-
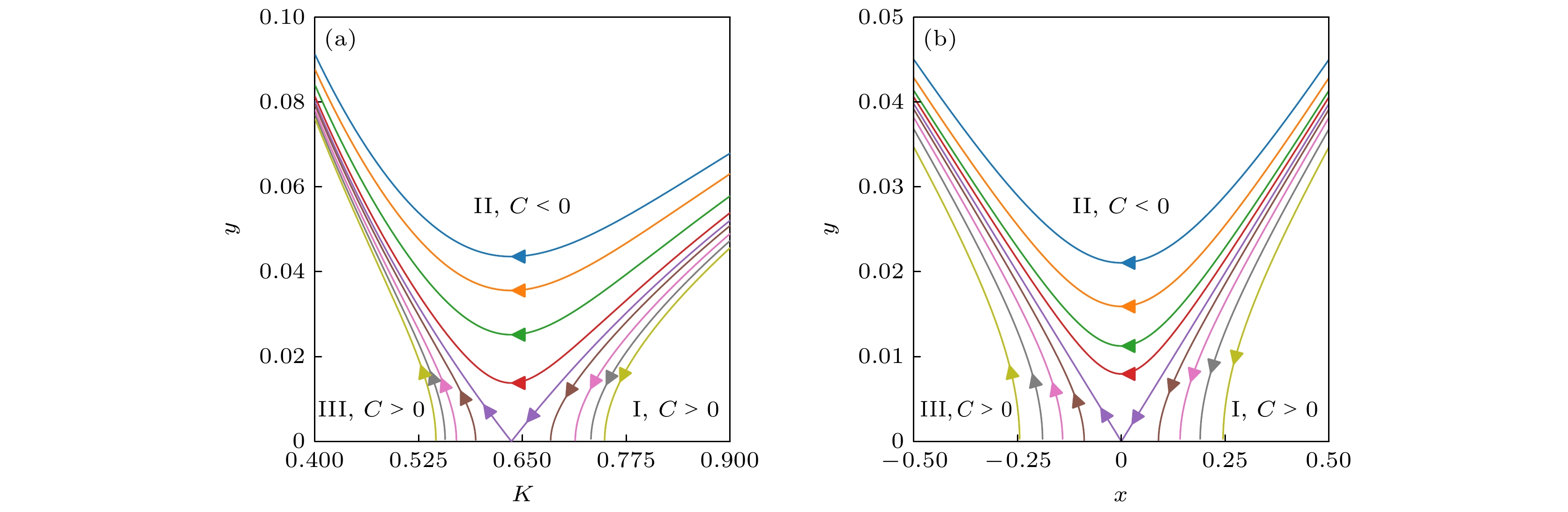
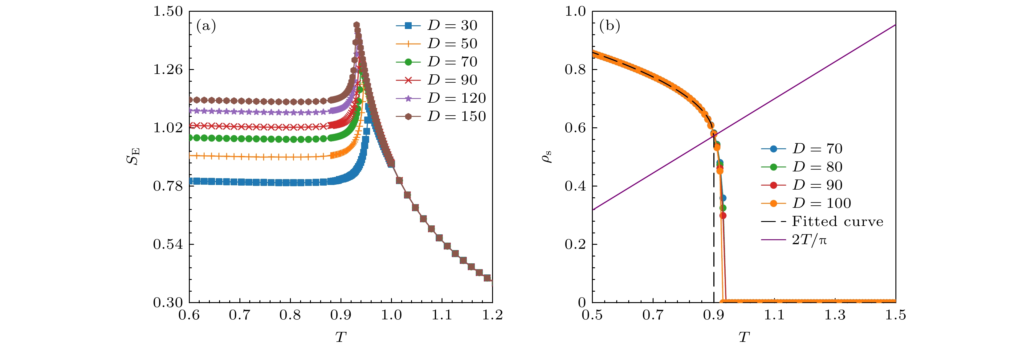
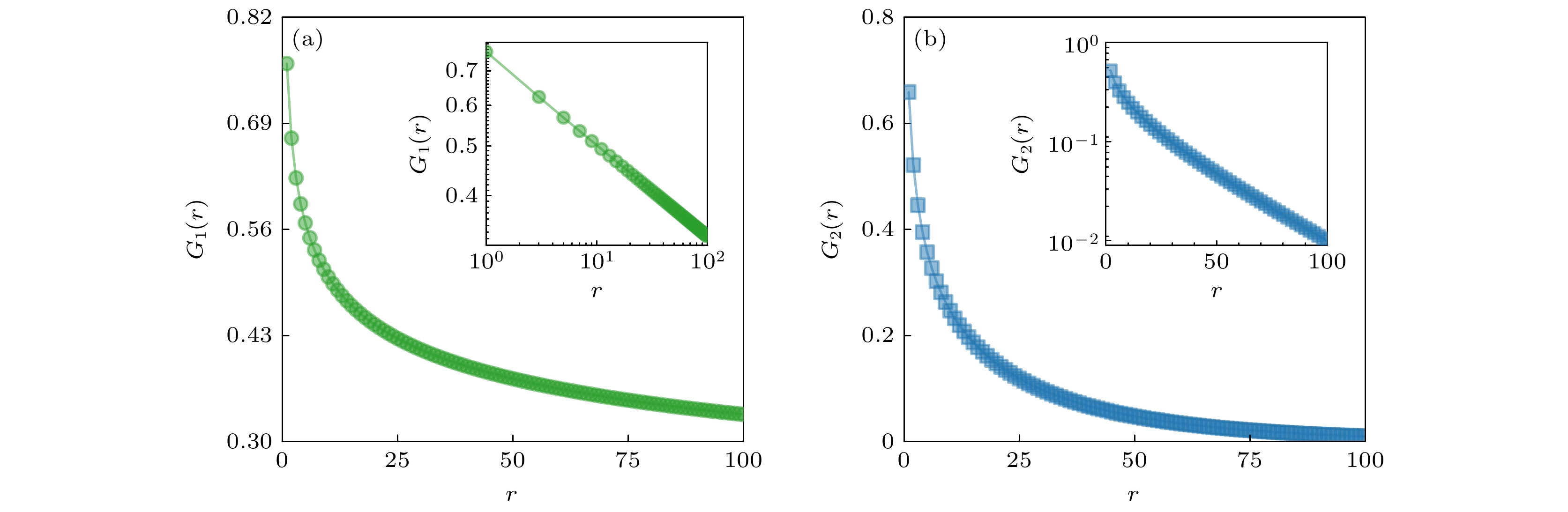
对热力学相及相变的认知构成了我们理解整个物质世界的物理基础, 从朗道对称破缺相变范式到拓扑激发驱动的热力学相变, 相变理论的研究发展在物质科学进步之路上树立起了一座座丰碑. 一个著名的例子就是Berezinskii-Kosterlitz-Thouless相变, 它是在从低温到高温的演变过程中, U(1)旋转对称性没有自发破缺情形下, 成对涡旋的解耦合所致. 近期, 人们利用张量网络表示理论和数值计算方法, 将统计模型的转移矩阵对应为一维量子模型. 再根据量子模型纠缠熵的奇异性, 在热力学极限下可以精确确定系统的相图, 并准确计算各种物理量, 该研究方法为研究具有连续对称性的二维系统的拓扑相变注入了新活力.The fundamental concepts of phases of matter and thermal phase transitions constitute the cornerstone of our understanding of the physical universe. The historical development of the phase transition theory from Landau’s spontaneous symmetry breaking paradigm to modern topological phase transition theories represents a major milestone in the evolution of numerous scientific disciplines. From the perspective of emergent philosophy, the interplay of topological excitations leads to enriched physical phenomena. One prominent prototype is the Berezinskii-Kosterlitz-Thouless (BKT) phase transition, where unbinding of integer vortices occurs in the absence of spontaneous breaking of continuous U(1) symmetry. Using the state-of-the-art tensor network methods, we express the partition function of the two-dimensional XY-related system in terms of a product of one-dimensional transfer operators. From the singularities of the entanglement entropy of the one-dimensional transfer operator, we accurately determine the complete phase diagram of the partition function. This method provides new insights into the emergent phenomenon driven by topological excitations, and sheds new light on future studies of 2D systems with continuous symmetries.
[1] [2] [3] [4] [5] [6] [7] [8] [9] [10] [11] [12] [13] [14] [15] [16] [17] [18] [19] [20] [21] [22] [23] [24] [25] [26] [27] [28] [29] [30] [31] [32] [33] [34] [35] [36] [37] [38] [39] [40] [41] [42] -
[1] [2] [3] [4] [5] [6] [7] [8] [9] [10] [11] [12] [13] [14] [15] [16] [17] [18] [19] [20] [21] [22] [23] [24] [25] [26] [27] [28] [29] [30] [31] [32] [33] [34] [35] [36] [37] [38] [39] [40] [41] [42]
计量
- 文章访问数:2690
- PDF下载量:111
- 被引次数:0












下载:












