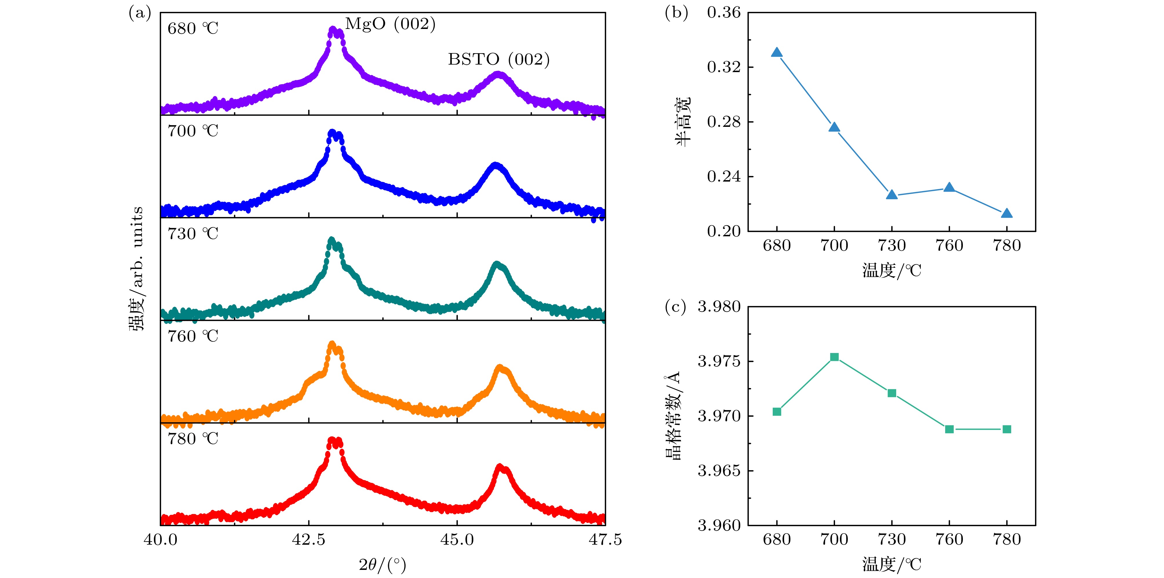
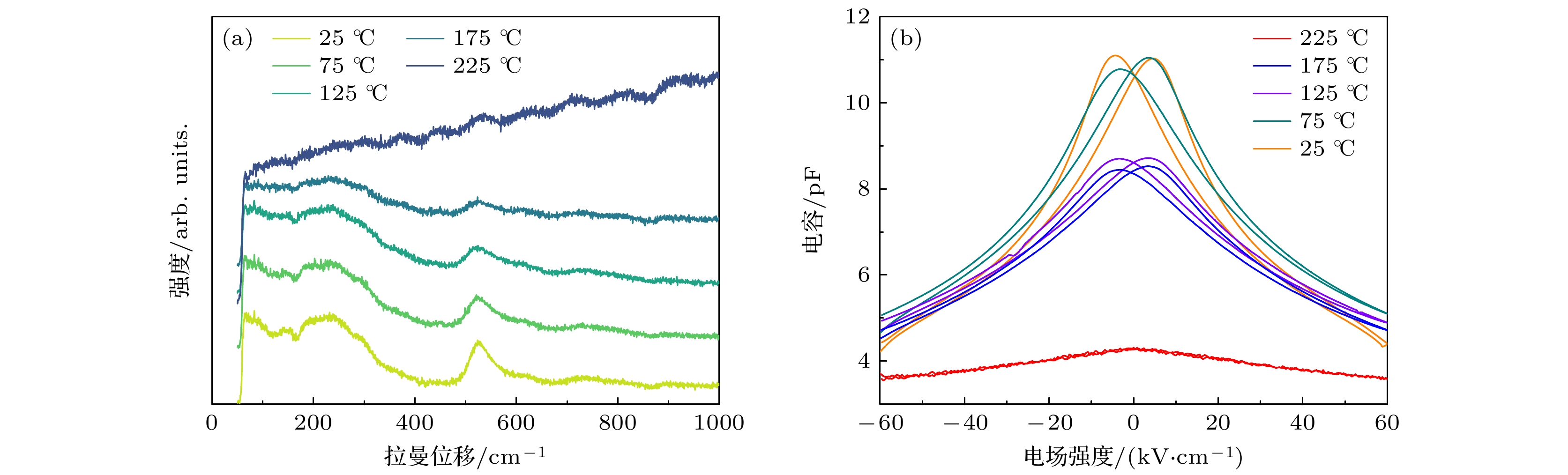
Microwave tunable devices are critical components in phased array antennas and RF front-ends, and essential for the precise controling of frequency, phase and amplitude. Although bulk dielectric ceramic materials are widely used in these devices, they pose challenges for integration. In contrast, dielectric thin films offer significant advantages, including easy integration, low cost, high tuning speed, low power consumption, compact size, and continuous tunability, making them more compatible with modern integrated circuit fabrication processes. Currently, a key prerequisite for designing devices based on dielectric thin films is the use of low-permittivity, low-loss substrates to mitigate their influence on the overall dielectric performance, while enhancing the crystalline quality of the films themselves. However, suitable substrates for epitaxial growth, such as MgO and Si, exhibit a significant lattice mismatch (>5%) with dielectric thin films. This poses a substantial challenge to achieving high-quality epitaxial growth, making it difficult to obtain dielectric thin films with both high tunability and low loss.To address this challenge, pulsed laser deposition (PLD) is used to provide high-energy, non-equilibrium growth conditions. By precisely controlling parameters such as substrate temperature and growth oxygen pressure, a suitable growth window that induce domain matching epitaxy (DME) mechanism can be determined, effectively adapting to mismatched strain, and thus successfully preparing high-performance Ba0.6Sr0.4TiO3 (BSTO) epitaxial thin films on MgO(001) substrates.To investigate the effect of substrate temperature on the properties of the BSTO thin films, a series of films is prepared on MgO(001) substrates at temperatures of 680 ℃, 700 ℃, 730 ℃, 760 ℃ and 780 ℃, while other growth conditions are kept constant. The study reveals that as the substrate temperature increases, the crystallinity, tunability, and figure of merit (FOM) of the films are significantly improved. The film grown at 780 ℃ shows a high tunability value of 67.2%, a quality (Q) factor of 49, and an FOM of 32.93. Compared with previously reported films, the Ba0.6Sr0.4TiO3 thin films prepared in this work demonstrate superior dielectric tunability and lower dielectric loss.To explore the thermal stability of the Ba0.6Sr0.4TiO3 thin film, its performance is characterized using Raman spectroscopy and Capacitance-Voltage measurements in a temperature range from 25 ℃ to 225 ℃. Raman spectra indicate that the lattice vibrational modes of the Ba0.6Sr0.4TiO3 film change with the increase of temperature. When temperature is in a range between 175 ℃ and 225 ℃, the film will completely transform from the tetragonal phase to the Raman-inactive cubic phase. At the same time, the nonlinear “butterfly” characteristic of the C-V curves vanishes due to the disappearance of ferroelectric domains. The dielectric constant and tunability reach their maximum values at approximately 60 ℃, then decrease, whereas the Q-factor reaches its peak at around 205 ℃. The motion of domain walls in films is constrained not only by internal stress fields and defects but also by strong pinning effects at the film-substrate interface and the free surface of the film.This research systematically analyzes the influences of surface morphology, crystal structure, and temperature on the dielectric properties of Ba0.6Sr0.4TiO3 epitaxial thin films. It lays a foundation for elucidating the broadband structure-property relationships of Ba1–xSrxTiO3 thin films and highlights their significant potential applications in tunable microwave devices.