The martensitic transformation between the high-temperature face-centered cubic (FCC) phase and the low-temperature body-centered cubic (BCC) phase in iron-based alloys has been studied for years, which plays a critical role in controlling microstructures and hence properties of the alloys. Generally, the BCC structure martensitic phase forms from the FCC parent phase, involving a collective motions of atoms over a distance less than the interatomic distance in the vicinity of the interphase boundary. Thus the structure of interphase boundary separating the FCC and BCC phases is the key characteristics to quantitatively understanding the mechanism and kinetics of martensitic transformation. Due to the difficulty in observing the atomic motions taking place at a velocity as high as the speed of sound, the experimental investigation on the migration of FCC/BCC interphase boundary during the transformation is as yet limited. Noteworthily, molecular dynamics (MD) simulation has been applied to studying the martensitic transformation, in particular for investigating the mobility of the FCC/BCC interphase boundary in iron. However, in most of the MD studies the atomistically planar interfaces of {111}
FCC// {110}
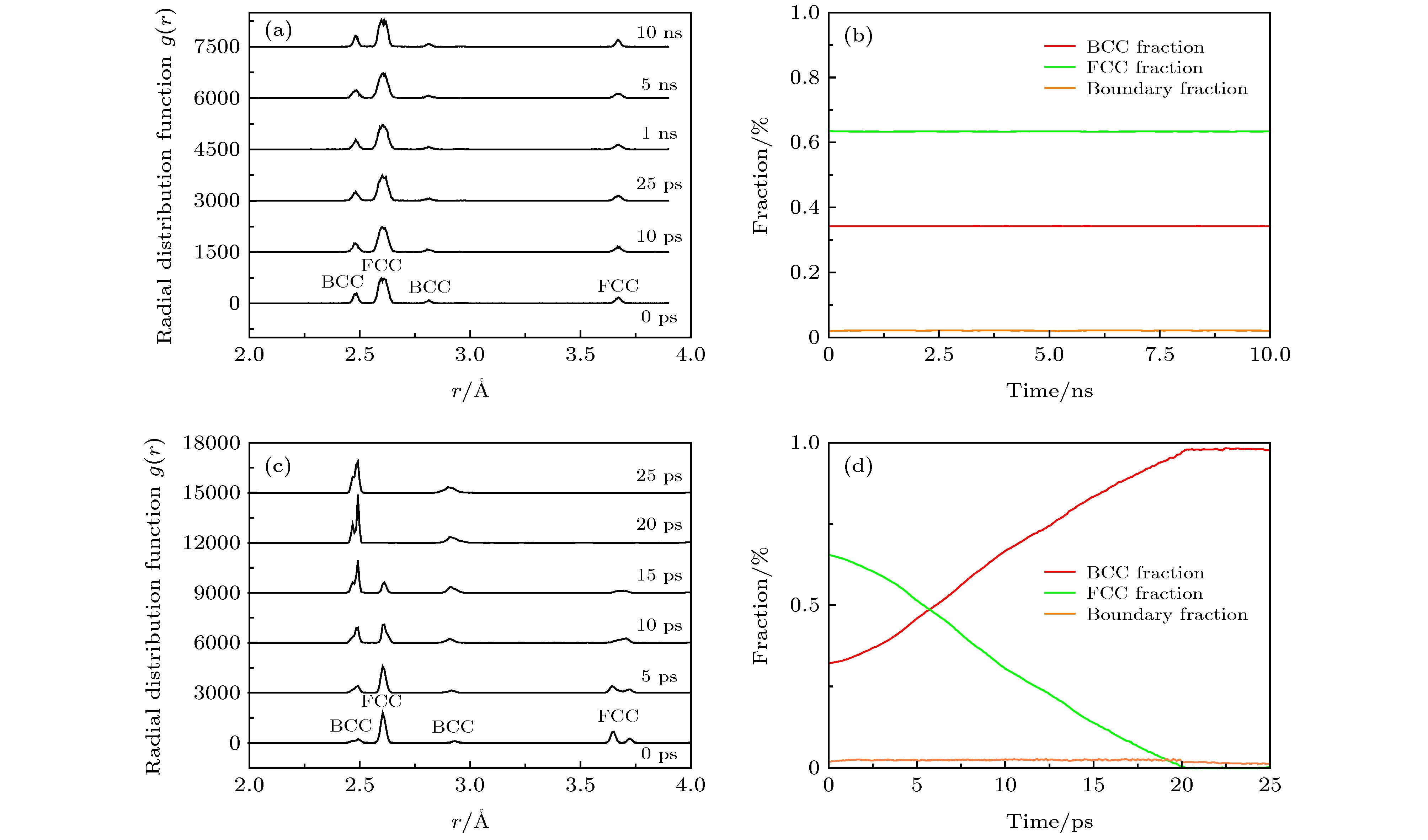
BCCare considered as the initial configuration of the interphase boundary between FCC and BCC phases, which is in contradiction to the high-resolution TEM observations. In fact, the FCC/BCC interphase boundary, which is known as the macroscopic habit plane, is a semi-coherent interface consisting of several steps and terrace planes on an atomic scale. In the present work, the atomic configuration of a terrace-step FCC/BCC interphase boundary of iron is built in terms of the topological model. The MD simulation is conducted to clarify the mechanism of interphase boundary migration in the FCC-to-BCC transformation. The results show that the FCC/BCC boundary migrates along its normal at the expense of FCC phase as a result of the lateral motions of the transformation dislocations. Meanwhile, the interphase boundary maintains the stable terrace-step structure during the transformation. Further examinations reveal that the transformation dislocations move steadily at a velocity as high as (2.8 ± 0.2) × 10
3m/s, affecting the migration of the interphase boundary with a constant velocity of about (4.4 ± 0.3) × 10
2m/s. The effective migration velocity of FCC/BCC interface exhibits dynamic properties consistent with the characteristic features commonly observed in a displacive martensitic transformation. Additionally, the motion of transformation dislocations gives rise to the macroscopic shape strain composed of a shear component
$ {\varGamma _{{\rm{yz}}}} = 0.349$
parallel to the boundary and a dilatation
$ {\varGamma _{{\rm{zz}}}} = 0.053$
normal to the boundary in the MD simulation, which is close to the crystallographic calculations by the topological model.