-
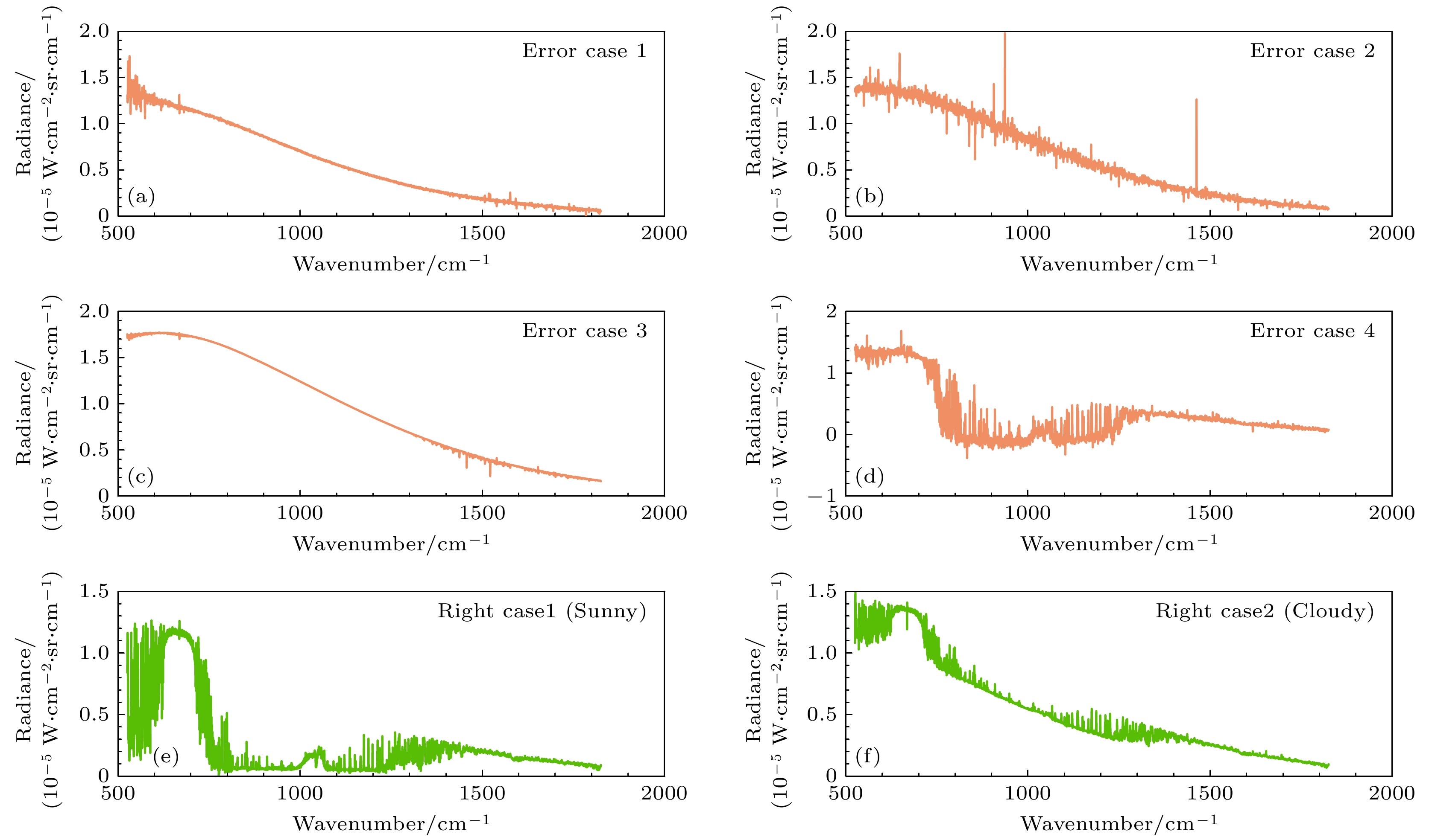
Clouds exert a significant influence on infrared radiation, making cloud detection a crucial step in the application of infrared hyperspectral data. In particular, water vapor interference and the limited accuracy in high-cloud identification constitute two key challenges for ground-based infrared hyperspectral cloud detection. Traditional threshold-based cloud detection methods are difficult to adapt to different locations and dynamically changing atmospheric conditions,while machine learning methods can achieve cloud detection with higher accuracy, greater robustness, and improved automation. Building on the advantages of machine learning, observational data from the atmospheric sounder spectrometer by infrared spectral technology (ASSIST), collected at Lijiang (Yunnan), Motuo (Xizang Autonomous Region), and Ritu (Xizang Autonomous Region) in China, are used to analyze the spectral differences between sunny and cloudy conditions in this study. Based on these differences, a spectral feature enhancement-driven machine learning method for cloud detection is proposed. Finally, by incorporating synchronous observations from lidar, meteorological stations, and all-sky imagers, the proposed method is systematically evaluated under different relative humidity (RH) and cloud base height (CBH) conditions. The experimental results show that the consistency between the results obtained by the proposed method and lidar-based detection is as high as 97.61%. Under different RH conditions, the proposed method outperforms the method based on original spectral features. Notably, when ${\text{RH}} > 70{\text{%}} $, the accuracy of clear-sky spectral identification improves significantly: increasing from 86.01% to 91.89%. Similarly, under different CBH conditions, the proposed method also exhibits superior performance compared with the method in which original spectral features are used. In particular, the accuracy improvements are especially notable when identifying mid-level clouds with ${\text{3 km}} < {\text{CBH}} \leqslant 5{\text{ km}}$, as well as high-level clouds with ${\text{CBH}} > 5{\text{ km}}$. When ${\text{3 km}} < {\text{CBH}} \leqslant 5{\text{ km}}$, the accuracy increases from 95.45% to 98.64% and when ${\text{CBH}} > 5{\text{ km}}$, the accuracy improves from 87.5% to 91.67%. The proposed method significantly enhances the automation and accuracy of cloud detection, thereby providing higher-quality fundamental datasets for supporting subsequent applications such as radiative transfer simulation, remote sensing parameter retrieval, and data assimilation in numerical weather prediction (NWP) models.
-
Keywords:
- ground-based infrared hyperspectroscopy /
- remote sensing /
- machine learning /
- cloud detection
[1] [2] [3] [4] [5] [6] [7] [8] [9] [10] [11] [12] [13] [14] [15] [16] [17] [18] [19] [20] [21] [22] [23] [24] [25] [26] [27] [28] [29] [30] -
地点 晴空样本 多云样本 海拔/km 观测时间 丽江高美古
天文台3357 2826 3.23 2024.03.20—
2024.05.04墨脱气象
观测站1584 3641 0.76 2024.11.29—
2024.12.19
2025.03.15—
2025.03.28日土阿里荒漠环
境综合观测站4052 1543 4.23 2025.05.27—
2025.06.15总计 8993 8010 编号 特征 1 740—760 cm–1波段辐亮度的斜率 2 740—760 cm–1波段辐亮度的截距 3 780—920 cm–1波段辐亮度的斜率 4 780—920 cm–1波段辐亮度的截距 5 1000—1040 cm–1波段辐亮度斜率 6 1000—1040 cm–1波段辐亮度截距 7 1050—1070 cm–1波段辐亮度斜率 8 784.6 cm–1通道辐射与781.7—782.6 cm–1
波段平均辐射之间的比率9 791.8 cm–1通道辐射与789.4—790.4 cm–1
波段平均辐射之间的比率10 1175 cm–1和1170 cm–1通道辐射之间的比率 11 1187 cm–1和1184 cm–1通道辐射之间的比率 12 1198 cm–1和1195 cm–1通道辐射之间的比率 13 925.8524 cm–1通道辐亮度 14 948.9987 cm–1通道辐亮度 15 951.892 cm–1通道辐亮度 16 962.5007 cm–1通道辐亮度 17 925.8524 cm–1 和 925.3702 cm–1 通道辐射之间的比率 18 948.9987 cm–1 和948.5165 cm–1通道辐射之间的比率 19 951.892 cm–1和951.4098 cm–1通道辐射之间的比率 20 962.5007 cm–1和962.0185 cm–1通道辐射之间的比率 数据集 晴天样本数 多云样本数 总计 训练集(70%) 6290 5604 11894 测试集(30%) 2703 2406 5109 激光雷达探测 有云 晴空 云检测算法
(ASSIST)有云 TP
(True positive)FP
(False positive)晴空 FN
(False negative)TN
(True negative)特征个数 PC/% TPR/% TNR/% 1 95.01 90.90 98.67 2 95.49 93.81 97.37 3 92.88 95.84 90.23 4 94.85 96.97 92.97 5 95.56 97.26 94.04 6 85.71 97.17 75.51 7 79.43 97.22 63.60 8 86.36 97.63 76.32 9 76.59 97.67 57.82 10 76.57 97.67 57.79 11 78.74 97.88 61.71 12 81.64 98.09 67.00 特征个数 PC/% TPR/% TNR/% 1 95.30 91.98 98.26 2 94.73 94.43 95.01 3 94.72 94.43 94.97 4 96.50 94.72 98.08 5 96.24 94.80 97.52 6 96.20 96.30 96.12 7 96.46 96.76 96.19 8 96.54 97.09 96.04 9 96.56 98.09 95.19 10 97.61 98.21 97.08 11 82.60 97.38 69.44 12 95.13 97.76 92.79 13 96.81 97.42 96.26 14 96.81 97.42 96.26 15 96.59 97.42 95.86 16 88.88 97.96 80.80 17 88.49 97.88 80.13 18 80.86 98.21 65.41 19 91.41 97.76 85.76 20 91.41 97.80 85.72 不同水汽 测试集
晴空样本测试集
多云样本总计 ${\text{RH}} \leqslant 30{\text{%}} $ 1883 1060 2943(57.6%) $30{\text{%}} < {\text{RH}} \leqslant 50{\text{%}} $ 250 79 329(6.4%) $50{\text{%}} < {\text{RH}} \leqslant 70{\text{%}} $ 327 158 485(9.5%) ${\text{RH}} > 70{\text{%}} $ 243 1109 1352(26.5%) 不同RH 方法 PC/% TPR/% TNR/% FPR/% FNR/% ${\text{RH}} \leqslant 30{\text{%}} $ 原始方法 94.33 94.53 94.21 5.79 5.47 新方法 97.93 96.89 98.51 1.49 3.11 $30{\text{%}} < {\text{RH}} \leqslant 50{\text{%}} $ 原始方法 94.53 93.67 94.80 5.20 6.33 新方法 96.66 94.94 97.20 2.80 5.06 $50{\text{%}} {\text{ < RH}} \leqslant 70{\text{%}} $ 原始方法 98.76 99.37 98.47 1.53 0.63 新方法 99.58 99.40 100.00 0 0.60 ${\text{RH}} > 70{\text{%}} $ 原始方法 97.34 99.82 86.01 13.99 0.18 新方法 98.82 99.83 91.89 8.11 0.17 不同CBH 测试集多云样本 ${\text{CBH}} \leqslant 1{\text{ km}}$ 1196(49.69%) $1{\text{ km < CBH}} \leqslant {\text{3 km}}$ 494(20.52%) $3{\text{ km < CBH}} \leqslant 5{\text{ km}}$ 646(26.86%) ${\text{CBH}} > 5{\text{ km}}$ 70(2.93%) 不同CBH 方法 PC/% TPR/% FNR/% ${\text{CBH}} \leqslant 1{\text{ km}}$ 原始方法 98.53 98.53 1.47 新方法 99.26 99.26 0.74 $ 1{\text{ km}} < {\text{CBH}} \leqslant 3{\text{ km}} $ 原始方法 96.43 96.43 3.57 新方法 97.62 97.62 2.38 ${\text{3 km}} < {\text{CBH}} \leqslant 5{\text{ km}}$ 原始方法 95.45 95.45 4.55 新方法 98.64 98.64 1.36 ${\text{CBH}} > 5{\text{ km}}$ 原始方法 87.50 87.50 12.5 新方法 91.67 91.67 8.33 -
[1] [2] [3] [4] [5] [6] [7] [8] [9] [10] [11] [12] [13] [14] [15] [16] [17] [18] [19] [20] [21] [22] [23] [24] [25] [26] [27] [28] [29] [30]
Catalog
Metrics
- Abstract views: 1569
- PDF Downloads: 25
- Cited By: 0









DownLoad: