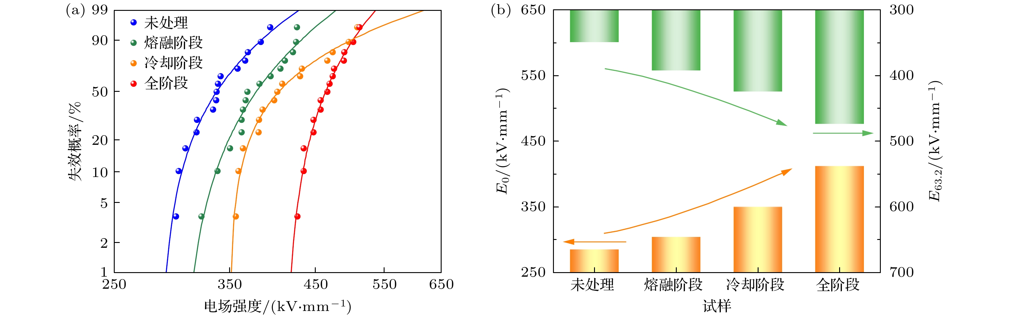
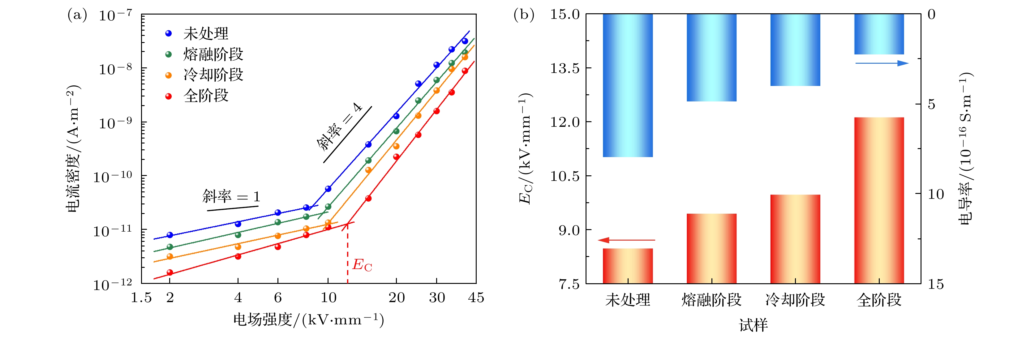
| [1] |
Zhang Na, Liu Bo, Lin Li-Wei.Effect of He ion irradiation on microstructure and electrical properties of graphene. Acta Physica Sinica, 2020, 69(1): 016101.doi:10.7498/aps.69.20191344 |
| [2] |
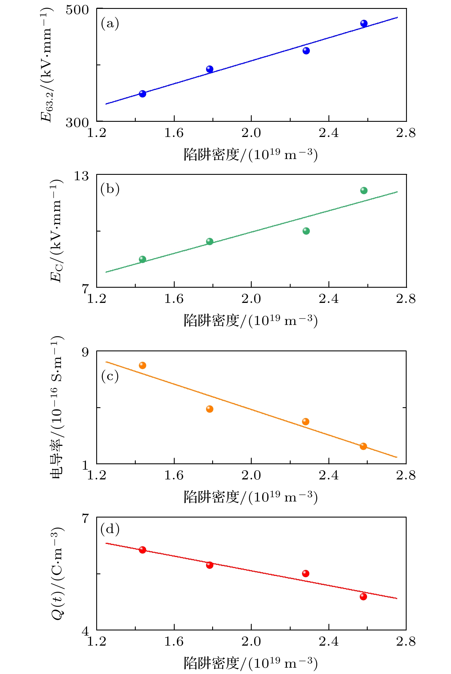
Nie Yong-Jie, Zhao Xian-Ping, Li Sheng-Tao.Influence of trap characteristics on DC surface flashover performance of low density polyethylene in vacuum. Acta Physica Sinica, 2019, 68(22): 227201.doi:10.7498/aps.68.20190741 |
| [3] |
Li Li-Li, Zhang Xiao-Hong, Wang Yu-Long, Guo Jia-Hui.Simulations of the effects of electric field and temperature on space charge traps in polymer. Acta Physica Sinica, 2017, 66(8): 087201.doi:10.7498/aps.66.087201 |
| [4] |
Li Li-Li, Zhang Xiao-Hong, Wang Yu-Long, Guo Jia-Hui, Zhang Shuang.Simulation of mechanical properties based on microstructure in polyethylene/montmorillonite nanocomposites. Acta Physica Sinica, 2016, 65(19): 196202.doi:10.7498/aps.65.196202 |
| [5] |
Cao Yong-Ze, Li Guo-Jian, Wang Qiang, Ma Yong-Hui, Wang Hui-Min, He Ji-Cheng.Effects of high magnetic field on the microstructure and magnetic properties of Fe80Ni20 thin films with different thickness values. Acta Physica Sinica, 2013, 62(22): 227501.doi:10.7498/aps.62.227501 |
| [6] |
Wang Yong-Jun, Li Hong-Xuan, Ji Li, Liu Xiao-Hong, Wu Yan-Xia, Zhou Hui-Di, Chen Jian-Min.Preparation and properties of graphite-like carbon films fabricated by unbalanced magnetron sputtering. Acta Physica Sinica, 2012, 61(5): 056103.doi:10.7498/aps.61.056103 |
| [7] |
Tang Jie, Yang Li-Rong, Wang Xiao-Jun, Zhang Lin, Wei Cheng-Fu, Chen Bo-Wei, Mei Yang.Effects of high pressure on microstructure and properties of bulk (PrNd)xAl0.6Nb0.5Cu0.15B1.05Fe97.7-x alloys. Acta Physica Sinica, 2012, 61(24): 240701.doi:10.7498/aps.61.240701 |
| [8] |
Zhang Qiang, Zhu Xiao-Hong, Xu Yun-Hui, Xiao Yun-Jun, Gao Hao-Bin, Liang Da-Yun, Zhu Ji-Liang, Zhu Jian-Guo, Xiao Ding-Quan.Effect of Mn4+ doping on the microstructure and electrical property of BiFeO3 ceramic. Acta Physica Sinica, 2012, 61(14): 142301.doi:10.7498/aps.61.142301 |
| [9] |
Zhu Zhi-En, Zhang Ye-Wen, An Zhen-Lian, Zheng Fei-Hu.Trap levels in low density polyethylene doped with nanoparticles by photo-stimulated discharge. Acta Physica Sinica, 2012, 61(6): 067701.doi:10.7498/aps.61.067701 |
| [10] |
Luo Qing-Hong, Lu Yong-Hao, Lou Yan-Zhi.Microstructure and mechanical properties of Ti-B-C-N nanocomposite coatings. Acta Physica Sinica, 2011, 60(8): 086802.doi:10.7498/aps.60.086802 |
| [11] |
Luo Qing-Hong, Lou Yan-Zhi, Zhao Zhen-Ye, Yang Hui-Sheng.Effect of annealing on microstructure and mechanical propertiesof AlTiN multilayer coatings. Acta Physica Sinica, 2011, 60(6): 066201.doi:10.7498/aps.60.066201 |
| [12] |
Ding Wan-Yu, Wang Hua-Lin, Miao Zhuang, Zhang Jun-Ji, Chai Wei-Ping.Influence of deposition parameter on chemical structure and moisture resistant properties for SiNx films deposited by DC pulse magnetron sputtering. Acta Physica Sinica, 2009, 58(1): 432-437.doi:10.7498/aps.58.432 |
| [13] |
Yang Yan, Li Sheng-Tao.Microstructure and DC conduction properties of CaCu3Ti4O12. Acta Physica Sinica, 2009, 58(9): 6376-6380.doi:10.7498/aps.58.6376 |
| [14] |
Ding Wan-Yu, Xu Jun, Lu Wen-Qi, Deng Xin-Lu, Dong Chuang.Influences of substrate temperature on crystalline characteristics and mechanical properties of SiNx films deposited by microwave electron cyclotron resonance magnetron sputtering. Acta Physica Sinica, 2008, 57(8): 5170-5175.doi:10.7498/aps.57.5170 |
| [15] |
Li Xiu-Mei, Liu Tao, Guo Zhao-Hui, Zhu Ming-Gang, Li Wei.Effects of rare earth content on microstructure and magnetic properties of (Nd,Dy)-(Fe,Al)-B alloys. Acta Physica Sinica, 2008, 57(6): 3823-3827.doi:10.7498/aps.57.3823 |
| [16] |
Sun Cheng-Wei, Liu Zhi-Wen, Qin Fu-Wen, Zhang Qing-Yu, Liu Kun, Wu Shi-Fa.Influences of growth temperature on the crystalline characteristics and optical properties for ZnO films deposited by reactive magnetron sputtering. Acta Physica Sinica, 2006, 55(3): 1390-1397.doi:10.7498/aps.55.1390 |
| [17] |
Shao Shou-Fu, Zheng Peng, Zhang Jia-Liang, Niu Xiao-Kun, Wang Chun-Lei, Zhong Wei-Lie.Microstructures and electrical properties of CaCu3Ti4O12 ceramics. Acta Physica Sinica, 2006, 55(12): 6661-6666.doi:10.7498/aps.55.6661 |
| [18] |
Guan Qing-Feng, An Chun-Xiang, Qin Ying, Zou Jian-Xin, Hao Sheng-Zhi, Zhang Qing-Yu, Dong Chuang, Zou Guang-Tian.Microstructure induced by stress generated by high-current pulsed electron beam. Acta Physica Sinica, 2005, 54(8): 3927-3934.doi:10.7498/aps.54.3927 |
| [19] |
Pan Meng-Xiao, Cao Xing-Zhong, Li Yang-Xian, Wang Bao-Yi, Xue De-Sheng, Ma Chuang-Xin, Zhou Chun-Lan, Wei Long.Microstructural features of DC sputtered vanadium oxide thin films. Acta Physica Sinica, 2004, 53(6): 1956-1960.doi:10.7498/aps.53.1956 |
| [20] |
CHENG WEN-HAO, LI WEI, LI CHUAN-JIAN, PAN WEI.INVESTIGATION OF THE RELATIONSHIP BETWEEN THE CONSISTENCE AND MICROSTRUCTURE OF SINTERED Nd-Fe-B MAGNETS. Acta Physica Sinica, 2001, 50(11): 2226-2229.doi:10.7498/aps.50.2226 |