搜索

x

留言板

姓名
邮箱
手机号码
标题
留言内容
验证码

downloadPDF
引用本文:
Citation:

    张兴文, 何朝滔, 李秀林, 邱晓燕, 张耘, 陈鹏

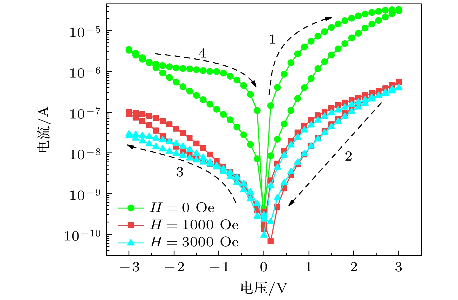
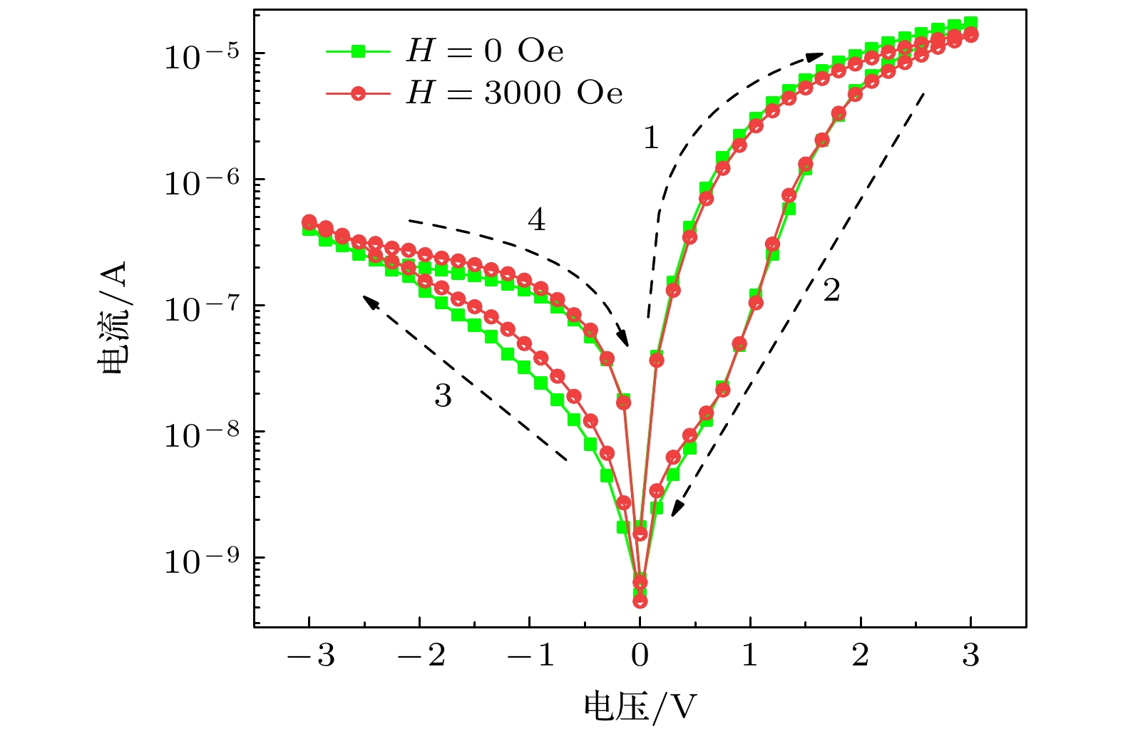
    Resistance switching effect regulated by magnetic field in Ni/ZnO/BiFeO3/ZnO multilayers

    Zhang Xing-Wen, He Chao-Tao, Li Xiu-Lin, Qiu Xiao-Yan, Zhang Yun, Chen Peng
    PDF
    HTML
    导出引用
    计量
    • 文章访问数:3301
    • PDF下载量:61
    • 被引次数:0
    出版历程
    • 收稿日期:2022-04-02
    • 修回日期:2022-05-18
    • 上网日期:2022-09-06
    • 刊出日期:2022-09-20

      返回文章
      返回