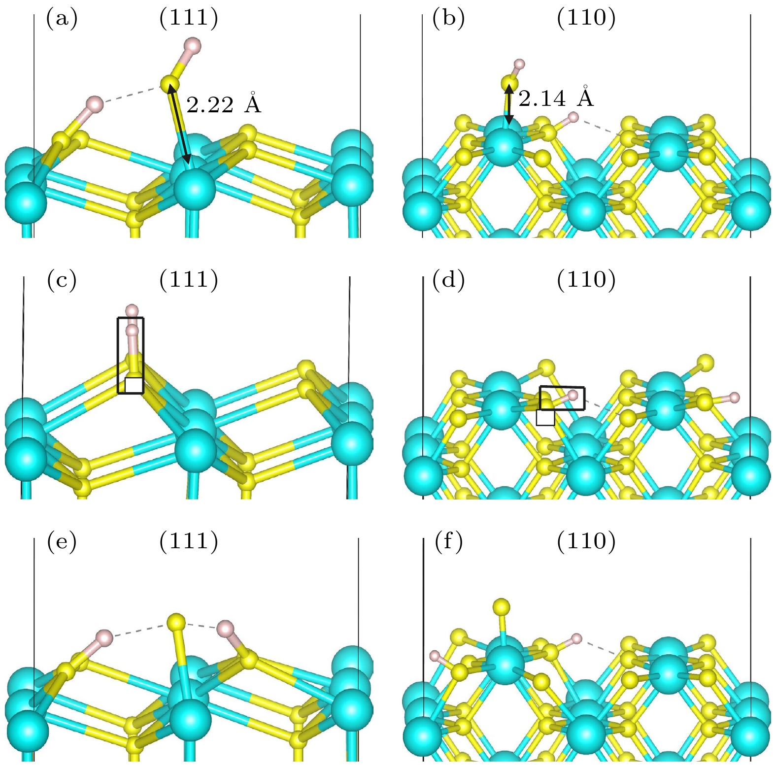
Plutonium dioxide, as one of the primary materials for nuclear fuel, serves as a critical component in fast neutron reactor fuel and mixed oxide (MOX) fuel due to its distinctive physical and chemical properties. It can significantly enhance the utilization efficiency of uranium and diminish the demand for natural uranium resources. Moreover, plutonium dioxide constitutes an essential component of spent nuclear fuel. However, during long-term storage, oxygen vacancies on its surface can facilitate hydrogen release under the influence of water molecules, thereby posing potential risks to nuclear safety. Therefore, it is crucial to have a deep understanding of the interaction mechanism between water molecules and the plutonium dioxide surface. Such insights provide valuable theoretical guidance for ensuring the safe storage of spent nuclear fuel., The adsorption behavior of H2O molecules on the PuO2 (111) and (110) surfaces, as well as the effects of oxygen vacancies and excess electrons on these surfaces, is investigated numerically based on the first-principles calculations in this work. The simulation results show that the PuO2 (111) surface is very stable compared with the PuO2 (110) surface, indicating that PuO2 (110) is more prone to oxygen vacancies. For the adsorption of water molecules on PuO2 (111) and (110) surfaces, the plutonium atom vertex site is identified as the only stable adsorption site, with one hydrogen atom of the water molecule preferentially bonding to a surface oxygen atom. Due to the higher reactivity of the PuO2 (110) surface than that of the stoichiometric PuO2 (111) surface, water molecules exhibit molecular adsorption configurations on the latter, while dissociative adsorption configurations are favored on the former. Using the CI-NEB method, the energy barriers for the dissociation of the first hydrogen atom on stoichiometric surfaces of PuO2 (111) and (110) are determined to be 0.11 eV and 0.008 eV, respectively. In contrast, the energy barriers for complete dissociation are 0.85 eV and 1.02 eV, respectively, which are significantly higher. For reduced PuO2 (111) surfaces containing surface oxygen vacancies, the energy barrier for H2 production via water decomposition is calculated to be 3.31 eV. On the over-hydrogenated PuO2 (111) surface, the energy barrier for H2 production decreases markedly to 1.92 eV, providing theoretical insights into the mechanism of hydrogen release during nuclear fuel storage.