shu-Zhang, Huang Cheng, Xing Xiao-Jun, Zhang Chun-Yan, Chen Xu-Lin.Theoretical and experimental studies of electromagnetic wave transmission in plasma. Acta Physica Sinica, 2012, 61(15): 155203.doi:10.7498/aps.61.155203 |
| [15] |
Chen Xiang-Rong, Fu Zhi-Jian, Chen Qi-Feng.Transport properties of titanium and silver plasmas in the region of partial ionization. Acta Physica Sinica, 2011, 60(5): 055202.doi:10.7498/aps.60.055202 |
| [16] |
Gao Xun, Song Xiao-Wei, Guo Kai-Min, Tao Hai-Yan, Lin Jing-Quan.Optical emission spectra of Si plasma induced by femtosecond laser pulse. Acta Physica Sinica, 2011, 60(2): 025203.doi:10.7498/aps.60.025203 |
| [17] |
.Dispersion analysis of a coupled-cavity slow wave structure filled with plasma. Acta Physica Sinica, 2007, 56(12): 7138-7146.doi:10.7498/aps.56.7138 |
| [18] |
Wu Di, Gong Ye, Liu Jin-Yuan, Wang Xiao-Gang, Liu Yue, Ma Teng-Cai.Numerical research on intense pulsed ion beam ablation plasma expansion into ambient gases. Acta Physica Sinica, 2007, 56(1): 333-337.doi:10.7498/aps.56.333 |
| [19] |
Su Wei-Yi, Yang Juan, Wei Kun, Mao Gen-Wang, He Hong-Qing.Calculation and analysis on the wave reflected characteristics of plasma before the conductor plate. Acta Physica Sinica, 2003, 52(12): 3102-3107.doi:10.7498/aps.52.3102 |
| [20] |
Dong Jia-Fu, Tang Nian-Yi, Li Wei, Luo Jun-Lin, Guo Gan-Cheng, Zhong Yun-Ze, Liu Yi, Fu Bing-Zhong, Yao Liang-Ye, Feng Bin-Bin, Qin Yun-Wen.. Acta Physica Sinica, 2002, 51(9): 2074-2079.doi:10.7498/aps.51.2074 |