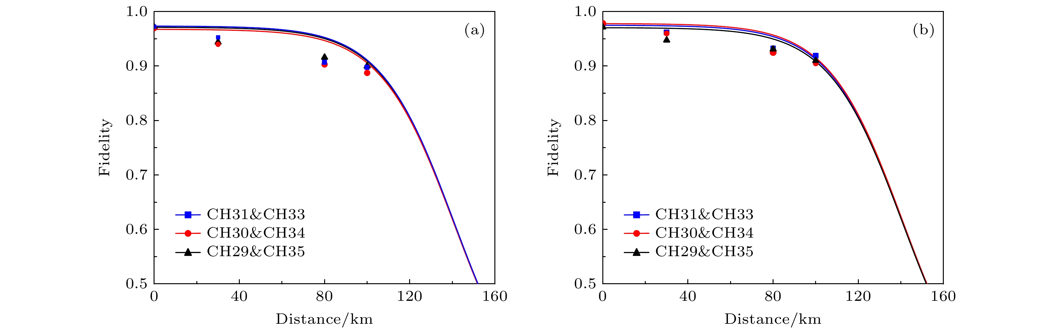
Hyperentanglement, as a high-dimensional quantum entanglement phenomenon with multiple degrees of freedom, plays a critical role in quantum communication, quantum computing, and high-dimensional quantum state manipulation. Unlike entangled states in a single degree of freedom, hyperentangled states establish entanglement relationships simultaneously in multiple degrees of freedom, such as polarization, path, and orbital angular momentum. Through entanglement-based distribution techniques, high-dimensional quantum information networks can be constructed. On this basis, a fully connected quantum network with hyperentanglement is constructed in this work, and the polarization and time-bin degree-of-freedom hyperentanglement is realized through the process of second-harmonic generation and spontaneous parametric down-conversion in periodically poled lithium niobate (PPLN) waveguide cascades. The hyperentangled state is then multiplexed into a single-mode fiber by using dense wavelength division multiplexing (DWDM) technology for transmission to terminal users. The quality of the entangled states in the two degrees of freedom is characterized using Franson-type interference and photon-pair coincidence measurement techniques. Polarization entangled states are subjected to quantum state tomography, and entanglement distribution technology is employed to achieve long-distance distribution and quantum key transmission within the network. Experimental results show that the two-photon interference visibility of both polarization and time-bin entanglement is greater than 95%, demonstrating the high quality of the hyperentanglement in the network. After 100-km-entanglement distribution, the fidelity of the quantum states in both degrees of freedom remains above 88%, indicating the effectiveness of long-distance entanglement distribution in this network. Additionally, it is verified that this network supports the distribution of quantum keys over a distance of more than 50 km between users. These results confirm the feasibility of a fully connected quantum network with hyperentanglement and demonstrate the potential for constructing large-scale metropolitan networks by using hyperentanglement. As a higher-dimensional entanglement, hyperentangled states can significantly enhance the capacity and efficiency of quantum information processing. Although the quantum communication is still in its early stages of development, achieving stable storage and transmission of entangled states in large-scale metropolitan networks remains a great challenge. By utilizing the frequency conversion properties and high integration characteristics of the periodically poled lithium niobate waveguides, the three-user hyperentangled quantum network constructed in this work provides a new solution for developing the large-scale metropolitan networks with high-dimensional quantum information networks. It is expected to provide a new platform for quantum tasks such as superdense coding and quantum teleportation.