Hydrazone molecular switches have significant application value in supramolecular chemistry. A new type of hydrazone molecular switch, named isatin N
2-diphenylhydrazone, has been synthesized. Owing to its cis-trans isomerization characteristics under visible light excitation, ease of synthesizing of derivatives, and sensitivity to external stimuli, it has important application value in the field of biochemistry. Because of its forward and backward visible light excitation characteristics, it is considered a class of compound that is very suitable for molecular switches, and it has a wide application value in fields such as biotechnology. In addition, the derivatives compound exhibits strong interactions with negative ions, which enhances its function as a molecular switch, making it a four-state molecular switch that can be achieved by a single molecule. However, the photo-induced isomerization mechanism of these new molecular switches is not yet clear, and whether there are novel phenomena in the isomerization process is also unknown. In this work, a semi empirical OM2/MRCI based trajectory surface hopping dynamics method is adopted to systematically study a photo induced isomerization mechanism based on the E-Z isomerization process of the isatin N
2-diphenylhydrazones molecular switch. Optimization configuration and the average lifetime of the first excited S
1state are obtained by using the semi-empirical OM2/MRCI method of molecular switch. It is found that the average lifetime of the S
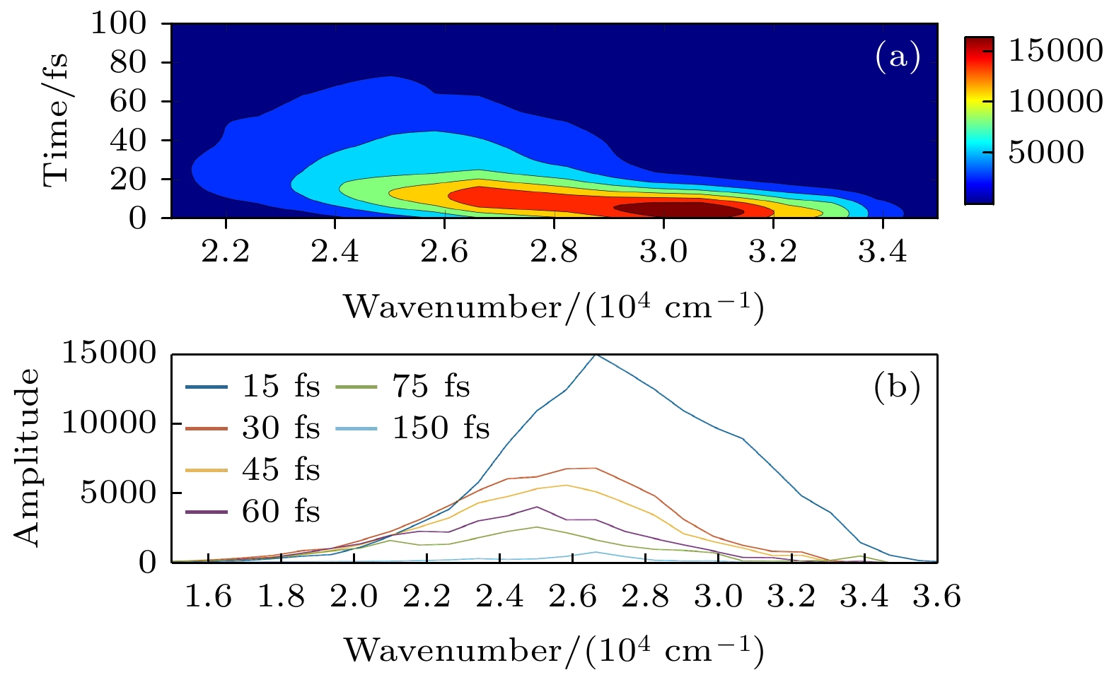
1excited state of the E-configuration molecular switch is about 107 fs, and the quantum yield of E-Z isomerization of the molecular switch is 16.01%. By calculating the photo induced isomerization process of the molecular switch, two different isomerization mechanisms of the molecular switch are identified. In addition to the traditional molecular switch isomerization mechanism revolving around the C=N bond, a new isomerization mechanism, i.e. the face-to-face twisting of the molecular switch rotor part is elucidated. By calculating the time-resolved fluorescence radiation spectrum, it is predicted that there may be a very fast fluorescence quenching phenomenon occurring in about 75 fs in the isomerization process, slightly faster than the S
1average decay events (107 fs). The information about wavelength-resolved attenuation at different times is also calculated, which reflects the ultrafast fluorescence quenching process accompanied by fluorescence red shift, ranging from 2.1 × 10
4cm
–1to 3.4 × 10
4cm
–1. By comparing the calculated fluorescence spectra with the average lifetime of excited states, the existence of “dark states” is proposed, and possible explanations for the existence of “dark states” are provided, and those “dark states” may be related to lower quantum yields. The research results can provide theoretical guidance for the design and application of new molecular switches. The ease of synthesis and sensitivity to external stimuli of its derivatives make those compounds extremely valuable in molecular switching and light measurement applications.