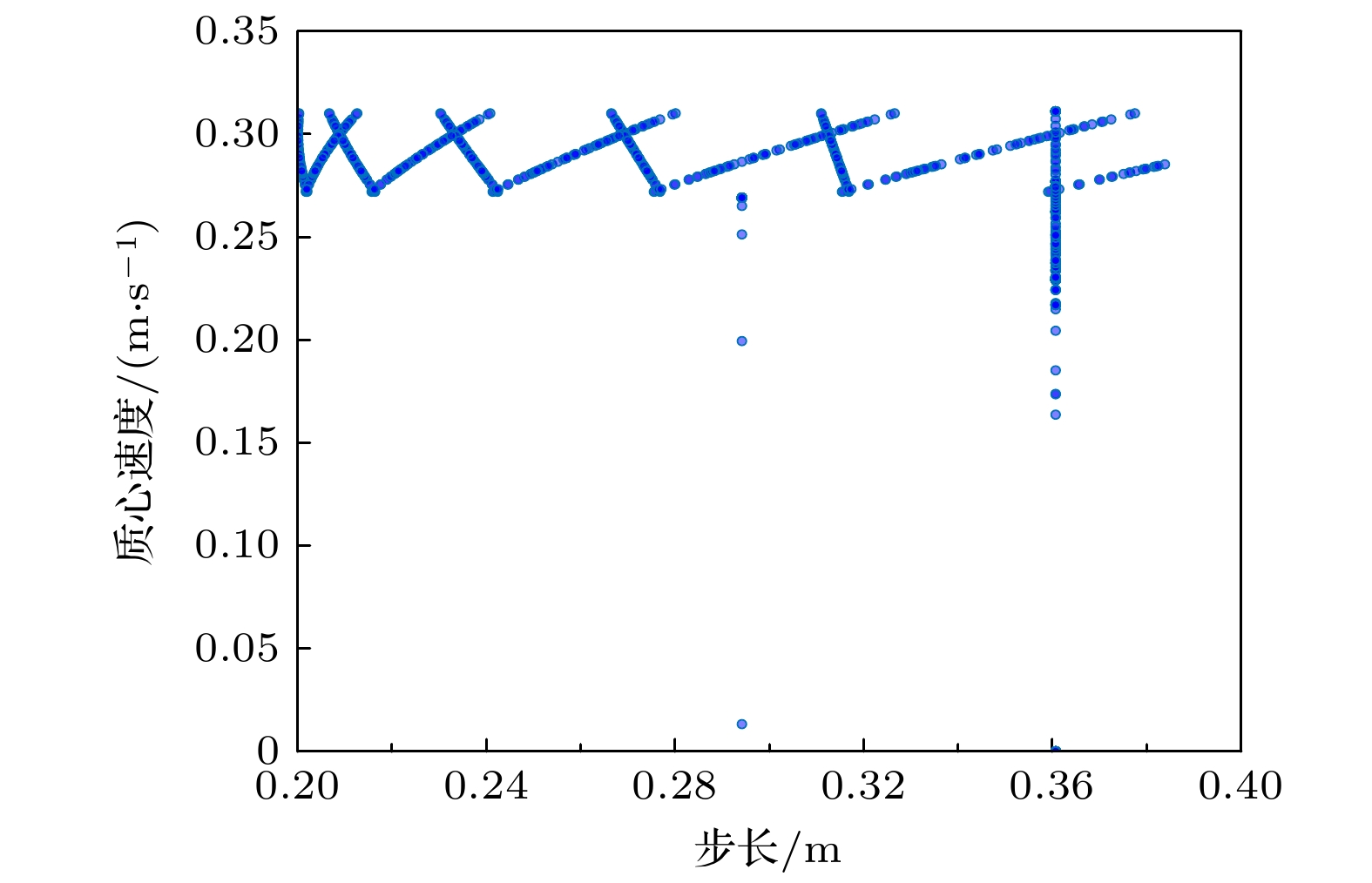
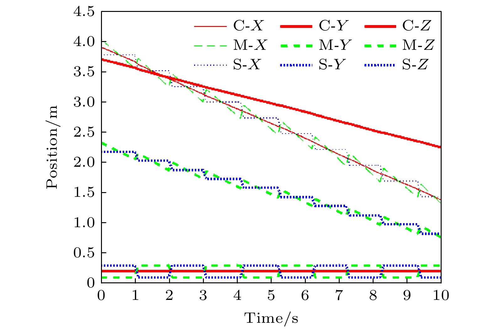
This study addresses the critical challenge of simulating pedestrian crowd dynamics in staircase environments, where existing models often neglect three-dimensional geometric constraints and dynamic interactions. We propose a dual-layer motion model (DLM) that integrates a hierarchical kinematic-dynamic coupling framework, geometric discretization methods, and crowd interaction mechanisms. The model abstracts pedestrians as a multi-node “bipedal single-point” system, distinguishing between an upper-layer centroid motion plane and a lower-layer dual-foot support space. This method combines spatiotemporal modeling and contact mechanics to address the complexity of stairwell dynamics. The lower layer uses cellular path planning to constrain stepping motions and ensures spatiotemporal consistency of the crowd through a quasi-synchronous state transition mechanism. The upper layer uses an ellipse-projection-based separating axis algorithm to detect collision conflicts and quantifies contact effects by using collision dynamics. Additionally, a quasi-synchronous state migration mechanism is introduced within a hybrid discrete-continuous time framework to coordinate gait cycles in large-scale multi-agent simulations and solve the problem of temporal asynchrony. Based on the stability control principle of inverted pendulum dynamics and combined with biomechanical regulation capabilities and motion threshold constraints, the perturbation effects of contact forces on pedestrian balance are quantified, enabling individual dynamic stability analysis.To validate the model, a parameterized stairwell scenario (step height: 0.15 m, tread depth: 0.26 m) is constructed to simulate the motion of heterogeneous pedestrians (mass: (65 ± 5) kg, height: (1.70 ± 0.2) m). The simulation results show that the model accurately captures the dynamic features of pedestrian movement in stairwells: the centroid displacement ratio is very close to the theoretical staircase slope, and the deviation between the crowd’s average speed and empirical data is less than 6%. Dynamic stability analysis reveals the evolution from individual local imbalance to group instability. Further parametric studies indicate that balancing target attraction weight (α) and repulsion weight (β) can regulate the cohesion of crowd behavior, while increasing the collision recovery coefficient (e) can amplify contact force fluctuations.In conclusion, the dual-layer model links motion planning and dynamic stability in the stairwell environments, providing high-fidelity insights into pedestrian safety. The results emphasize the interdependence between geometric constraints, biomechanical adjustments, and density-driven instability. Future research may extend the model to irregular stair geometries and incorporate heterogeneous pedestrian parameters to improve the predictive accuracy of evacuation optimization and architectural safety design.