Search

Article

x

留言板

姓名
邮箱
手机号码
标题
留言内容
验证码

downloadPDF
Citation:

    Guan Jian-Fei, Yu Xiao, Ding Guan-Tian, Chen Tao, Lu Yun-Qing
    PDF
    HTML
    Get Citation
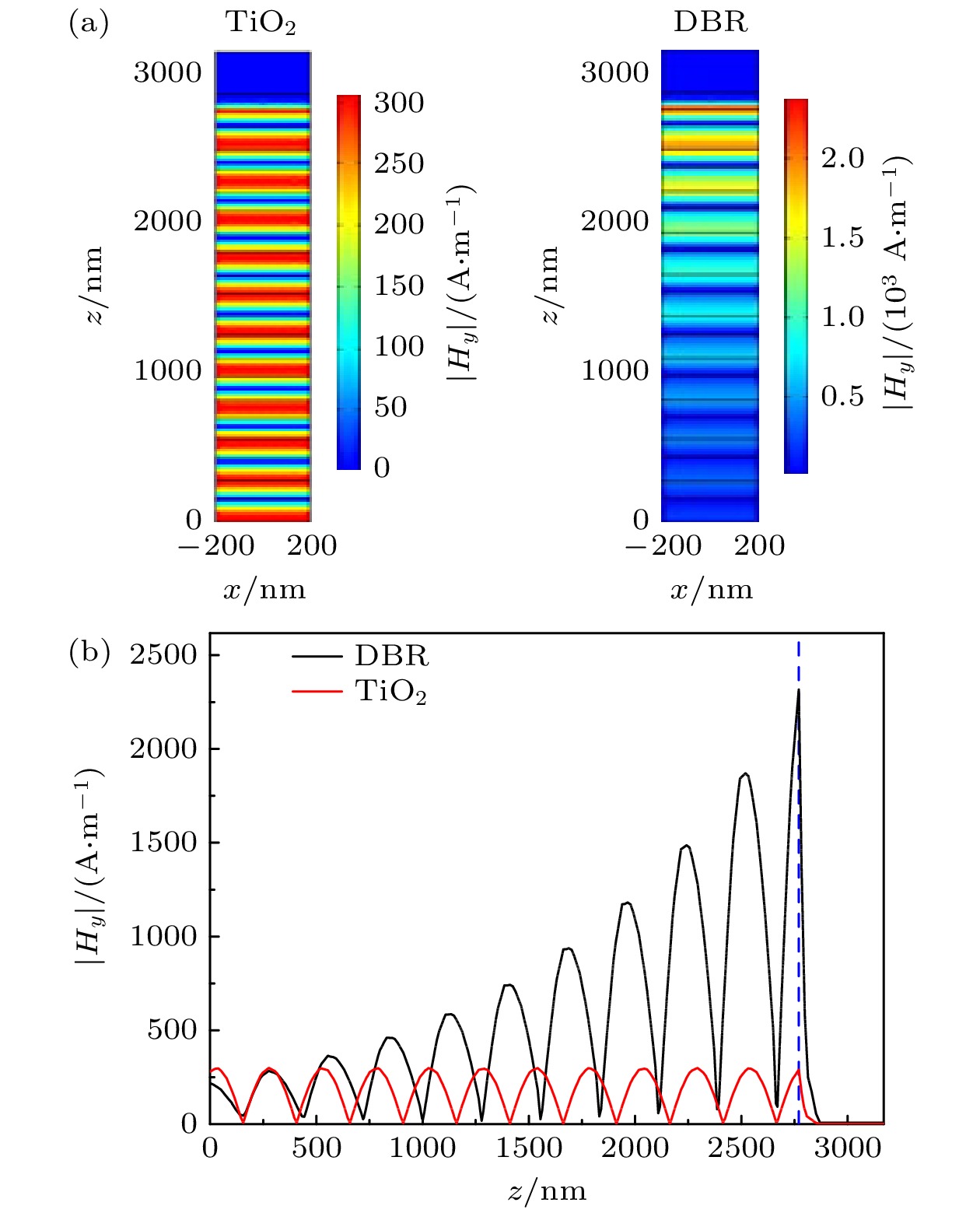
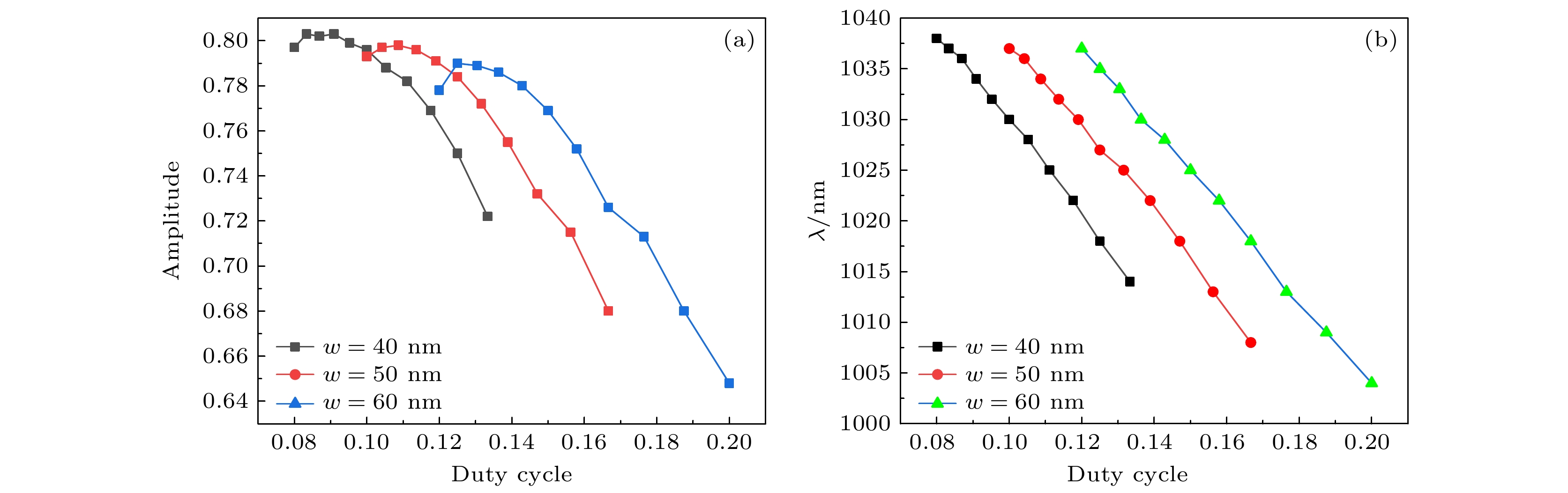
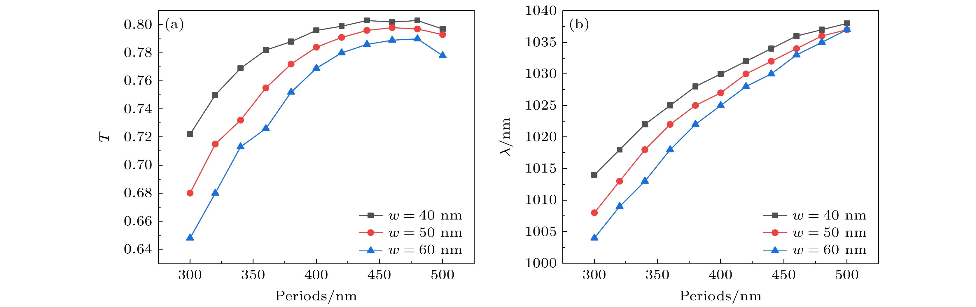
    • In order to observe the extraordinary optical transmission (EOT) through a metal gratings, induced by Tamm plasmon polaritons (TPPs), a layered structure consisting of a distributed Bragg reflector covered with a one-dimensional metal grating is proposed in this work. When an incident light wave passes through DBR regime and impinges on the DBR-metal interface normally, the generation of TPPs and the resulting highly localized energy on the metal-DBR interface are simulated in detail by the finite element method. As a result, the surface plasmon polariton (SPPs) modes accommodated inside the slits of metal gratings can be excited more effectively by the enhanced electromagnetic field associated with TPPs located on the interface. Furthermore, the enhanced transmission of incident light waves in the structure can be achieved when the SPP mode inside the grating slits satisfies the Fabry-Perot (FP)-like resonance condition, which reveals that the EOT in this structure comes from a TPPs-FP hybrid resonance. This inference can be confirmed by the relationships between the central wavelength and the grating height for the two transmission peaks, and the magnetic field modal profiles associated with the two peaks. Quantitative effects of the slit width and duty cycle on the transmission peak of the metal grating are analyzed numerically, and the results demonstrate that when the