-
基于声子晶体拓扑特性构造的弹性波拓扑态在波调控方面具有背散射抑制和路径缺陷免疫等优异特性, 受到广泛关注. 本文设计了一种声子晶体板结构, 通过在初始元胞中引入具有一定旋转角度的三角形穿孔实现对称性破缺, 从而构造四重简并态. 与现有利用能带“区域折叠”进行构造的方法相比, 该方法简化了声子晶体的元胞构型. 元胞的主要变量为三角形穿孔围绕其中心旋转角度
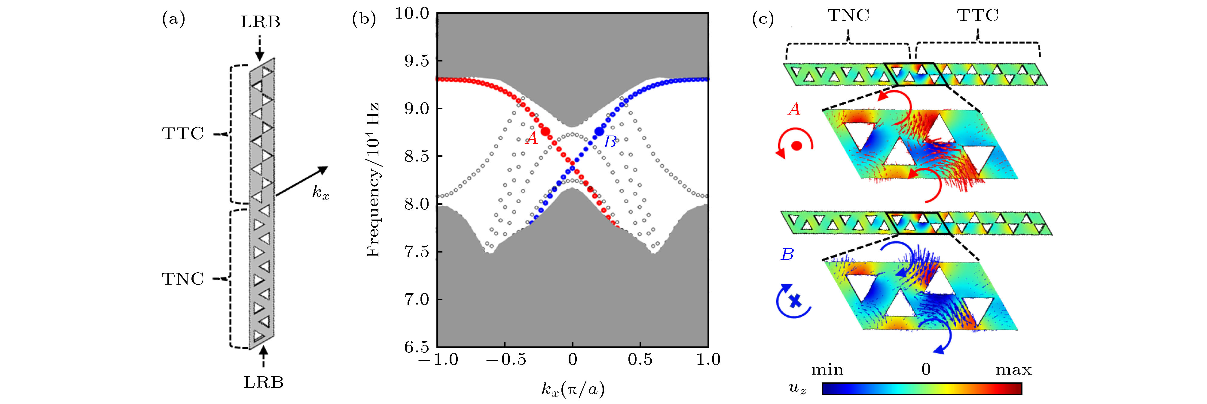
$\theta $ , 研究发现, 旋转角度$\theta =0^\circ $ 时, 元胞能带结构存在两个二重简并态, 调整旋转角度到$ \pm 33^\circ $ 时, 布里渊区中心 Γ点处出现四重简并态, 并发现旋转角度越过$ \pm 33^\circ $ 时均会发生能带反转, 这表明调整晶体结构参数$\theta $ 使得体系经历拓扑相变. 利用具有不同拓扑相的声子晶体组成超元胞, 并通过计算其投影能带, 发现能带结构中存在弹性波带隙以及不同赝自旋方向的两种边界态. 在此基础上, 构造多种不同类型的弹性声子晶体板, 验证了拓扑边界态对弹性波传播的强背散射抑制、缺陷免疫单向传播和多波导通道开关特性. 本文中所设计的弹性声子晶体板具有结构简单、特性易调的特点, 为利用拓扑态实现弹性波调控提供了一个可行方案.The topologically protected edge states of elastic waves in phononic crystal plates have the outstanding characteristics in wave manipulation such as the strong suppression of back-scattering and defect immunity, which can be used for controlling vibration and noise, detecting the structural damage, conducting the material nondestructive test and other engineering practices, and therefore have received much attention. But for plate structures, the propagation of elastic waves is complicated due to the coexistence and coupling of different types of wave modes, resulting in a challenge in designing topologically protected states. In this paper, a simple phononic crystal plate with triangular holes is designed for elastic wave manipulation based on topologically protected edge states. The band structure characteristics of the unit cell are studied by varying the rotation angle θof the triangular holes around their geometric centers from the initial positions. It is found that the band structure of the initial unit cell with rotation angle θ= 0° has two pairs of degenerate modes. At $ \theta = \pm 33^\circ $ , a double Dirac cone appears at the center Γpoint of the Brillouin zone without requiring the lattices to fold, and a band inversion occurs on both sides of$ \pm 33^\circ $ which can be characterized as a topological phase transition.The elastic band gap and two kinds of pseudospin states with clockwise or counterclockwise circulating mechanical energy flux patterns in the band structure are found by calculating the projected band structures of a supercell which is composed of phononic crystals with different topological phases. Based on this finding, different constructions of phononic waveguide are used for implementing the numerical analysis to demonstrate the back-scattering immunity of the edge states when disorder, tortuosity and cavity are introduced into the waveguide. Unidirectional robust propagation and multichannel waveguide switch due to the pseudospin-dependent one-way edge modes are also validated with numerical models. The phononic crystal plate presented in this paper provides a simple realizable method of designing the topologically protected elastic edge states. -
Keywords:
- topological phase transition/
- elastic wave-guide/
- elastic topological edge states/
- phononic crystals
[1] [2] [3] [4] [5] [6] [7] [8] [9] [10] [11] [12] [13] [14] [15] [16] [17] [18] [19] [20] [21] [22] [23] [24] [25] [26] [27] [28] [29] [30] [31] [32] [33] [34] [35] [36] [37] [38] [39] [40] [41] [42] -
[1] [2] [3] [4] [5] [6] [7] [8] [9] [10] [11] [12] [13] [14] [15] [16] [17] [18] [19] [20] [21] [22] [23] [24] [25] [26] [27] [28] [29] [30] [31] [32] [33] [34] [35] [36] [37] [38] [39] [40] [41] [42]
计量
- 文章访问数:9488
- PDF下载量:324
- 被引次数:0












下载:






