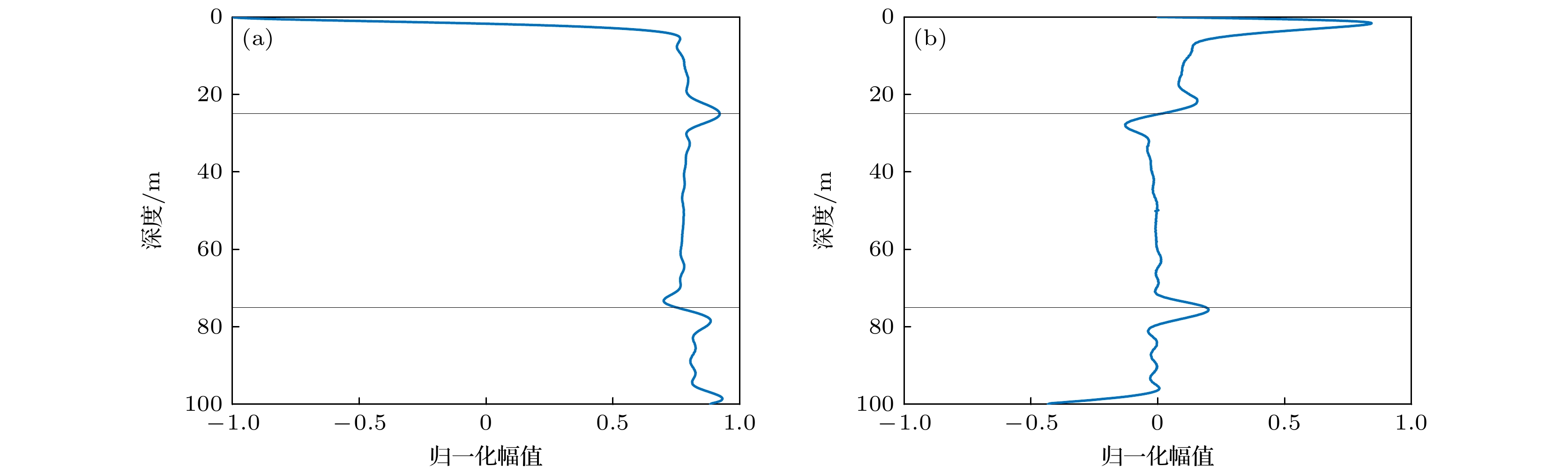
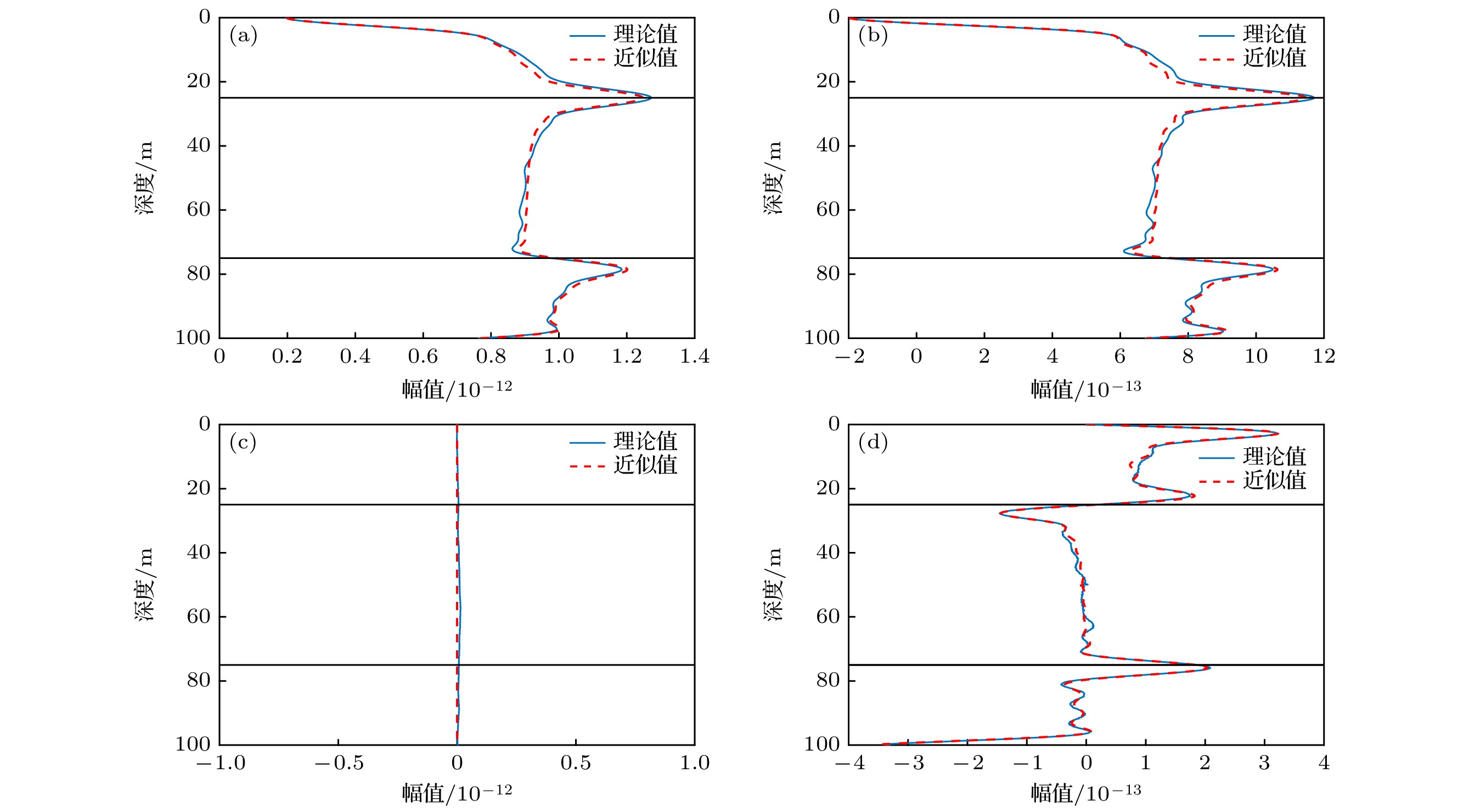
The polarization of the acoustic field in the ocean waveguide environment is a unique property that can be measured by using a particle velocity sensor in the water column. It can provide new ideas for locating and detecting the underwater target, so it is interesting to study the polarization. The polarization of a monochromatic signal has been described by the Stokes parameters, a set of four real-valued quantities in previous work. In this work, the Stokes parameters are extended to the broadband form, and the expression is simplified by using the nonstationary phase approximation, which reduces the complexity of the theoretical derivation and reveals the physical mechanism behind the significant variations in polarization with source depth and symmetrical depth. Theoretical analysis shows that the polarization characteristics in the ideal waveguide vary significantly in the sea surface, the sea bottom, the depth of the sound source and symmetrical depth. In this work the numerical simulation is used to verify the theoretical analysis and study the relationship between range and integral bandwidth when nonstationary phase approximation method is effective. The numerical results demonstrate that the simplified expression using the nonstationary phase approximation is effective and can better characterize the depth distribution characteristics of the polarization. Additionally, by normalizing the broadband Stokes parameters, the effect of range on the depth distribution characteristics of polarization can be removed. It means that the normalized broadband Stokes parameters are in theory free of the range and depend on the environment, the receiver depth and the source depth, which have the potential to be used for source depth estimation. Subsequently, focusing on normalized broadband Stokes parameters, we analyzes the effects of parameters such as source frequency, source depth, sound speed profile and water depth on the depth distribution characteristics of polarization. The analysis results show that environmental factors have great influence on the depth distribution characteristics of polarization. In the end, the validity of the nonstationary phase approximation and the range-independent property of the normalized broadband Stokes parameters are verified by the results of the RHUM-RUM experimental data processing. The findings provide a theoretical basis for passive target depth estimation based on polarization.