period is determined, as the slits width increases, the two peak transmittances first increase and then decrease. On the other hand, when the slit widths are chosen to be 40 nm, 50 nm, and 60 nm respectively, the peak transmittance first increases and then decreases with the duty cycle increasing. Meanwhile, it is found that the center wavelengths of the transmission peaks are related to the duty cycle in a nearly linear manner for three slit widths, which can be used to flexibly adjust the center wavelength of extraordinary optical transmission.
          Corresponding author:Guan Jian-Fei,guanjf@njupt.edu.cn
        • Funds:Project supported by the National Natural Science Foundation of China (Grant Nos. 61775102, 61905117) and the Nanjing University of Posts and Telecommunications Foundation, China (Grant Nos. NY220050, NY214058).
        [1]

        [2]

        [3]

        [4]

        [5]

        [6]

        [7]

        [8]

        [9]

        [10]

        [11]

        [12]

        [13]

        [14]

        [15]

        [16]

        [17]

        [18]

        [19]

        [20]

        [21]

      • [1]

        [2]

        [3]

        [4]

        [5]

        [6]

        [7]

        [8]

        [9]

        [10]

        [11]

        [12]

        [13]

        [14]

        [15]

        [16]

        [17]

        [18]

        [19]

        [20]

        [21]

      Metrics
      • Abstract views:1045
      • PDF Downloads:38
      • Cited By:0
      Publishing process
      • Received Date:14 March 2024
      • Accepted Date:06 April 2024
      • Available Online:11 April 2024
      • Published Online:05 June 2024

        返回文章
        返回