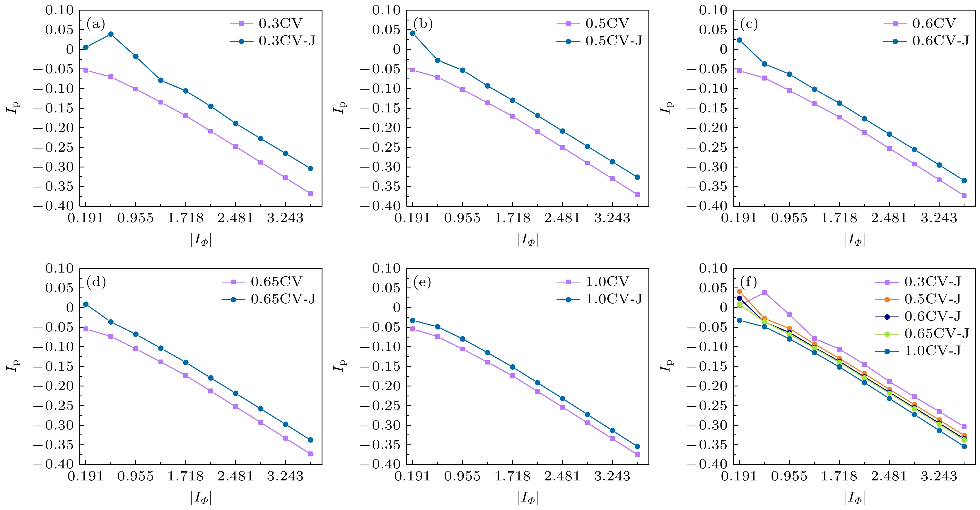
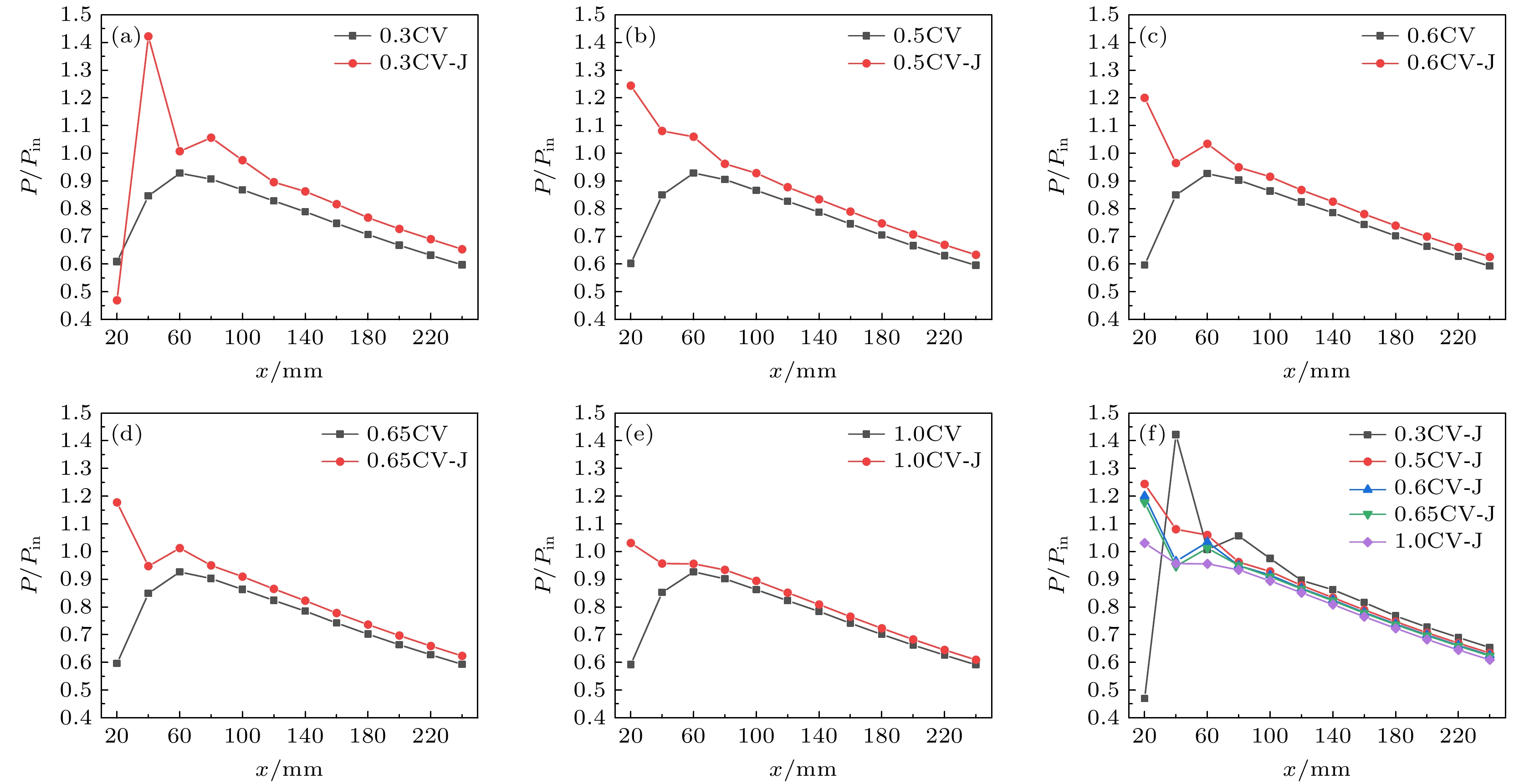
With the continuous upgrading of hypersonic vehicles, a new requirement for designing imaging window i.e. conformal window for improving aerodynamic characteristics, is put forward, in which the supersonic cooling film and optical window are required to maintain the same curvature shape as the aircraft body. In this work, the mixed-layer flow evolution on a convex wall (CV) is investigated. A nanoparticle-based planar laser scattering technique is used to design the flow field structure of the mixed layer in
Ma= 6 hypersonic static wind tunnel, and the location of the mixed-layer instability is studied by combing fractal dimension. The results of pressure, and impulse of compression (
I
p) evolution along the flow direction are obtained by numerical simulation, showing that the total incoming pressure (
P
0) has a significant effect on the flow evolution of the mixed layer: as
P
0increases, the ratio of static pressure (RSP) decreases, that the position of the mixed-layer instability is delayed, and that the flow velocity of the typical vortex structure increases. The favorable gradient existing at the CV wallleads the pressure to drop along the flow direction, and the pressure is enhanced when the supersonic air film along the tangential direction of the wall is under the operating condition. However, as
P
0increases, the RSP decreases, and the lifting effect of the pressure on the CV decreases. The flow field is affected by the expansion effect of the CV, and
I
pdecreases along the flow direction. The supersonic air film can weaken the expansion effect on the CV and thus suppressing the decrease of
I
p. The change rate of
I
p(Δ
I
p) is significantly affected by
P
0, in a range of bending impulse |
I
Φ| = 0.191–3.62, Δ
I
pdecreases from 178.67% to 12.02% when
P
0= 0.5 MPa, and Δ
I
pdecreases from 40.38% to 5.64% when
P
0= 1.0 MPa. Δ
I
pdecreases as |
I
Φ| increases, but the decrease becomes less as
P
0increases. The results reveal the flow evolution law of hypersonic mixed layer under the influence of convex curvature, and provide a certain reference for designing the shape of hypersonic vehicle to achieve aerodynamic drag reduction and thermal protection characteristics.