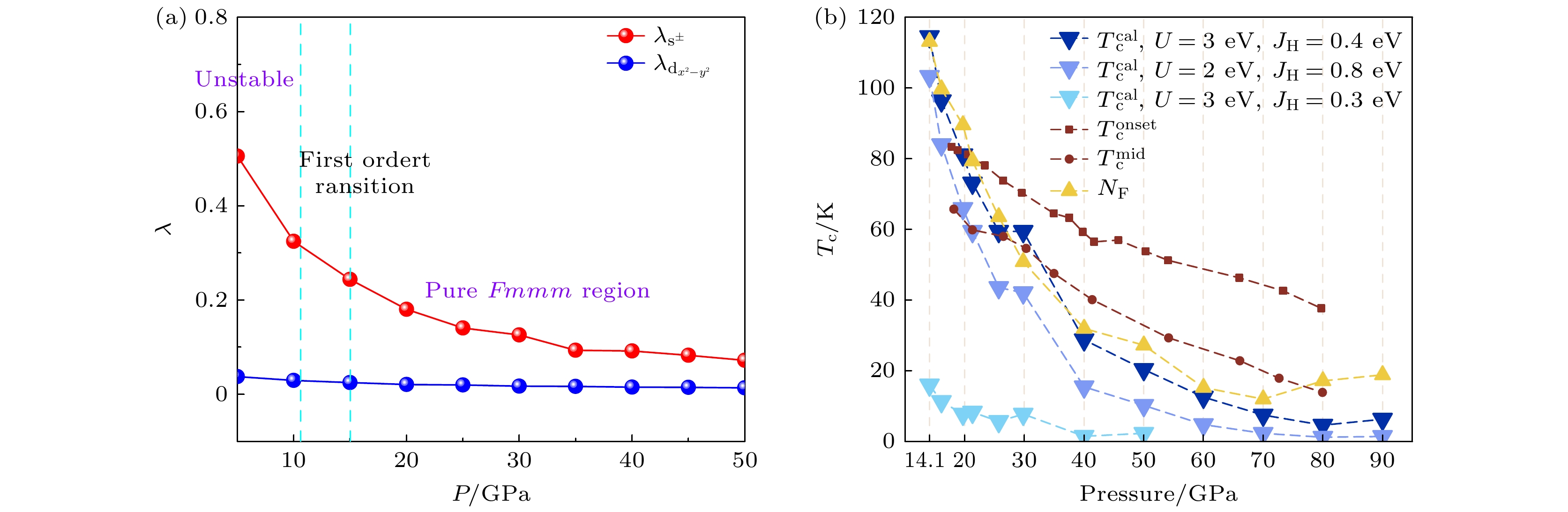
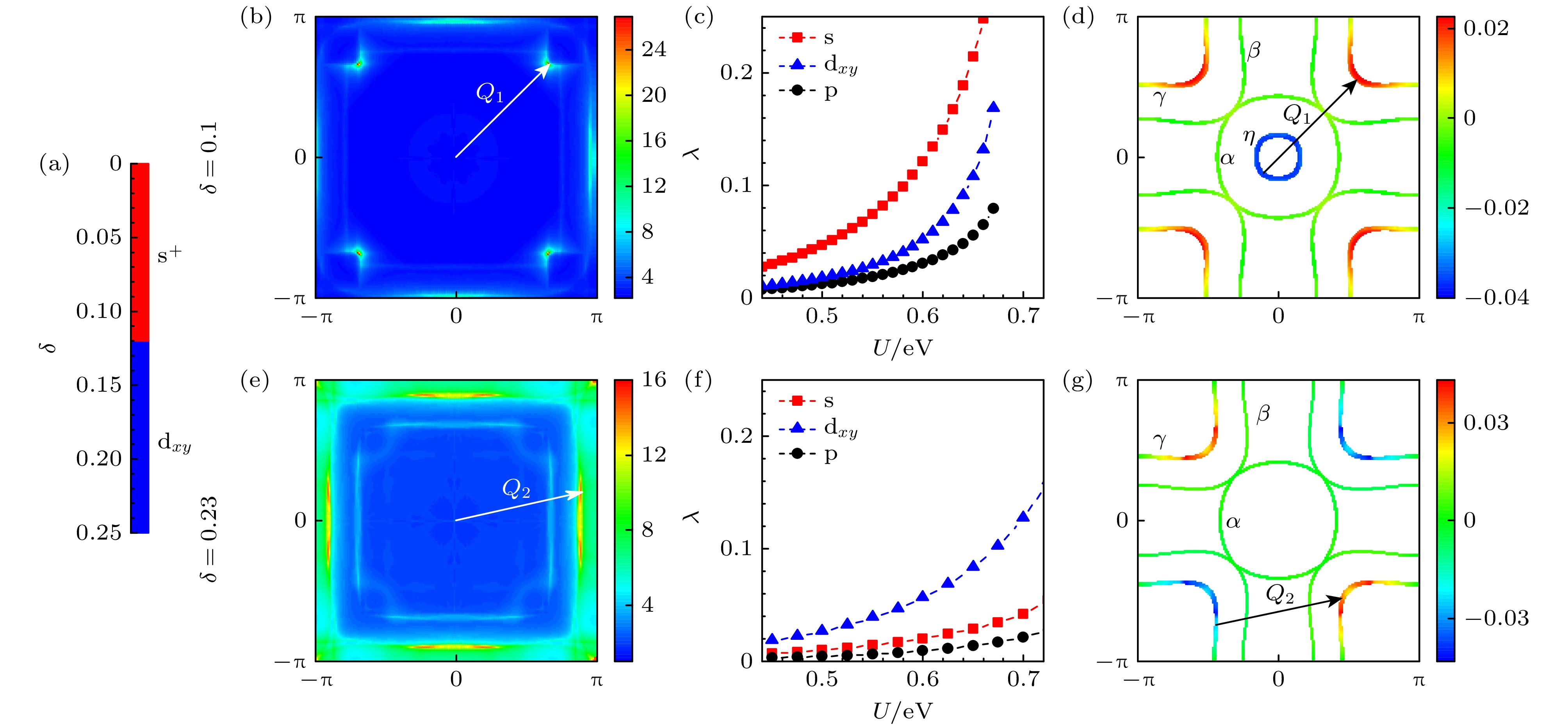
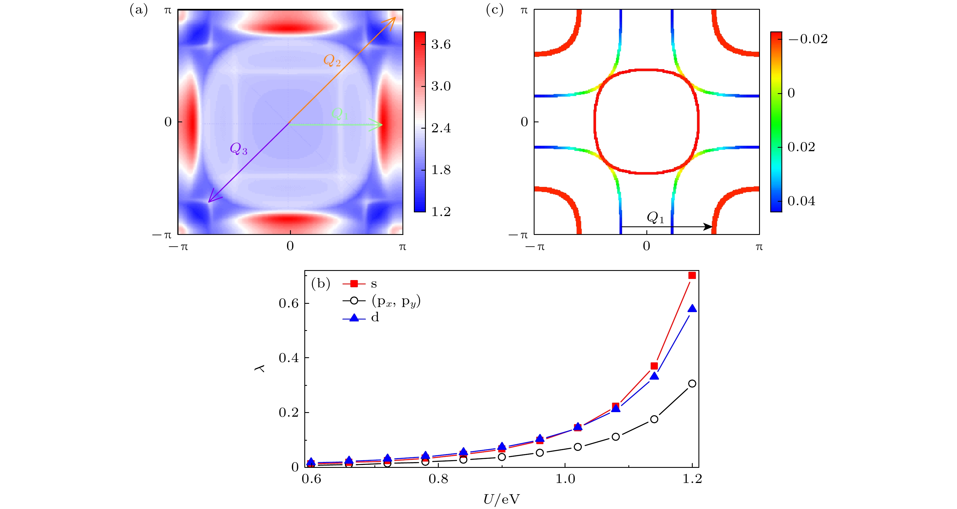
The discovery of superconductivity in Ruddlesden-Popper (RP) phase layered nickelates under high pressure has opened a new avenue for exploring nontraditional pairing mechanisms beyond cuprates and iron-based superconductors. In particular, La3Ni2O7 exhibits a superconducting transition temperature ($ T_{\rm c} $) as high as 80 K at ~15 GPa, making it the second class of oxides that achieve liquid-nitrogen temperature superconductivity. Subsequent experiments have extended superconductivity to related compounds such as La4Ni3O10 and La5Ni3O11, as well as epitaxially grown thin films at ambient pressure. These findings have motivated extensive theoretical efforts to elucidate the microscopic pairing mechanism.This review summarizes recent progress from the perspective of weak-coupling theories, including random phase approximation (RPA), functional renormalization group (FRG), and fluctuation-exchange (FLEX) approaches. Density functional theory (DFT) calculations reveal that the low-energy degrees of freedom are dominated by Ni $ 3{\rm d}_{z^2} $ and $ 3{\rm d}_{x^2-y^2} $ orbitals. In La3Ni2O7, pressure-induced metallization of the bonding $ 3{\rm d}_{z^2} $ band produces the γ pocket, enhancing spin fluctuations, and stabilizing superconductivity. These fluctuations support superconductivity through interlayer $ 3{\rm d}_{z^2} $ pairing characterized by an $ \rm s^{\pm} $ gap. Hole doping or substitution may restore the γ pocket and achieve bulk superconductivity at ambient pressure.For La4Ni3O10, theoretical calculations indicate predominantly $ \rm s^{\pm} $ pairing from interlayer $ 3{\rm d}_{z^2} $ orbitals, with weaker strength than La3Ni2O7, explaining its lower $ T_{\rm c} $ and showing little sensitivity to band structure. In La5Ni3O11, composed of alternating single-layer and bilayer units, superconductivity mainly arises from the bilayer subsystem, again dominated by $ 3{\rm d}_{z^2} $ orbitals. Interestingly, the interplay between inter-bilayer Josephson coupling and the suppression of density of states leads to a dome-shaped $ T_{\rm c} $-pressure phase diagram, differing from the monotonic behavior of La3Ni2O7.Epitaxial (La, Pr)3Ni2O7 thin films display superconductivity above 40 K at ambient pressure. Theory predicts doping-dependent pairing: $ \rm s^{\pm} $ symmetry is favored at low doping levels, while dxy pairing emerges at higher doping, in agreement with experimental indications of both nodeless and nodal gap behaviors.In addition to superconductivity, the experiments reveal the spin-density-wave (SDW) sequence in bulk La3Ni2O7 and La4Ni3O10 at ambient pressure. Weak-coupling calculations confirm that these SDWs are driven by Fermi surface nesting and that their suppression under pressure gives rise to strong spin fluctuations which act as the glue for Cooper pairing. This highlights the intimate connection between the density-wave parent states and high-pressure superconductivity in nickelates.In summary, weak-coupling theories provide a unified framework for RP nickelates, highlighting the key roles of $ 3{\rm d}_{z^2} $ orbitals, interlayer pairing, and spin fluctuations. They suggest that pressure, doping, substitution, and epitaxial strain can optimize superconductivity and potentially achieve high-$ T_{\rm c} $ phases at ambient pressure. Key challenges remain in clarifying orbital competition, the SDW-superconductivity interplay, and strong-correlation effects, requiring close collaboration between advanced experiments and multi-orbital many-body theory.