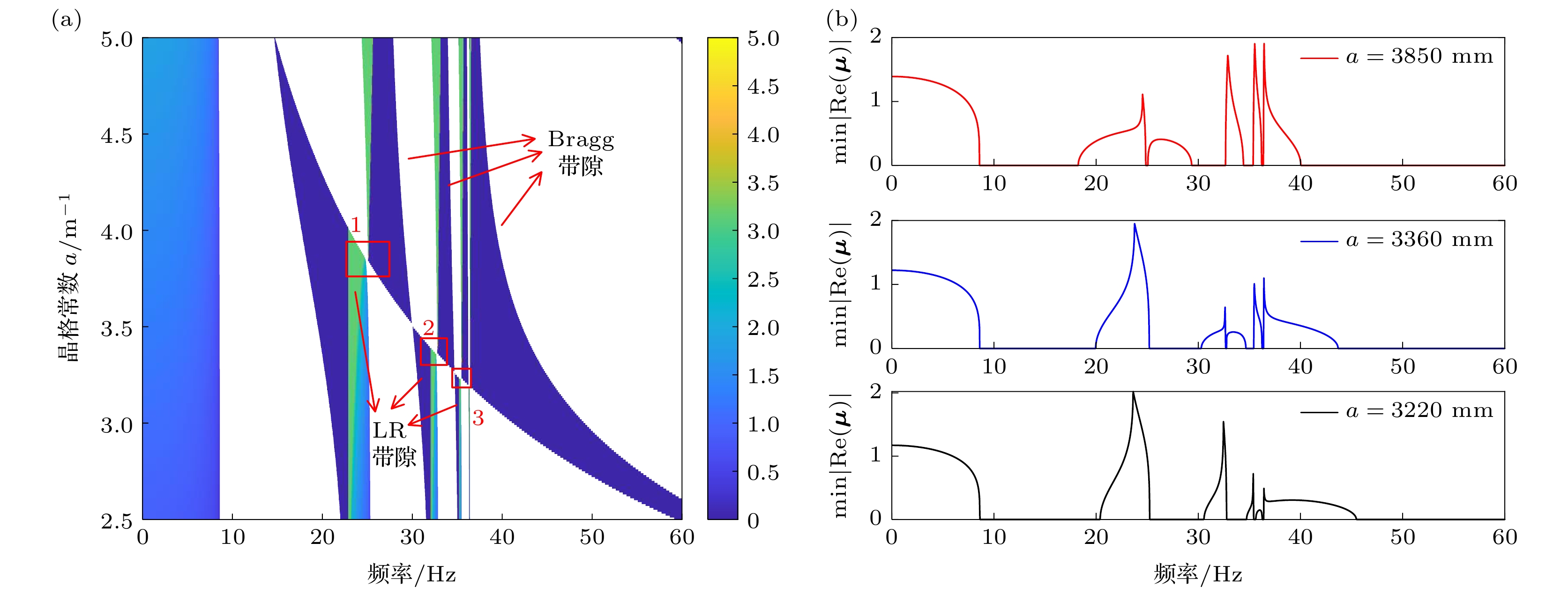
Advanced vibration control technology is widely needed in the fields of aerospace and shipbuilding. Currently, separate vibration absorption and isolation design of most systems are separated, and existing isolation designs cannot effectively enhance the isolation of low-frequency line spectra. There is an urgent need to develop integrated vibration absorption and isolation designs and strengthen low-frequency line spectrum control. In response to this need, this paper focuses on a typical Euler beam and the investigation of the propagation characteristics of vibrations in transverse direction and longitudinal direction, the principles of integrated vibration absorption and isolation design, and the synergistic regulation of bandgaps, based on acoustic metamaterial bandgap wave-insulating vibration control configurations and analytical methods. Ultimately, without adding additional structures, the wave-insulating vibration control device is used to generate multiple modes of vibration absorption and isolation simultaneously, achieving an integrated low-frequency, broadband, and high-efficiency vibration absorption and isolation design. This method achieves broadband vibration isolation in the transverse vibration isolation path while also introducing local resonance bandgaps that significantly improve low-frequency vibration isolation. In the longitudinal (forward propagation) path, in addition to near-zero and Bragg bandgaps, multilayer isolators generate multimodal local resonant bandgaps, achieving low-frequency broadband vibration absorption and effective control in the entire frequency range. This paper elucidates the synergistic modulation of longitudinal and transverse bandgaps, showing that by superimposing these bandgaps, an impressive bandgap ratio of 87.3% below 100 Hz across the entire frequency range can be achieved. Furthermore, an entity structure is designed, and the accuracy of the analytical results is verified by using the finite element method. The findings provide feasible design ideas for realizing the integrated vibration absorption and isolation of complex structures such as beams, plates, pipelines, and frames.