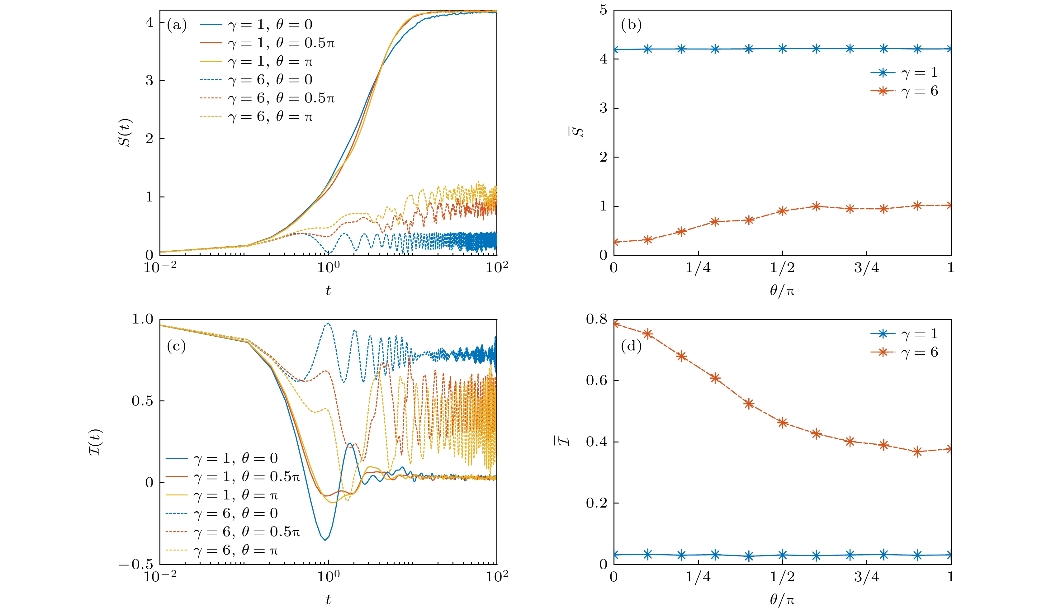
In this work, a one-dimensional interacting anyon model with a Stark potential in the finite size is studied. Using the fractional Jordan Wigner transformation, the anyons in the one-dimensional system are mapped onto bosons, which are described by the following Hamiltonian: $ \begin{aligned} \hat{H}^{\text{boson}}=-J\sum_{j=1}^{L-1}\left( \hat{b}_{j}^{\dagger}\hat{b}_{j+1}{\mathrm{e}}^{{\mathrm{i}}\theta \hat{n}_{j}}+{\mathrm{h.c.}}\right)+\frac{U}{2}\sum_{j=1}^{L}\hat{n}_{j}\left( \hat{n}_{j}-1\right)+\sum_{j=1}^{L}{h}_{j}\hat{n}_{j},\;\;\;\;\;\;\;\;\;\end{aligned}$where θ is the statistical angle, and the on-site potential is $h_{j}=-\gamma\left(j-1\right) +\alpha\Big( \dfrac{j-1}{L-1}\Big)^{2}$ with γ representing the strength of the Stark linear potential and α denoting the strength of the nonlinear part. Using the exact diagonalization method, the spectral statistics, half-chain entanglement entropy and particle imbalance are numerically analyzed to investigate the onset of many-body localization (MBL) in this interacting anyon system, induced by increasing the linear potential strength. As the Stark linear potential strength increases, the spectral statistics transforms from a Gaussian ensemble into a Poisson ensemble. In the ergodic phase, except for θ = 0 and π, where the average value of the gap-ratio parameter $\left\langle r\right\rangle\approx 0.53$, due to the destruction of time reversal symmetry, the Hamiltonian matrix becomes a complex Hermit matrix and $\left\langle r\right\rangle\approx 0.6$. In the MBL phase, $\left\langle r\right\rangle\approx 0.39$, which is independent of θ. However, in the intermediate γ regime, the value of $\left\langle r\right\rangle$ strongly depends on the choice of θ. The average of the half-chain entanglement entropy transforms from a volume law into an area law, which allows us to construct a θ-dependent MBL phase diagram. In the ergodic phase, the entanglement entropy S(t) of the half chain increases linearly with time. In the MBL phase, S(t) grows logarithmically with time, reaching a stable value that depends on the anyon statistical angle. The localization of particles in a quench dynamics can provide the evidence for the breakdown of ergodicity and is experimentally observable. It is observed that with the increase of γ, the even-odd particle imbalance changes from zero to non-zero values in the long-time limit. In the MBL phase, the long-time average value of the imbalance is dependent on the anyon statistical angle θ. From the Hamiltonian $\hat{H}^{\text{boson}}$, it can be inferred that the statistical behavior of anyon system equally changes the hopping interactions in boson system, which is a many-body effect. By changing the statistical angle θ, the many-body interactions in the system are correspondingly changed. And the change of the many-body interaction strength affects the occurrence of the MBL transition, which is also the reason for MBL transition changing with the anyon statistical angle θ. Our results provide new insights into the study of MBL in anyon systems and whether such phenomena persist in the thermodynamic limit needs further discussing in the future.