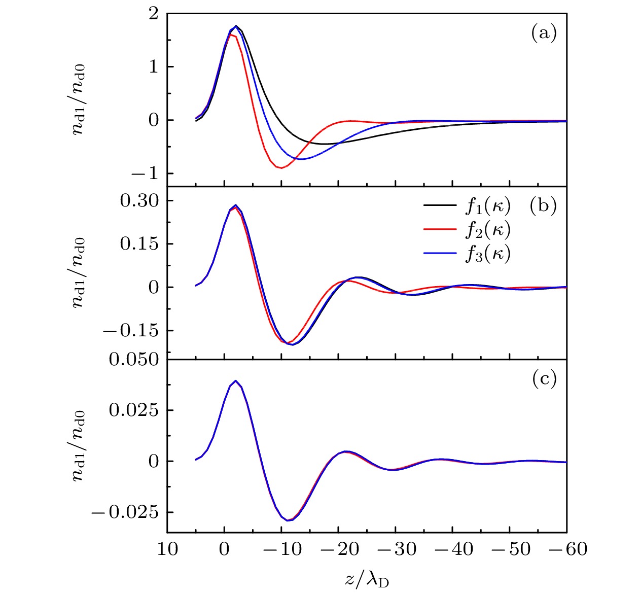
The three-dimensional density distribution of dust particles in complex plasma under microgravity condition has received much attention. Based on the three-dimensional hydrodynamic simulation, the influences of different coupling parameters, shielding parameters, charge of dust particles and plasma density on the Mach cone by laser-induced are studied in complex plasma under microgravity conditions. When the shielding parameters are large, it is found that three different formulas of coupling parameters
$ \varGamma = \dfrac{{Z_{\text{d}}^{2}{e^2}}}{{d \cdot {T_{\text{d}}}}} $
,
$ \varGamma ' = \dfrac{{Z_{\text{d}}^{2}{e^2}}}{{d \cdot {T_{\text{d}}}}}\exp ( - \kappa ) $
and
$ \varGamma ' = \dfrac{{Z_{\text{d}}^{2}{e^2}}}{{d \cdot {T_{\text{d}}}}}(1{+}\kappa {+}\dfrac{{{\kappa ^2}}}{2})\exp ( - \kappa ) $
have a great influence on the disturbance density of dust particles, and the simulation results are in better agreement with the theoretical expectations under the third formulas. In addition, when the laser radiation force is parallel or vertical to the laser movement speed, the Mach cone structure is symmetrical or antisymmetric in the three-dimensional space, which is mainly based on the asymmetry of the laser disturbance mode. Besides, increasing the shielding parameters, or reducing the charge of dust particles, or reducing the plasma density, the shielding interaction between the dust particles is enhanced, making the Mach cone formed by the dust disturbance density more localized around the laser spot, which is characterized by narrowing the disturbance range and increasing density value. It is expected that this work can provide some reference for the theoretical and experimental studies of laser-induced Mach cone in three-dimensional complex plasma under microgravity conditions.