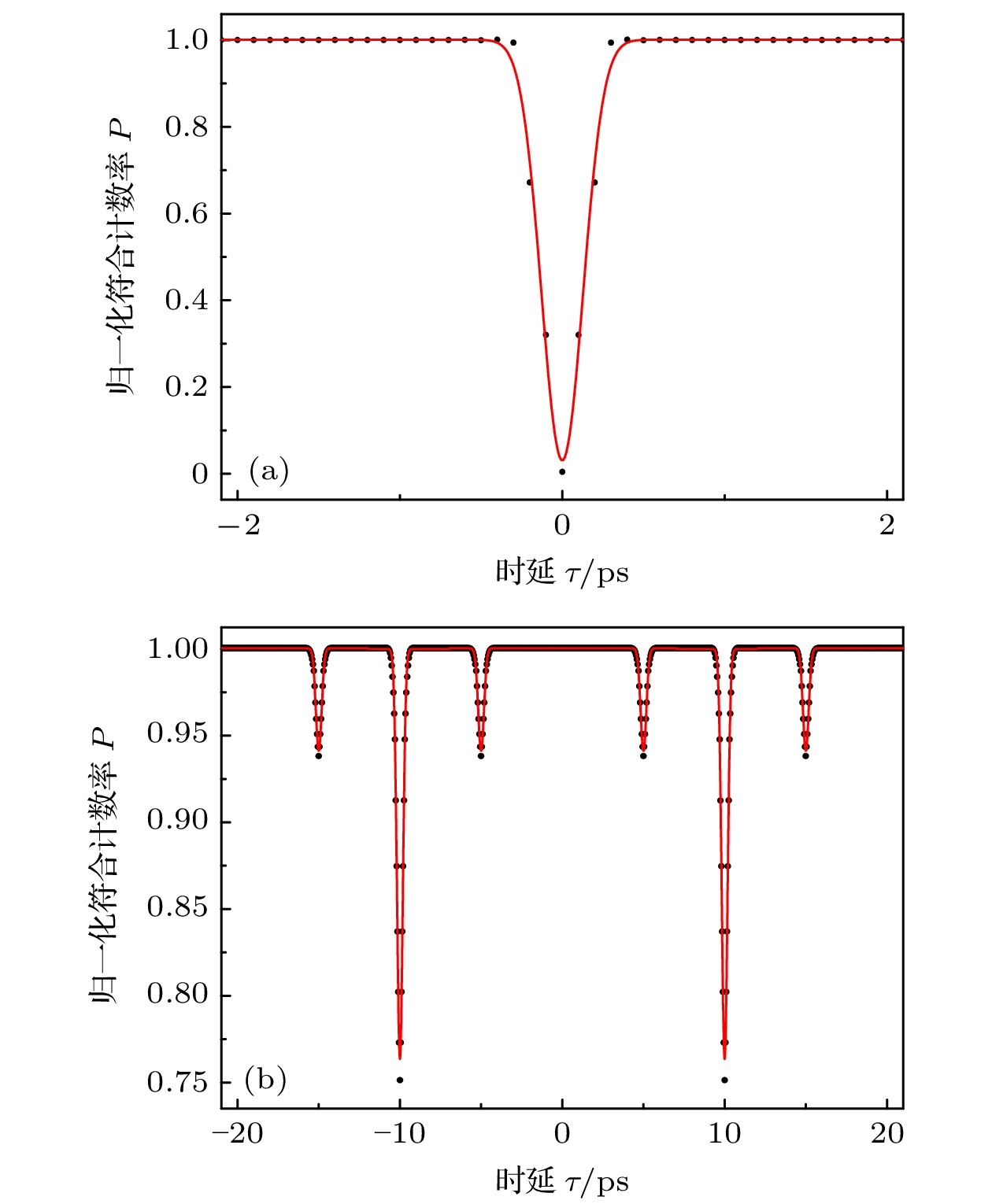
The optical gyroscope for measuring the attitude information of spatial carriers, has emerged as a research hotspot in inertial navigation system. Real-time measurement of rotation angular velocity is crucial for obtaining accurate attitude information. However, the measurement accuracy of traditional optical gyroscope is limited by the short noise limit (SNL), which restricts its further applications. Existing research indicates that the quantum technology is needed to address the measurement limitations of traditional optical gyroscopes. A triaxial rotation angular velocity measurement scheme based on frequency entangled biphoton and cascaded Hong-Ou-Mandel (HOM) interference is proposed in this study. By using the Sagnac effect induced by the rotation between signal and idler photons, the triaxial angular velocity is introduced into the corresponding measurement arm of a cascaded HOM interferometer. The cascaded HOM interferogram is obtained using a coincidence measurement device, and the relationship between the symmetric dip position and the three independent time delay difference is analyzed. The characteristic parameters of HOM interferogram, including a half-height full width (FWHM) of 0.3 ps and visibilities of 1, 0.25 and 0.06, respectively, are obtained. According to quantum Fisher information theory, the maximum quantum Fisher information values of the three independent time delay differences ($ {\tau }_{1} $, $ {\tau }_{2} $, $ {\tau }_{3} $) are calculated to be 1, 0.1, and 0.006, respectively. Furthermore, by incorporating measurement uncertainty, it is demonstrated that the accuracy of the time delay measurement can exceed the SNL. Combined with the relationship between time delay and angular velocity, the results show that the angular velocity measurement accuracy exceeds that of classical optical gyroscopes. Therefore, this scheme provides a theoretical foundation for further applying quantum gyroscopes to global navigation sensing and precision measurement systems.