-
Uniaxial/biaxial bianisotropic materials are widespreadly used in manufacturing optical devices , owing to their distinctive electromagnetic response characteristics. To effectively analyze the electromagnetic properties of uniaxial/biaxial bianisotropic materials, rapid-transfer matrix method (R-TMM) to investigate the propagation process of plane waves in the media is proposed. Starting from the Maxwell’s equations in the time domain, a homogeneous differential equation about the electric field is constructed by processing the matrix containing dielectric and magnetic conductivity, electric and magnetic loss, tellegen and chirality carrier parameters, and the complex matrix operation is applied to that equation to obtain the Booker quartic equation, and then the formulae method is utilized to obtain the eigenvalues in the uniaxial/biaxial bianisotropic media. Subsequently, the tangential continuity of layered media at the interface is employed to establish a transfer matrix for single-layered media. In the case of multi-layered media, the transfer matrix of plane waves propagating in multi-layered uniaxial/biaxial bianisotropic media can be obtained by means of a continuous iteration process based on the transfer matrix of single-layered media. The formula for calculating the propagation coefficients of uniaxial/biaxial bianisotropic materials can be derived based on the different upward and downward waves in the reflection/transmission region. Finally, the reliability and efficiency of R-TMM are verified from two numerical experiments with the plane waves incident at different angles on uniaxial/biaxial bianisotropic media. The first experiment is designed as a single-layered biaxial bianisotropic model with more general electromagnetic parameters, and the second experiment is designed as a double-layered uniaxial and biaxial bianisotropic model consisting of common optical materials, which are composed of two non-magnetic materials, lithium niobate (LiNbO3) and cadmium sulfide (CdS). The experimental results demonstrate that compared with the conventional conventional-transfer matrix method (C-TMM), the R-TMM reduces the computational memory and CPU time required for calculating the reflection and transmission coefficients of the uniaxial/biaxial bianisotropic model by over 98%, while maintaining the accuracy of the reflection and transmission coefficient calculations. Therefore, R-TMM provides an efficient and dependable approach for the designing complex optical devices and analyzing uniaxial/biaxial bianisotropic propagation characteristics.
[1] [2] [3] [4] [5] [6] [7] [8] [9] [10] [11] [12] [13] [14] [15] [16] [17] [18] [19] [20] [21] [22] [23] [24] [25] [26] [27] [28] [29] -
