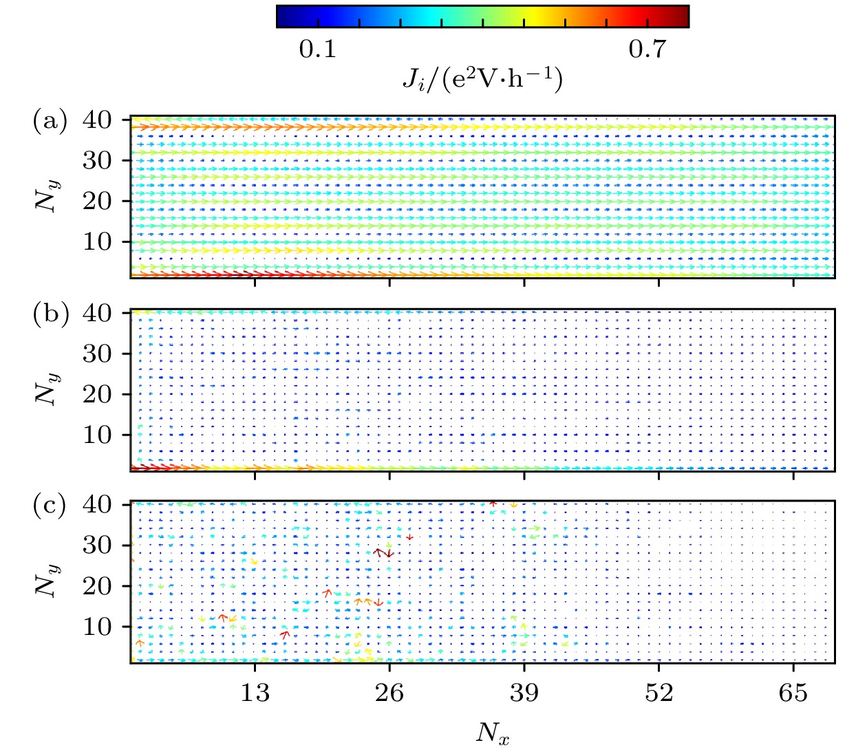
Graphene, a two-dimensional material characterized by its honeycomb lattice structure, has demonstrated significant potential applications in electronic devices. The topological Anderson insulator (TAI) represents a novel phenomenon where a system transforms into a topological phase induced by disorder. In past studies, TAI is widely found in theoretical models such as the BHZ model and the Kane-Mele model. A common feature is that these models can open topological non-trivial gaps by changing their topological mass terms, but the rise of TAI is independent of the topological status of gaps. In order to investigate whether there is any difference in the disorder-induced phase between topologically trivial and topologically non-trivial cases of the Haldane model in the clean limit, the Haldane model in an infinitely long quasi-one-dimensional ZigZag-edged graphene ribbon is considered in this work. The Hamiltonian and band structure of it are analyzed, and the non-equilibrium Green's function theory is used to calculate the transport properties of ribbons under topologically trivial and non-trivial states versus disorder. The conductance, current density, transport coefficient and localisation length are calculated as parameters characterising the transmission properties. It is found from the analysis of the band structure that the system in either topological trivial or topological non-trivial state has edge states. When the Fermi energy lies in the conduction band, the conductance of the system decreases rapidly under weak disorder intensity and strong disorder intensity, regardless of whether the system is topologically non-trivial or not. At moderate disorder intensities, the conductance of topologically non-trivial systems keeps stable with a value of 1, indicating the appearance of the topological Anderson insulator phase in the system. Meanwhile, for topological trivial systems, the decrease of conductance noticeably slows down. The calculations of local current density show that both systems exhibit robust edge states, with topologically protected edge states showing greater robustness. The analysis of the transmission coefficients of edge state and bulk state indicates that the coexistence of bulk states and robust edge states is the basis for the phenomena observed in the Haldane model. Under weak disorder, bulk states are localized, and the transmission coefficient of edge states decreases due to scattering into the bulk states. Under strong disorder, edge states are localized, resulting in zero conductance. However, at moderate disorder strength, bulk states are annihilated while robust edge states persist, thereby reducing scattering from edge states to bulk states. This enhances the transport stability of the system. The fluctuation of conduction and localisation length reveal that the metal-TAI-normal insulator transition occurs in the Haldane model with topological non-trivial gap and if the system is of cylinder shape, there will be no edge states, the TAI will not occur. For the topological trivial gap case, only metal-normal insulator transition can be clearly identified. Therefore, topologically protected edge states are so robust that they generate a conductance plateau and it is demonstrated that the topologically trivial edge states are robust to a certain extent and can resist this level of disorder. The robustness of edge states is a crucial factor for the occurrence of the TAI phenomenon in the Haldane model.