Magnetic semiconductors (MSs) that can manipulate both spin degree of freedom and charge degree of freedom have become an important research field in semiconductor spintronics. In recent years, a new series of bulk form MSs, which are iso-structure to the iron-based superconductors were reported. In these new materials, spins and carriers are separately introduced, and can be precisely manipulated. Li(Zn, Mn)As with
T
C~50 K is the first bulk MS with spins and charges separated. The Li(Zn, Mn)As has p-type carriers, which is in contradiction with the theoretical calculation results by Mašek et al., who claimed that doping extra Li will induce n-type carriers. So, it is necessary to study the formation reason of hole carriers in Li(Zn, Mn)As and their effect on ferromagnetic ordering. In this work, a series of Li
1.05(Zn
0.925–y, Mn
0.075, In
y)As (
y= 0, 0.05, 0.075, 0.1) new materials are successfully synthesized by introducing n-type carriers into the p-type bulk MS Li
1.05(Zn
0.925, Mn
0.075)As through (Zn
2+, In
3+) substitution. Magnetization measurements reveal that all the samples still maintain a ferromagnetic transition signal similar to MS Li
1.05(Zn
0.925, Mn
0.075)As, and the Curie temperature
T
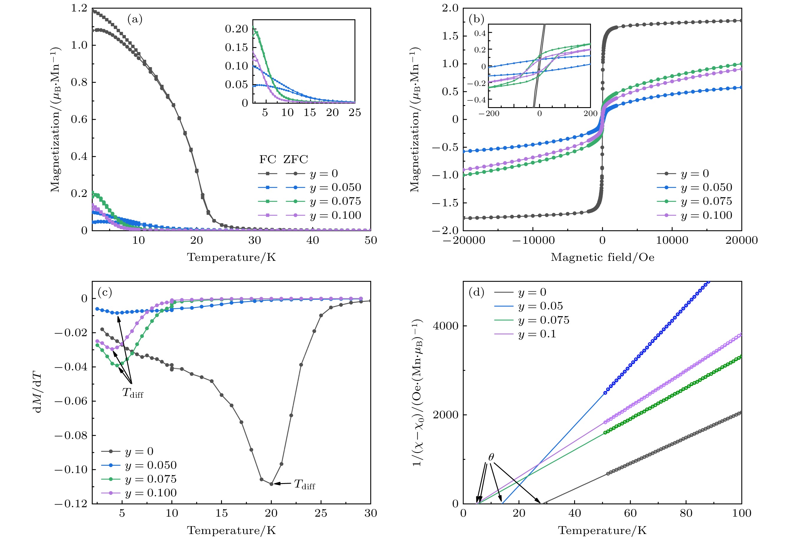
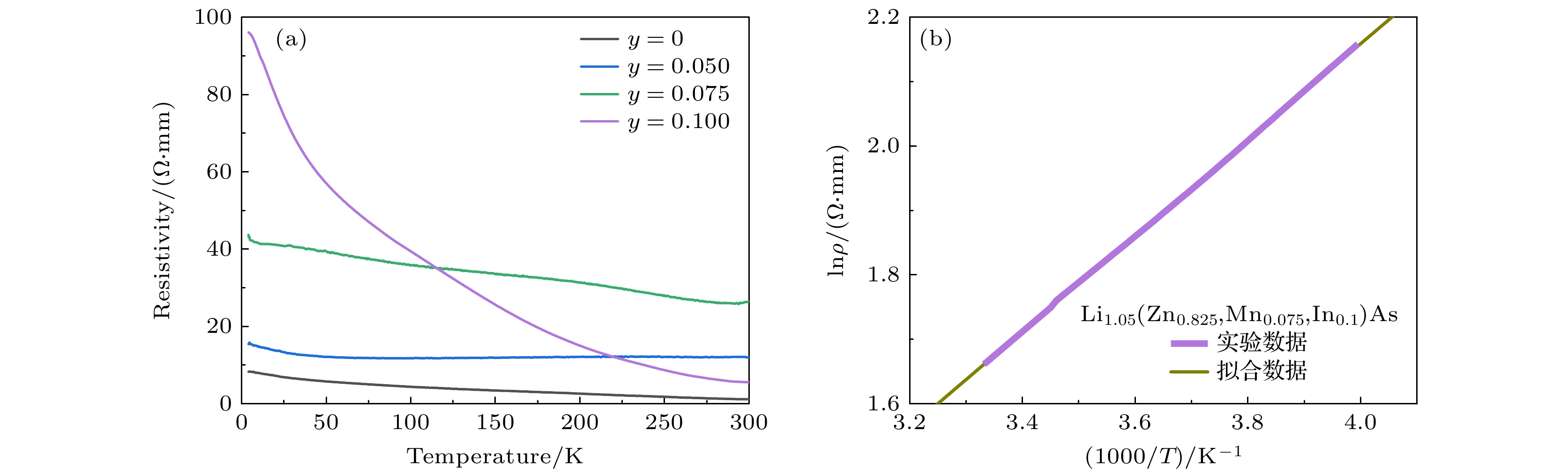
Cis obviously suppressed with the increase of In-doping concentration. Clear hysteresis loops demonstrate the ferromagnetic ordering state. The resistivity increases gradually with the increase of In-doping concentration. Our results show that the (Zn
2+, In
3+) substitution successfully introduces n-type carriers into Li
1.05(Zn
0.925, Mn
0.075)As, and the original p-type carriers in Li
1.05(Zn
0.925, Mn
0.075)As, which are partial neutralized, resulting in the decrease of p-type carrier concentrations, which obviously suppresses the ferromagnetic ordering of Li(Zn, Mn)As. It reflects the important roles played by carriers in forming ferromagnetic ordering in MS materials. The fabrication of Li
1.05(Zn
0.925–y, Mn
0.075, In
y)As material gives us a better understanding of the mechanism of ferromagnetic ordering in Li(Zn, Mn)As, and these results will be helpful in searching for more novel magnetic semiconductor materials.