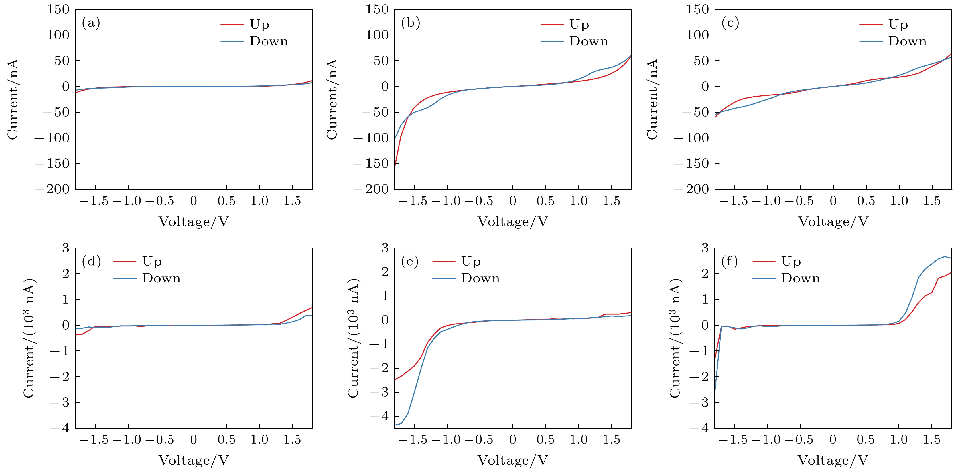
| [1] |
Yan Yan, Sun Feng, Yang Zhi, Kong Cheng-Yu, Ge Yun-Long, Chen Deng-Hui, Qiu Shuai, Li Zong-Liang.Mechanical modulation effects of gold electrodes on geometries and electronic transport properties of azobenzene molecular junctions. Acta Physica Sinica, 2024, 73(8): 088502.doi:10.7498/aps.73.20231999 |
| [2] |
Zhang Ming-Mei, Guo Ya-Tao, Fu Xu-Ri, Li Meng-Lei, Ren Bao-Cang, Zheng Jun, Yuan Rui-Yang.Spin-switching effect and giant magnetoresistance in quantum structure of monolayer MoS2nanoribbons with ferromagnetic electrode. Acta Physica Sinica, 2023, 72(15): 157202.doi:10.7498/aps.72.20230483 |
| [3] |
Qin Zhi-Jie, Zhang Hui-Qing, Zhang Guang-Ping, Ren Jun-Feng, Wang Chuan-Kui, Hu Gui-Chao, Qiu Shuai.Theoretical study of introducing spin into nonmagnetic graphene-based single-molecule junction by edge modifications. Acta Physica Sinica, 2023, 72(13): 138504.doi:10.7498/aps.72.20230267 |
| [4] |
Peng Shu-Ping, Huang Xu-Dong, Liu Qian, Ren Peng, Wu Dan, Fan Zhi-Qiang.First-principles study of single-molecule-structure determination of dithienoborepin isomers. Acta Physica Sinica, 2023, 72(5): 058501.doi:10.7498/aps.72.20221973 |
| [5] |
Li Jia-Jin, Liu Qian, Wu Dan, Deng Xiao-Qing, Zhang Zhen-Hua, Fan Zhi-Qiang.Giant rectification of ferromagnetic zigzag SiC nanoribbons connecting anthradithiophene molecules. Acta Physica Sinica, 2022, 71(7): 078501.doi:10.7498/aps.71.20212193 |
| [6] |
Cui Xing-Qian, Liu Qian, Fan Zhi-Qiang, Zhang Zhen-Hua.Effects of oxygen adsorption on spin transport properties of single anthracene molecular devices. Acta Physica Sinica, 2020, 69(24): 248501.doi:10.7498/aps.69.20201028 |
| [7] |
Yan Rui, Wu Ze-Wen, Xie Wen-Ze, Li Dan, Wang Yin.First-principles study on transport property of molecular} device with non-collinear electrodes. Acta Physica Sinica, 2018, 67(9): 097301.doi:10.7498/aps.67.20172221 |
| [8] |
Zhao Wen-Jing, Wen Ling-Hua.Quantum reflection and interference of spin-dependent Bose-Einstein condensates in semi-infinite potential wells. Acta Physica Sinica, 2017, 66(23): 230301.doi:10.7498/aps.66.230301 |
| [9] |
Chen Wei, Chen Run-Feng, Li Yong-Tao, Yu Zhi-Zhou, Xu Ning, Bian Bao-An, Li Xing-Ao, Wang Lian-Hui.Spin-dependent transport properties of a Co-Salophene molecule between graphene nanoribbon electrodes. Acta Physica Sinica, 2017, 66(19): 198503.doi:10.7498/aps.66.198503 |
| [10] |
Lu Tao, Wang Jin, Fu Xu, Xu Biao, Ye Fei-Hong, Mao Jin-Bin, Lu Yun-Qing, Xu Ji.Theoretical calculation of the birefringence of poly-methyl methacrylate by using the density functional theory and molecular dynamics method. Acta Physica Sinica, 2016, 65(21): 210301.doi:10.7498/aps.65.210301 |
| [11] |
Dai Guang-Zhen, Jiang Xian-Wei, Xu Tai-Long, Liu Qi, Chen Jun-Ning, Dai Yue-Hua.Effect of oxygen vacancy on lattice and electronic properties of HfO2 by means of density function theory study. Acta Physica Sinica, 2015, 64(3): 033101.doi:10.7498/aps.64.033101 |
| [12] |
He Ze-Long, Bai Ji-Yuan, Li Peng, Lü Tian-Quan.Electron transport through T-shaped double quantum dot molecule Aharonov-Bohm interferometer. Acta Physica Sinica, 2014, 63(22): 227304.doi:10.7498/aps.63.227304 |
| [13] |
Bai Ji-Yuan, He Ze-Long, Yang Shou-Bin.Charge and spin transport through parallel-coupled double-quantum-dot molecule A-B interferometer. Acta Physica Sinica, 2014, 63(1): 017303.doi:10.7498/aps.63.017303 |
| [14] |
Dou Jun-Qing, Kang Xue-Ya, Tuerdi Wumair, Hua Ning, Han Ying.The first principles and experimental study on Mn-doped LiFePO4. Acta Physica Sinica, 2012, 61(8): 087101.doi:10.7498/aps.61.087101 |
| [15] |
Zhang Yi-Jun, Yan Jin-Liang, Zhao Gang, Xie Wan-Feng.First-principles calculation and experimental study of Si-doped β-Ga2O3. Acta Physica Sinica, 2011, 60(3): 037103.doi:10.7498/aps.60.037103 |
| [16] |
Ma Guo-Jia, Zhu Jia-Qi, Gong Shui-Li, Gao Wei.First principles studies of nitrogen doped tetrahedral amorphous carbon. Acta Physica Sinica, 2011, 60(2): 027104.doi:10.7498/aps.60.027104 |
| [17] |
Li Qi, Fan Guang-Han, Xiong Wei-Ping, Zhang Yong.First-principles calculations of ZnO polar surfaces and N adsorption mechanism. Acta Physica Sinica, 2010, 59(6): 4170-4177.doi:10.7498/aps.59.4170 |
| [18] |
An Yi-Peng, Yang Chuan-Lu, Wang Mei-Shan, Ma Xiao-Guang, Wang De-Hua.First-principles study of electronic transport properties of C20F20 molecule. Acta Physica Sinica, 2010, 59(3): 2010-2015.doi:10.7498/aps.59.2010 |
| [19] |
Zhou Jing-Jing, Chen Yun-Gui, Wu Chao-Ling, Zheng Xin, Fang Yu-Chao, Gao Tao.First-pricinples design on atomic scale for new lightweight hydrogen storage materials. Acta Physica Sinica, 2009, 58(7): 4853-4861.doi:10.7498/aps.58.4853 |
| [20] |
Zhu Guo-Liang, Shu Da, Dai Yong-Bing, Wang Jun, Sun Bao-De.First principles study on substitution behaviour of Si in TiAl3. Acta Physica Sinica, 2009, 58(13): 210-S215.doi:10.7498/aps.58.210 |