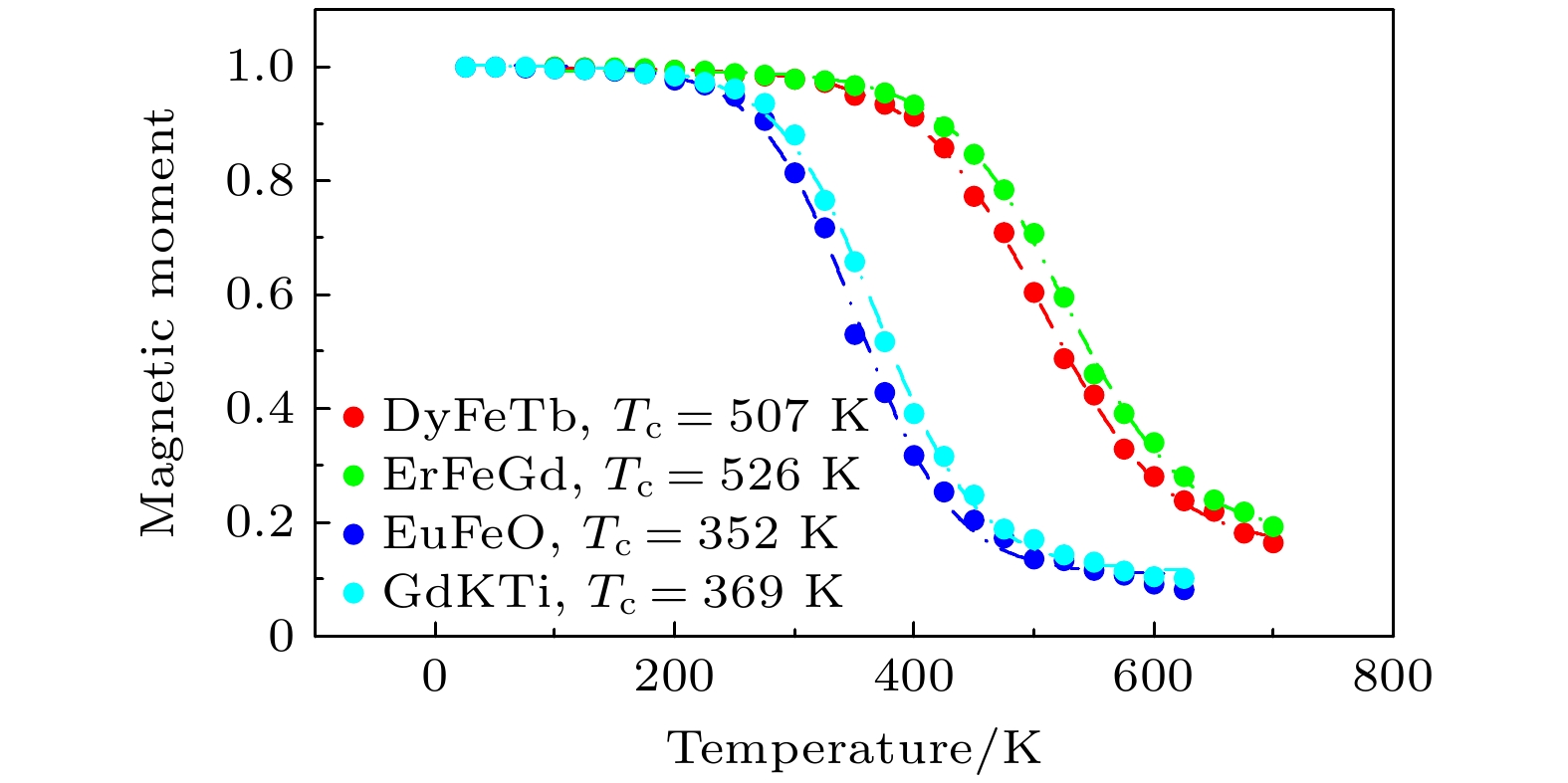
Magnetic skyrmions, characterized by their topological properties, serve as core components for developing next-generation non-volatile memory devices that demand high density, high speed, and low power consumption. Two-dimensional Janus magnetic materials inherently break spatial inversion symmetry, and easily generate strong DMI, providing an ideal platform for skyrmion generation and novel racetrack memory applications. Identifying high Curie temperature (Tc) materials is essential for ensuring magnetic stability and high-temperature application viability. This study integrates literature and open-source databases to construct a dataset of 16880 ABC-type two-dimensional materials. By utilizing stoichiometric ratios, intrinsic elemental properties, and electronic structure features as descriptors, four machine learning models, i.e. random forest (RF), gradient boosting decision tree (GBDT), extreme gradient boosting (XGBoost), and extra trees (ET) are employed for Tc prediction. Model performance is evaluated via ten-fold cross-validation, revealing that the XGBoost model exhibits superior prediction accuracy and generalization capability. Leveraging this model, Tc is predicted for 4024 unexplored two-dimensional Janus materials. This screening identifies 54 promising candidates possessing thermal stability, high magnetic moment, and a Tc exceeding 300 K. To verify reliability, four candidate systems (EuFeO, GdKTi, DyFeTb, ErFeGd) are randomly chosen for theoretical validation by using first-principles calculations combined with the Heisenberg model. For systems exhibiting strong correlation effects (containing d-orbital electrons), the Hubbard U parameter is included to describe on-site Coulomb repulsion. Exchange coupling constants are derived using the VASP software package. Subsequently, Tc values are calculated via classical Monte Carlo simulations performed using the MCSOLVER program. The research results show that the mean absolute error (MAE) of the predicted Tc is in good agreement with the model calculations for EuFeO and GdKTi, while larger deviations are observed for DyFeTb and ErFeGd. Nevertheless, the calculated Tc values for all four candidates exceed room temperature. This work establishes a new computational framework for the efficient screening of high-performance two-dimensional Janus magnetic materials, contributing to the advancement of magnetic storage technologies.