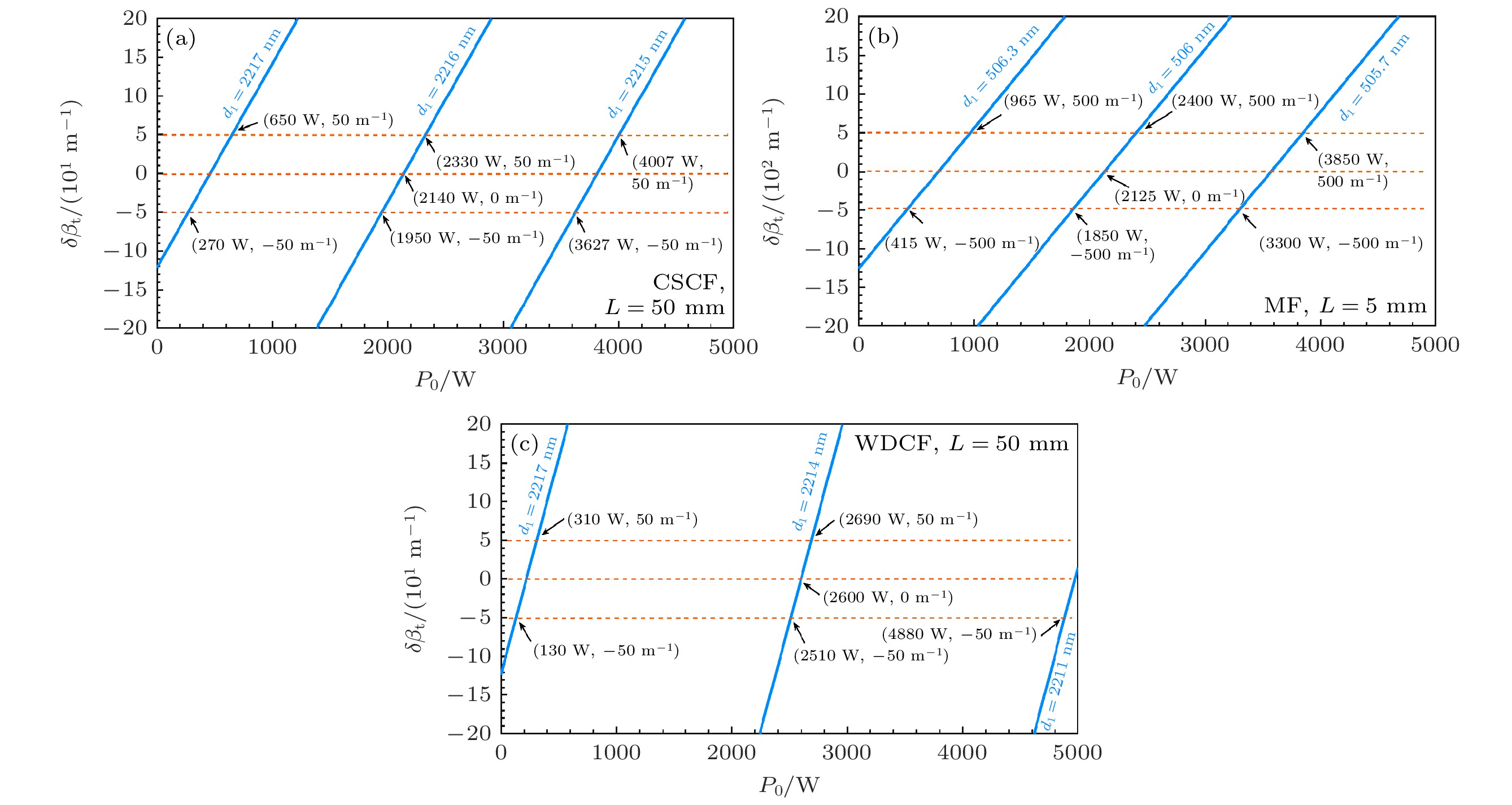
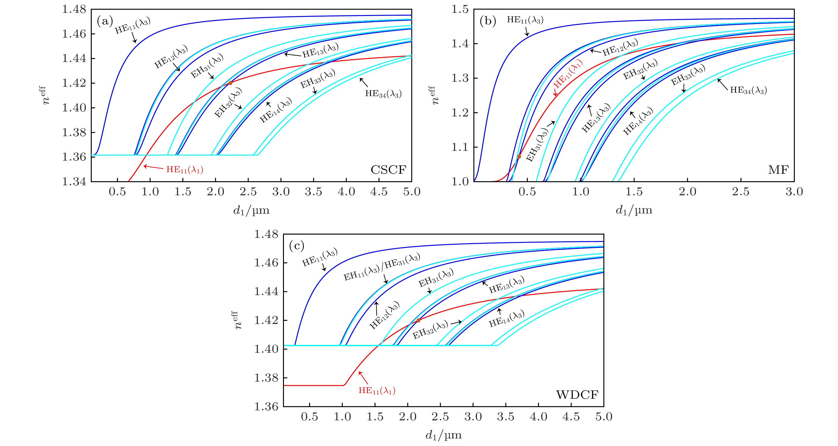
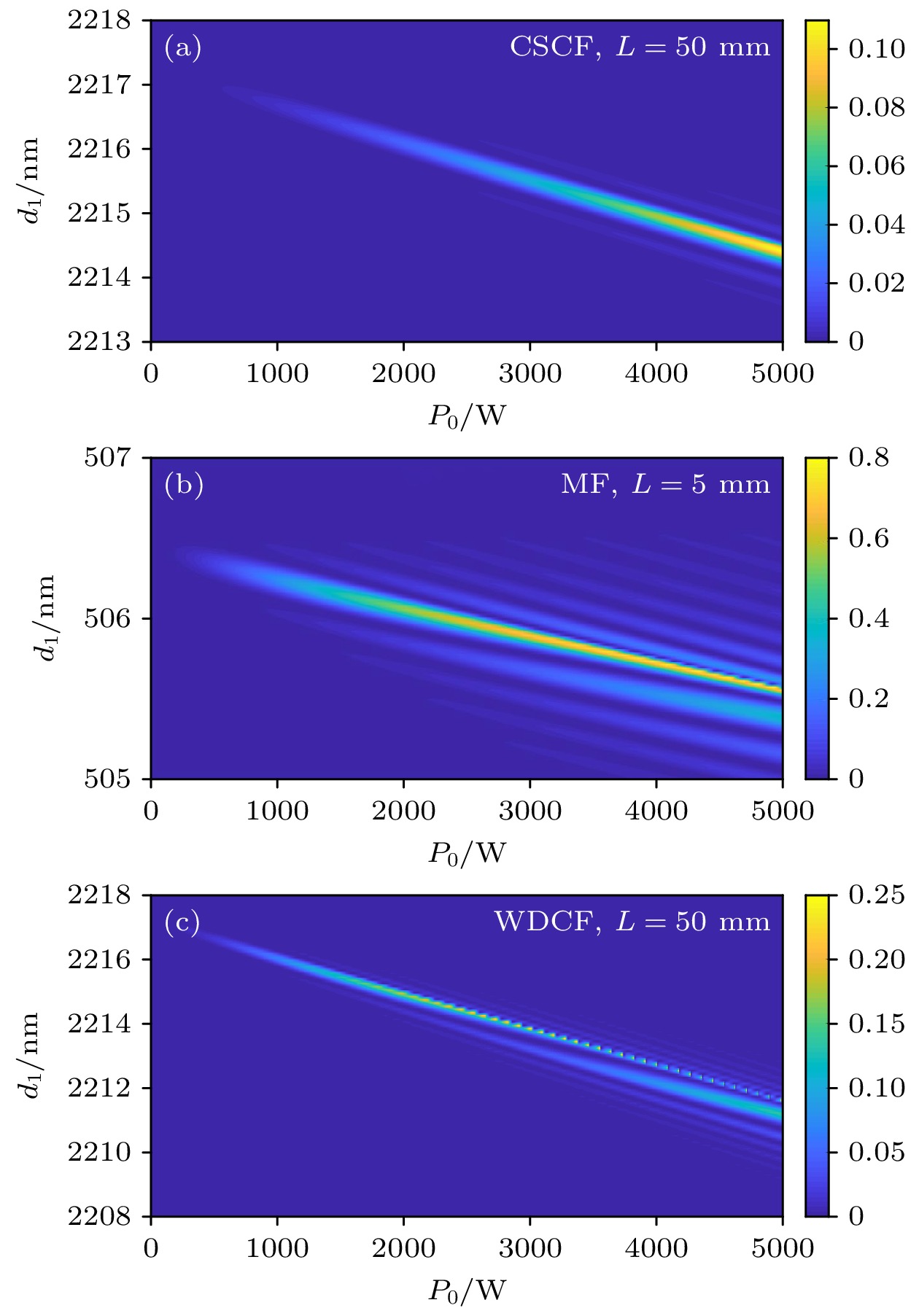
Ultraviolet fiber lasers are highly desired in different fields such as lithography, laser processing, optical communications, optical storage, and biomedicine. On the other hand, all-fiber frequency conversion technology is of great significance in scientific research and practical applications, as it provides an alternative to the current solutions based on nonlinear crystals. Developing special optical fibers with both suitable mechanical performance and conversion efficiency and reducing the difficulty in their preparing are the key challenges in bringing this novel technology into practical application. In this work, three step-index optical fibers with simple structure are designed, they being a conventional single-cladding fiber (CSCF) with high numerical aperture, a microfiber (MF), and a W-type double-cladding fiber (WDCF), and the third-harmonic generation in ultraviolet band is studied by using them, respectively. The fundamental (pump) wavelength used in this work is 1064 nm and the third-harmonic wavelength is 355 nm.In order to achieve good transmission in the ultraviolet band, the cores of all three optical fibers are designed to be made of pure silica glass, and the core diameters are determined according to the phase matching condition for the fundamental wave and the third harmonic, by solving the eigenvalue equations. The cladding of CSCF is fluorine-doped silica glass, and the cladding of MF is air; for WDCF, the inner cladding and outer cladding are fluorine-doped silica glass and fluoroplastics, respectively. Both the CSCF and the WDCF have solid cladding, and their core diameters can be greater than 2 μm, so they have adequate mechanical properties. In comparison, due to the air cladding and thin core (the core diameter has to be less than 1 μm for phase matching), the MF is fragile in structure and thus its mechanical performance is rather poor.The conversion efficiencies of these three fibers are investigated in detail, by solving numerically the coupled mode equations for the pump and the third harmonic with the Runge-Kutta method. The effect of random fiber roughness (i.e. core diameter fluctuation) and enhancement in conversion efficiency by cascading the fibers are also analyzed. The results show that the conversion efficiency in MF is the highest, with an efficiency of 2% for a 5-mm-long single MF segment and over 20% for cascaded MFs; however, MF requires strict fabrication accuracy, and the tolerance of core diameter is only ± 0.3 nm. The CSCF has the lowest conversion efficiency, which is 0.1% for a 50-mm-long single segment and at the level of about 1% after cascading, and the tolerance of core diameter is ± 1 nm. The conversion efficiency of WDCF is between those of CSCF and MF, nearly 2% with a 50-mm-long segment and about 16% when four such segments are cascaded; WDCF bears core diameter tolerance of ± 3 nm, which is three times that of CSCF and 10 times that of MF. Therefore, the W-type double-cladding fiber WDCF actually integrates the advantages of conventional single-cladding fiber CSCF and microfiber MF, showing both satisfactory mechanical performance and conversion efficiency, as well as reduced fabrication difficulty, which provides a promising solution for all-fiber third-harmonic generation in the ultraviolet band.