The wide range, high precision, and dynamic real-time measurement of micro-/nanofiber diameter are crucial for achieving low loss transmission and controlling dispersion in the preparation process of micro-nanofiber. In view of the problems of small diameter regulation range, complex operation and long-time consumption of the existing preparation methods, the automatic detection system of micro-nanofiber is realized based on deep learning neural network algorithm in this work. The image segmentation method in computer vision is used to make high-quality multi-scale micro-/nanofiber datasets, and the improved YOLOv8-FD (You Only Look Once version 8-Fiber Detection) algorithm based on small target detection is used to automatically detect the diameter of micro-nanofiber.
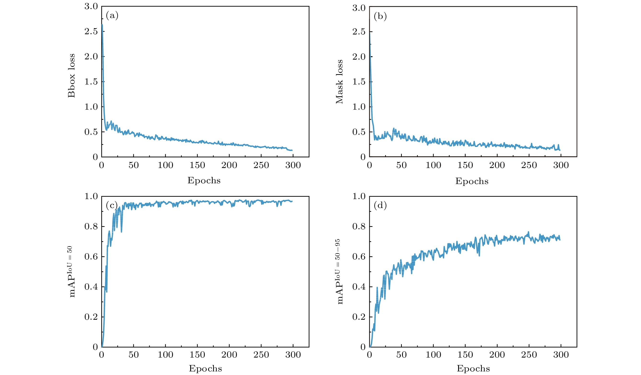
Through image segmentation and identification of the target of single pixel size in the microscopic image, the diameter detection of micro-nanofiber is finally realized. In this process, the real-time diameter of micro-nanofiber is obtained through image information, and then the micro-nanofiber small target is accurately segmented to achieve the precise detection of mAP
IoU
=50= 0.975 and mAP
IoU
=50—95= 0.765 on the micro-nanofiber multi-scale target dataset with extremely high accuracy. The algorithm-based construction of a high-precision micro-nanofiber automatic preparation system enables real-time accurate segmentation of fiber edges, calculation of fiber diameter, and feedback to the control system for achieving automated preparation of fibers with arbitrary diameters. Additionally, it facilitates the detection of micro-nanofiber in a range from 462 nm to 125 μm. The average response time for reasoning is 9.6 ms, and the detection error is kept below 2.95%.
In addition, compared with other micro-/nanofiber diameter detection methods based on optical imaging and mode cutoff, this method shows advantages of high precision, high speed and arbitrary diameter preparation for diameter detection based on deep learning neural networks. The system is very suitable for high-precision real-time measurement and automatic and accurate preparation of micro-/nanofibers, thereby providing a novel method of developing micro-nanofiber devices with low-loss transmission and adjustable dispersion.