$\boldsymbol\varepsilon_{\rm r}$ $\boldsymbol \mu_{\rm r} $ $\boldsymbol \sigma_{\rm e} $ $\boldsymbol \sigma_{\rm m} $ $ \left[ {\begin{array}{*{20}{c}} {5.6}&0&0 \\ 0&{4.8}&0 \\ 0&0&{6.1} \end{array}} \right] $ $ \left[ {\begin{array}{*{20}{c}} {2.9}&0&0 \\ 0&{4.2}&0 \\ 0&0&{2.6} \end{array}} \right] $ $ \left[ {\begin{array}{*{20}{c}} {2.9}&0&0 \\ 0&{4.2}&0 \\ 0&0&{2.6} \end{array}} \right] $ $ \left[ {\begin{array}{*{20}{c}} {271}&0&0 \\ 0&{422}&0 \\ 0&0&{354} \end{array}} \right] $ $\boldsymbol \xi $ $\boldsymbol \zeta $ $ \left[ {\begin{array}{*{20}{c}} {3.9 + 0.01{\text{j}}}&0&0 \\ 0&{5.3 + 0.03{\text{j}}}&0 \\ 0&0&{4.3 + 0.06{\text{j}}} \end{array}} \right] $ $ \left[ {\begin{array}{*{20}{c}} {3.9 - 0.01{\text{j}}}&0&0 \\ 0&{5.3 - 0.03{\text{j}}}&0 \\ 0&0&{4.3 - 0.06{\text{j}}} \end{array}} \right] $ 方法 CPU核数 内存/MB CPU时间/s
TE
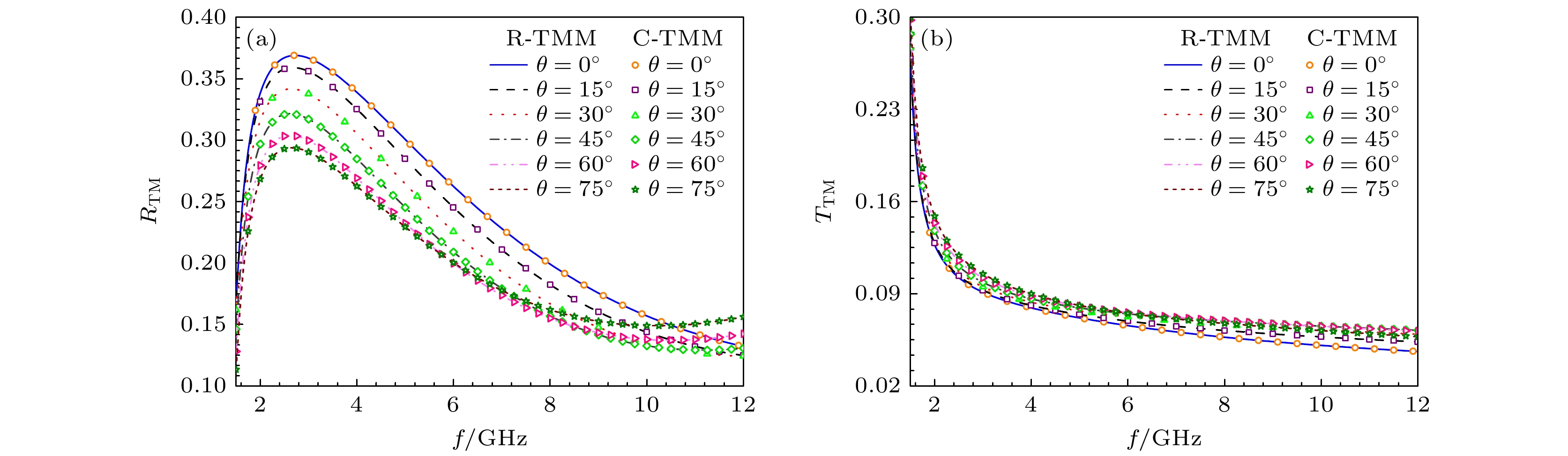
TMC-TMM 1 729.4 9.2541 10.6075 R-TMM 1 5.3 0.1303 0.1521 比率 (R-TMM / C-TMM) 0.0073 0.01408 0.01434 Media $\boldsymbol\varepsilon_{\rm r}$ $\boldsymbol\mu_{\rm r}$ $\boldsymbol\sigma_{\rm r}$ $\boldsymbol\sigma_{\rm r}$ LiNbO3 $ \left[ {\begin{array}{*{20}{c}} {32.3}&0&0 \\ 0&{32.3}&0 \\ 0&0&{37.4} \end{array}} \right] $ $ \left[ {\begin{array}{*{20}{c}} {1.0}&0&0 \\ 0&{1.0}&0 \\ 0&0&{1.1} \end{array}} \right] $ $ \left[ {\begin{array}{*{20}{c}} {4.9}&0&0 \\ 0&{4.9}&0 \\ 0&0&{5.8} \end{array}} \right] $ $ \left[ {\begin{array}{*{20}{c}} {356}&0&0 \\ 0&{356}&0 \\ 0&0&{564} \end{array}} \right] $ CdS $ \left[ {\begin{array}{*{20}{c}} {6.25}&0&0 \\ 0&{6.01}&0 \\ 0&0&{6.32} \end{array}} \right] $ $ \left[ {\begin{array}{*{20}{c}} {1.0}&0&0 \\ 0&{1.0}&0 \\ 0&0&{1.0} \end{array}} \right] $ $ \left[ {\begin{array}{*{20}{c}} {0.02}&0&0 \\ 0&{0.03}&0 \\ 0&0&{0.01} \end{array}} \right] $ $ \left[ {\begin{array}{*{20}{c}} 0&0&0 \\ 0&0&0 \\ 0&0&0 \end{array}} \right] $ Media $\boldsymbol\xi $ $\boldsymbol\zeta $ LiNbO3 $ \left[ {\begin{array}{*{20}{c}} {0.02}&0&0 \\ 0&{0.02}&0 \\ 0&0&{0.01} \end{array}} \right] $ $ \left[ {\begin{array}{*{20}{c}} {0.02}&0&0 \\ 0&{0.02}&0 \\ 0&0&{0.01} \end{array}} \right] $ CdS $ \left[ {\begin{array}{*{20}{c}} {4.5 + 0.01{\text{j}}}&0&0 \\ 0&{6.6 + 0.02{\text{j}}}&0 \\ 0&0&{3.9 + 0.01{\text{j}}} \end{array}} \right] $ $ \left[ {\begin{array}{*{20}{c}} {4.5 - 0.01{\text{j}}}&0&0 \\ 0&{6.6 - 0.02{\text{j}}}&0 \\ 0&0&{3.9 - 0.01{\text{j}}} \end{array}} \right] $ 方法 CPU核数 内存/MB CPU时间/s TE TM C-TMM 1 744.2 11.8062 11.8935 R-TMM 1 7.6 0.1796 0.1851 比率 (R-TMM/C-TMM) 0.0102 0.0152 0.0156 -
[1] [2] [3] [4] [5] [6] [7] [8] [9] [10] [11] [12] [13] [14] [15] [16] [17] [18] [19] [20] [21] [22] [23] [24] [25] [26] [27] [28] [29]
Catalog
Metrics
- Abstract views: 1658
- PDF Downloads: 86
- Cited By: 0









DownLoad: