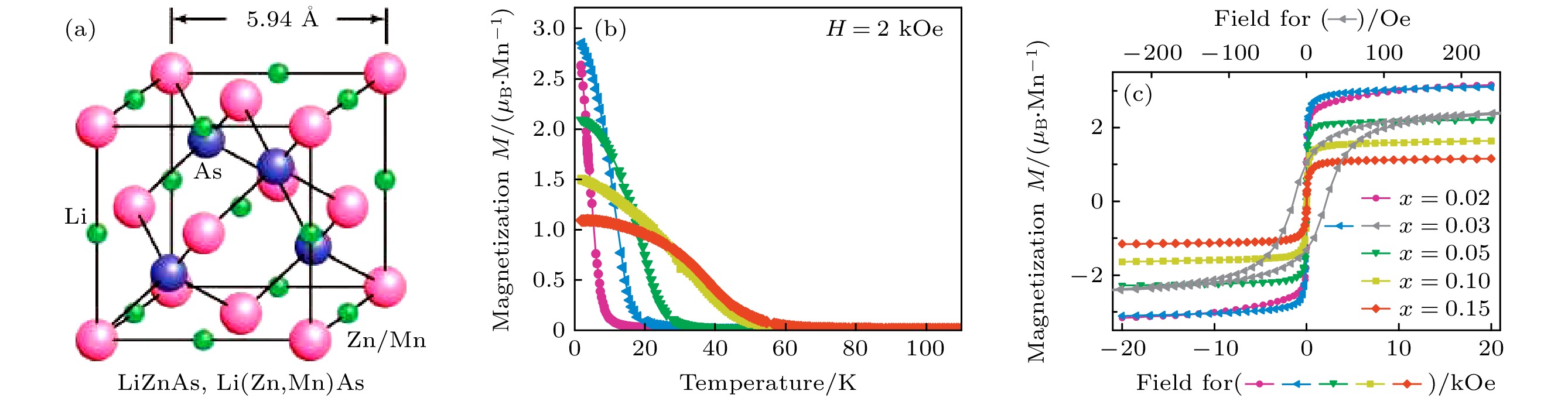
Diluted ferromagnetic semiconductors (DMSs) have attracted widespread attention in last decades, owing to their potential applications in spintronic devices. But classical group-III-IV, and -V elements based DMS materials, such as (Ga,Mn)As which depend on heterovalent (Ga
3+, Mn
2+) doping, cannot separately control carrier and spin doping, and have seriously limited chemical solubilities, which are disadvantages for further improving the Curie temperatures. To overcome these difficulties, a new-generation DMS with independent spin and charge doping have been designed and synthesized. Their representatives are I-II-V based Li(Zn,Mn)As and II-II-V based (Ba,K)(Zn,Mn)
2As
2. In these new materials, doping isovalent Zn
2+and Mn
2+introduces only spins, while doping heterovalent non-magnetic elements introduces only charge. As a result, (Ba,K)(Zn,Mn)
2As
2achieves Curie temperature of 230 K, a new record among DMS where ferromagnetic orderings are mediated by itinerate carriers. Herein, we summarize the recent advances in the new-generation DMS materials. The discovery and synthesis of several typical new-generation DMS materials are introduced. Physical properties are studied by using muon spin relaxation, angle-resolved photoemission spectroscopy and pair distribution function. The physical and chemical pressure effects on the title materials are demonstrated. The Andreev reflection junction based on single crystal and the measurement of spin polarization are exhibited. In the end, we demonstrate the potential multiple-parameter heterojunctions with DMSs superconductors and antiferromagnetic materials.