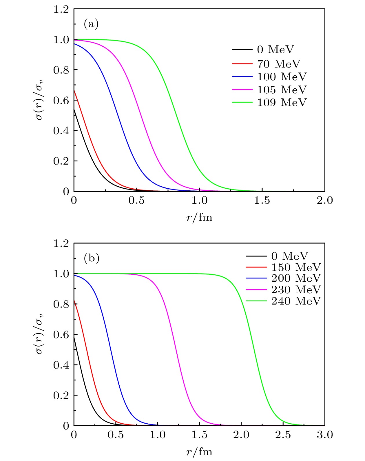
\begin{document}$ {T_{\text{c}}} $\end{document} = 119.8 MeV; 在T = 50 MeV时, 临界化学势\begin{document}$ {\mu _{\text{c}}} $\end{document}= 256.4 MeV. 在薄壁近似下, 通过液滴核合成唯象模型研究了均质气泡成核的强子夸克一级相变的动力学过程, 在适当的边界条件下, 求解场的运动方程, 计算不同温度和密度下气泡临界位形随半径的演化, 获得了表面张力、临界半径和核合成自由能等物理量随温度与夸克化学势密度的变化关系. 为了证明薄壁近似的可靠性和优势, 本文将薄壁近似的分析结果与相应的精确解进行了对比, 讨论了薄壁近似的适用条件, 以及薄壁近似的优缺点等问题. 虽然本文的计算结果是模型相关的, 但是一般性的研发方法和结论具有普适性, 所获得的结果对其他领域一级相变动力学研究有较大的参考价值和现实意义."> - 必威体育下载

搜索

x

留言板

姓名
邮箱
手机号码
标题
留言内容
验证码

downloadPDF
引用本文:
Citation:

    周淑英, 沈婉萍, 毛鸿

    Analytical solution of surface tension of quark-hadron phase transition

    Zhou Shu-Ying, Shen Wan-Ping, Mao Hong
    PDF
    HTML
    导出引用
    计量
    • 文章访问数:3073
    • PDF下载量:55
    • 被引次数:0
    出版历程
    • 收稿日期:2022-04-09
    • 修回日期:2022-07-16
    • 上网日期:2022-10-18
    • 刊出日期:2022-11-05

      返回文章
      返回