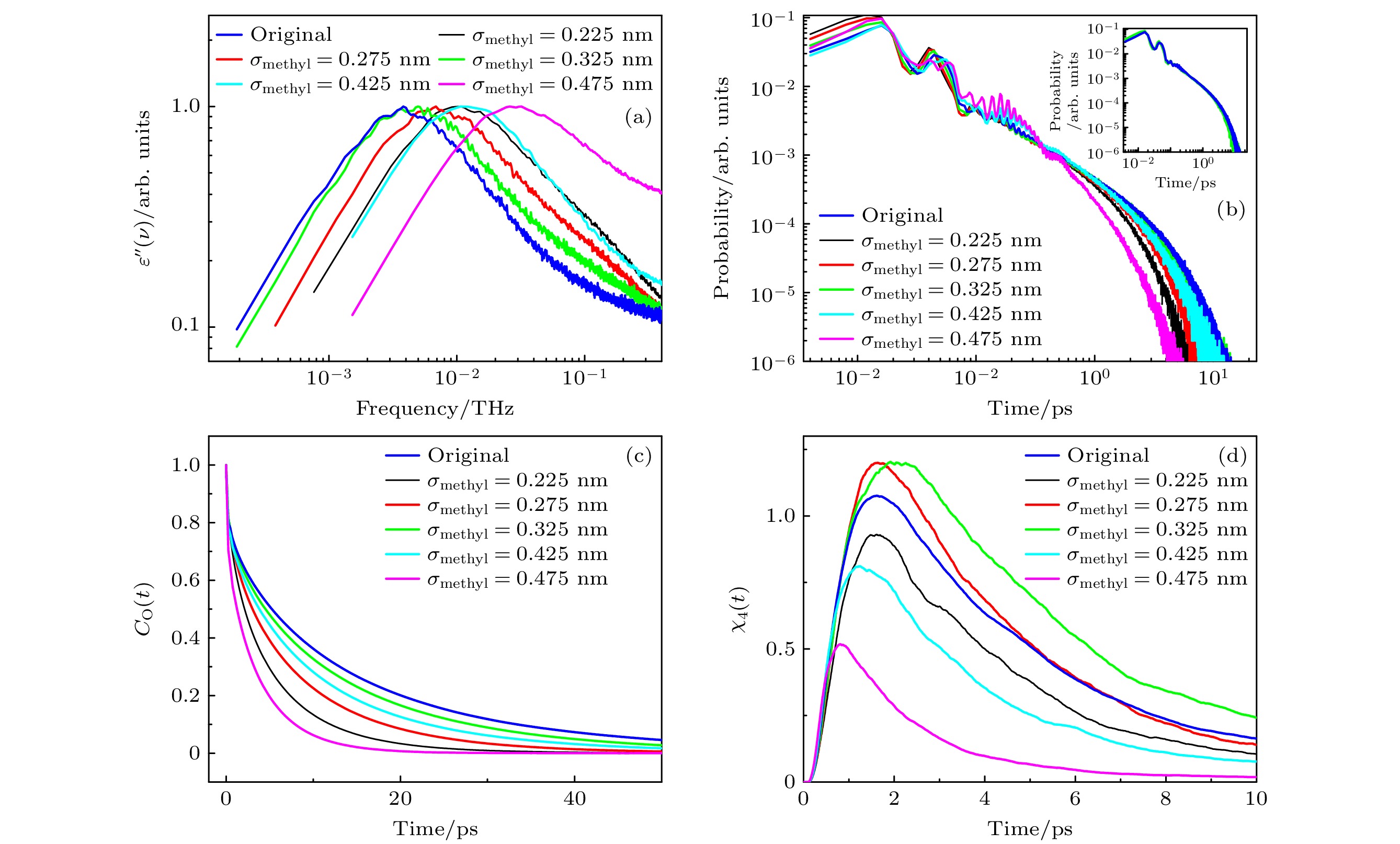
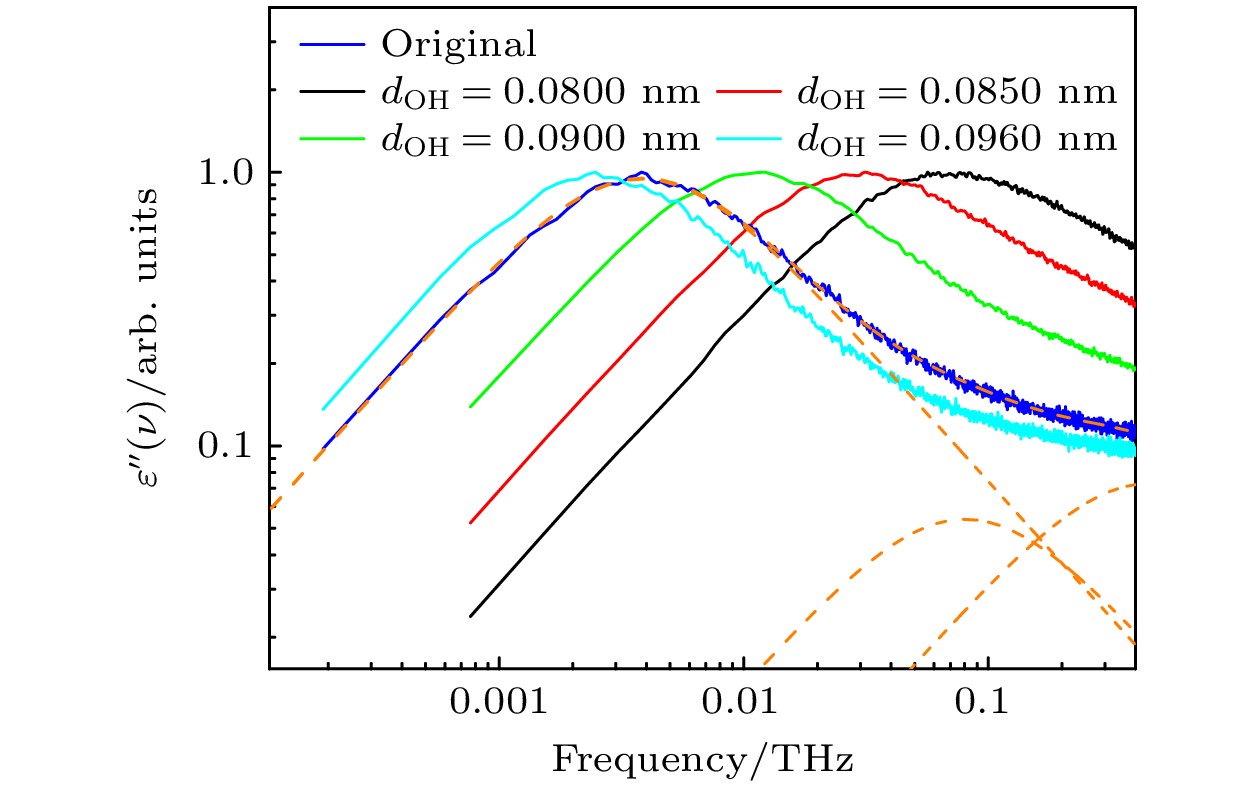
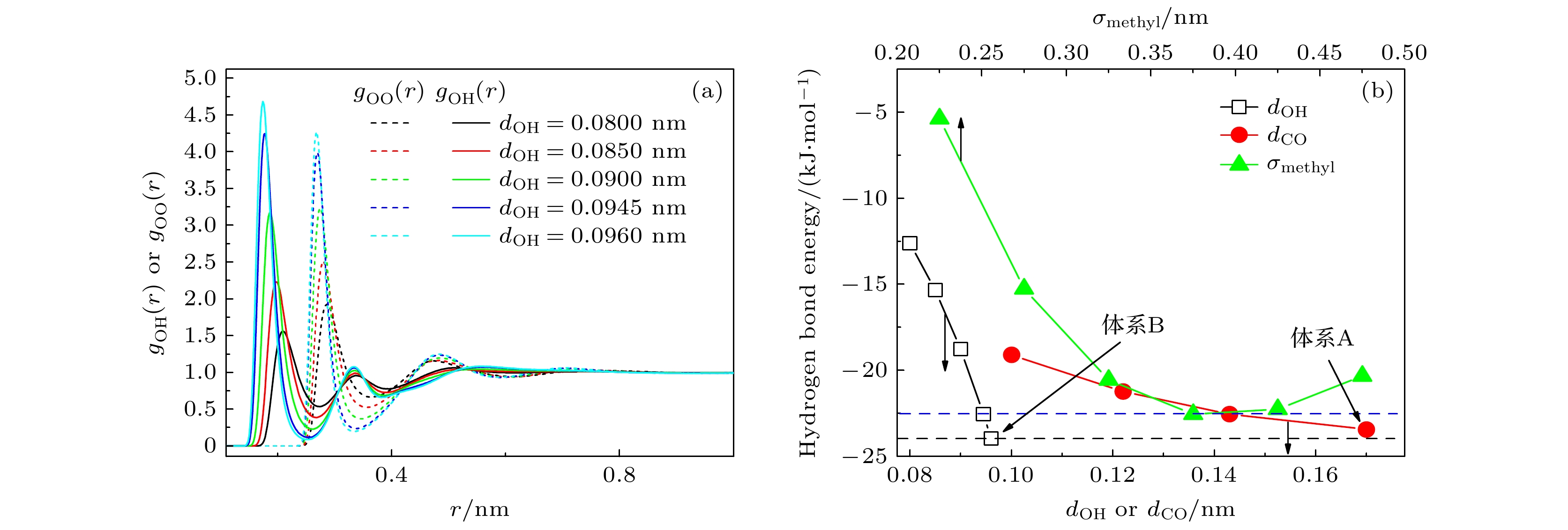
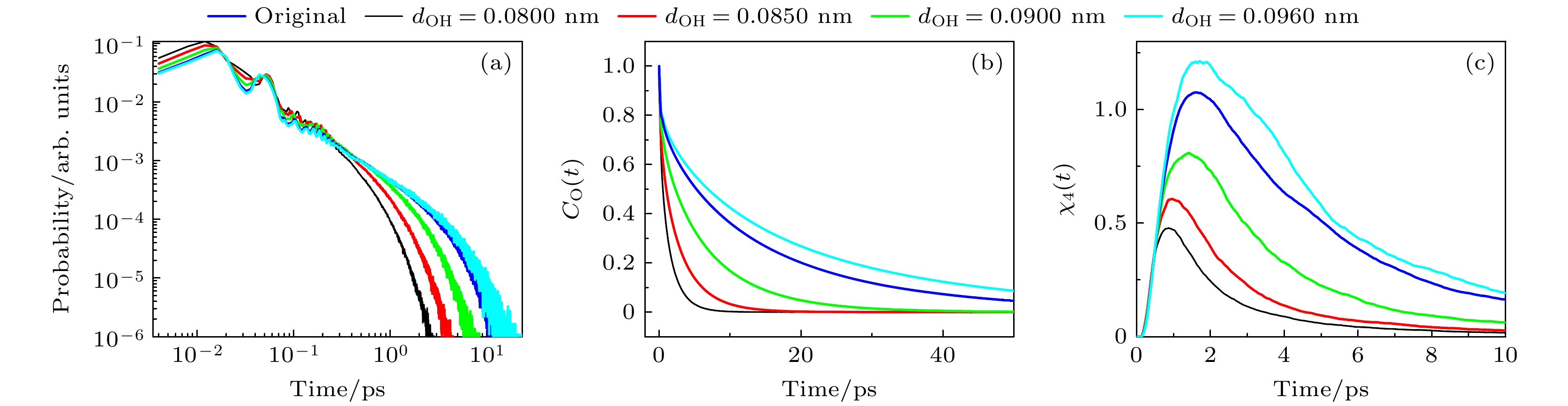
The primary dielectric relaxation process of monoalcohols typically exhibits characteristic Debye behavior, and the factors influencing its rate have become a research focus in recent years. It is generally believed that the hydrophilic end (i.e. the hydroxyl group) of alcohol molecule plays a major role in the primary dielectric relaxation process through a hydrogen bonding network, while the hydrophobic end mainly exerts an indirect effect by influencing the formation of intermolecular hydrogen bonds. In this work, the factors influencing the primary dielectric relaxation process of methanol are systematically investigated by using molecular dynamics simulations. Studying methanol, a simplest alcohol molecule, can provide insights into the common characteristics of monohydroxy alcohols and even alcohols in general. The well-known “wait-and-switch” model currently emphasizes the influence of hydrogen bond partner concentration on the primary dielectric relaxation rate of the system. In this work, we systematically investigate the factors influencing the primary dielectric relaxation rate of methanol by adjusting the O—H bond length (
d
OH), the C—O bond length (
d
CO), and the methyl diameter (
σ
methyl) of methanol molecules, respectively, and significantly extend the “wait-and-switch” model. 1) By adjusting
d
OH, we find that stronger total hydrogen bond energy (
U
HB) in the system can enhance the correlation of molecular motion, slow down the reorientation rate of molecules and, consequently, the primary dielectric relaxation process of the system. 2) By adjusting
d
CO, we discover that a longer hydrophobic end not only slows down the primary dielectric relaxation process by stabilizing the intermolecular hydrogen bond network but also directly reduces the rate of this process. 3) By adjusting
σ
methyl, we find that an excessively small
σ
methylis detrimental to the stability of the hydrogen bond network, while an excessively large
σ
methylhinders thehydrogen bonds from forming. Both of these situations will have a negative influence on the correlation of molecular motion. When
σ
methylis at a moderate level, the main dielectric relaxation process of the system is the slowest. Ultimately, it is found that factors such as
U
HBand related motion volume (
V
CM), as well as the concentration of hydrogen bond partners in the system, collectively constitute the key factors affecting the primary dielectric relaxation rate of the system. Our results can reasonably explain experimental phenomena that the original “wait-and-switch” model cannot explain. This study contributes to a more in-depth understanding of the relaxation processes of alcohol molecules and their physical origins.