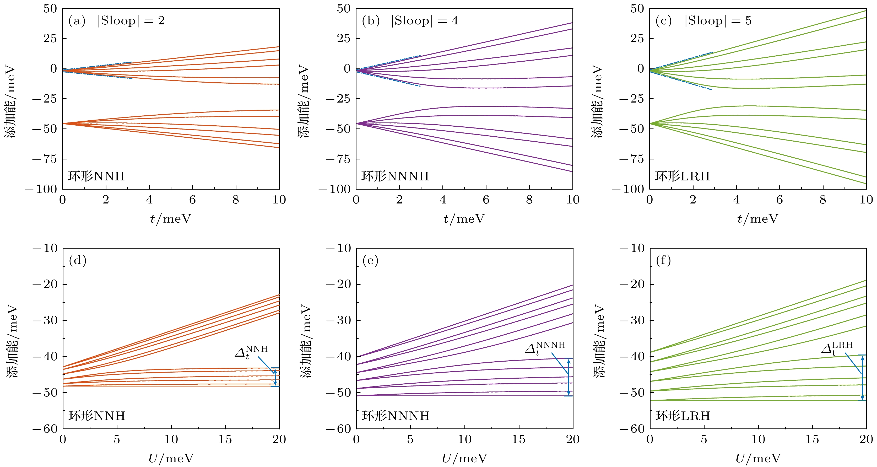
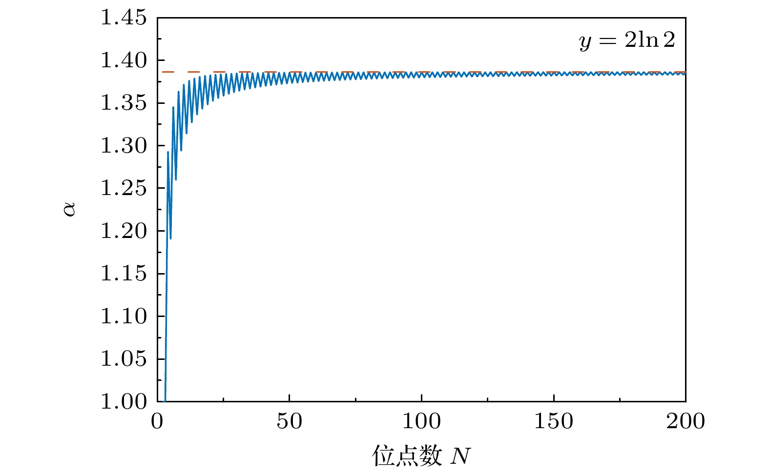
Dopant-induced quantum dot arrays in silicon-based nanostructures have received much attention due to their great potential applications in fields such as quantum computing and quantum simulation. When quantum dots are arranged in different geometric configurations such as linear, annular, or grid shapes, the differences in their inherent topological properties will lead to significantly different spatial distributions of the Coulomb interaction potential. The potential field distribution directly affects the phase coherence of electron wavefunctions, thereby regulating the dynamic behaviors of electrons such as electron tunneling and hopping between quantum dots, and greatly influencing the electron transport properties in the system.Our study aims to establish a basic theoretical framework to clarify the regulation mechanism of quantum dot geometric configurations on electron hopping transport. Therefore, we construct a generalized Fermi-Hubbard model for silicon-based dopant-induced quantum dot arrays. The model defines the distance between quantum dots through an effective Euclidean distance matrix ( D ), which uniquely determines the geometric shape of the array, and defines the allowed electron hopping modes through an adjacency matrix ( A ). Using the framework and exact diagonalization method, we perform detailed numerical simulations on the electron transport properties in the traditional unit cell of two-dimensional ordered distribution dopant-induced quantum dot arrays. Generally, the primitive unit of a two-dimensional orderly distributed dopant-induced quantum dot array is a regular polygon that satisfies specific translational and rotational symmetries. We thereby refer to the quantum dot arrays distributed according to regular polygons as annular arrays.The geometric features of annular quantum dot arrays and the electron hopping modes including nearest-neighbor hopping (NNH), next-nearest-neighbor hopping (NNNH) and long-range hopping (LRH), exhibit significant regulation of the electron addition energy and quantum conductance. The regulation arises from interactions of key energy parameters, including coupling strength (t), on-site Coulomb repulsion (U) and inter-site Coulomb repulsion (W). In the electron addition energy spectrum, such a regulation is manifested in two aspects: energy band broadening and Coulomb gap size. Band broadening is co-regulated by t and W. Under weak coupling conditions, the broadening Δt induced by coupling strength is proportional to t, with its proportional coefficient increasing with the number of hopping paths (LRH > NNNH > NNH). The broadening ΔW caused by inter-site Coulomb repulsion is proportional to W, with the proportional coefficient being β, which is a geometry-dependent correlation broadening coefficient. In multi-site annular arrays, β exhibits a logarithmic relationship with the site number N. The size of Coulomb gap is co-influenced by U, t and W. The competition between U and W determines the electron configuration mode (dominated by single-electron occupation of sites or double-electrons occupation of spaced sites), with a critical value α for electron configuration reconstruction that causes a change in electron configuration across the threshold. When U/W > α, single-electron occupation dominates, and the gap is determined by the competition between U and t; when U/W < α, double-electrons occupation dominates, the gap expands under the influence of W, accompanied by the formation of sub-bands.In the quantum conductance spectrum, regulation is reflected by the distribution of conductance peak intensity. Geometric configurations significantly affect peak intensity distribution. Linear arrays exhibit concentrated peak intensities due to edge states formed by open boundaries, while annular arrays with periodic boundaries and no edge states show more uniform peak distributions. Additionally, in annular arrays, the electron transport direction is non-collinear with the inter-site repulsion direction, endowing them with stronger robustness against transport inhibition induced by W. The influence of hopping modes is twofold. More hopping paths (LRH > NNNH > NNH) result in more non-zero hopping matrix elements, which causes higher average conductance. Meanwhile, hopping paths affect the phase coherence of wavefunctions, modulating the intensity of individual conductance peaks and forming distinct distribution.In conclusion, we establish a theoretical framework to clarify the physical mechanism, in which the geometric configurations and electron hopping modes of silicon-based dopant-induced quantum dot arrays regulate electron transport properties through synergistic interactions with key energy parameters (t, U, W). Electron addition energy spectra and quantum conductance spectra reveal the regulatory rules of these factors on electron transport behaviors, providing a theoretical guidance for optimally designing silicon-based quantum devices.