-
非简谐效应是诸如软模相变、负热膨胀、多铁性和超低热导率等材料性质的根源. 已有的关于量化材料非简谐性的方法没有给出清晰准确的非简谐性描述符, 并且计算流程复杂, 需要极其耗时的分子动力学模拟. 故亟需提出一个可以快速计算的非简谐性描述符, 用来理解、评估、设计和筛选具有强非简谐性的功能材料. 本研究将晶格非谐性分解为单声子非谐性
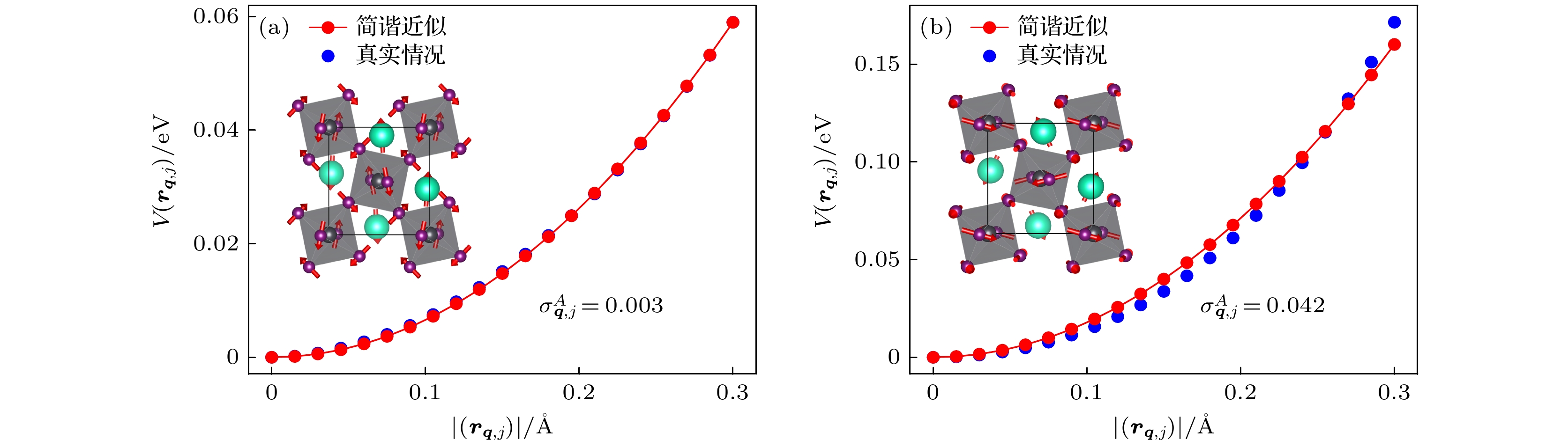
$ {\sigma }_{(\boldsymbol{q}, j)}^{A} $ , 并提出温度依赖的晶格非谐性的定量描述符$ {A}_{{\mathrm{p}}{\mathrm{h}}}\left(T\right) $ . 该描述符既可以定量描述从Si, GaAs, CdTe, NaCl到CsPbI 3的晶格非谐性的变化趋势, 又可以成功预测非简谐效应驱动的体积模量和晶格热导率性质的变化. 本工作提出的非简谐性描述符能够快速量化材料非简谐性, 并且可直观地展现材料非简谐效应的声子模态分布. 本方法计算简单、高效且有效, 可为基于非简谐性筛选与设计材料打下基础.Anharmonic effect is often one of the physical root causes of some special material properties, such as soft mode phase transition, negative thermal expansion, multiferroicity, and ultra-low thermal conductivity. However, the existing methods of quantifying the anharmonicity of material do not give a clear and accurate anharmonicity descriptor. The calculation of the anharmonic effect requires extremely time-consuming molecular dynamics simulation, the calculation process is complex and costly. Therefore, a quantitative descriptor is urgently needed, which can be used to implement quick calculation so as to understand, evaluate, design, and screen functional materials with strong anharmonicity. In this paper, we propose a method to quantify the anharmonicity of materials by only phonon spectrum and static self-consistent calculation through calculating and analyzing the material composed of germanium and its surrounding elements. In this method, the lattice anharmonicity is decomposed into the anharmonic contribution of independent phonon vibration modes, and the quantitative anharmonicity descriptor $ {\sigma }_{\boldsymbol{q},j}^{A} $ of phonons is proposed. Combining it with the Bose-Einstein distribution, the quantitative descriptor$ {A}_{{\mathrm{p}}{\mathrm{h}}}\left(T\right) $ of temperature-dependent material anharmonicity is proposed. We calculate the bulk moduli and lattice thermal conductivities at 300 K of nine widely representative materials. There is a clear linear trend between them and our proposed quantitative descriptor$ {A}_{{\mathrm{p}}{\mathrm{h}}}\left(T\right) $ , which verifies the accuracy of our proposed descriptor. The results show that the descriptor has the following functions. i) It can systematically and quantitatively classify materials as the strength of anharmonicity; ii) it intuitively shows the distribution of the anharmonic effect of the material on the phonon spectrum, and realizes the separate analysis of the phonon anharmonicity that affects the specific properties of the material; iii) it is cost-effective in first-principles molecular dynamics calculations and lays a foundation for screening and designing materials based on anharmonicity.This study provides an example for the high-throughput study of functional materials driven by anharmonic effect in the future, and opens up new possibilities for material design and application. In addition, for strongly anharmonic materials such as CsPbI 3, the equilibrium position of the atoms is not fixed at high temperatures, resulting in a decrease in the accuracy of quantifying anharmonicity using our proposed descriptor. In order to get rid of this limitation, our future research will focus on the distribution of atomic equilibrium positions in strongly anharmonic materials at high temperatures, so as to propose a more accurate theoretical method to quantify the anharmonicity in strongly anharmonic materials. -
Keywords:
- anharmonic effect/
- anharmonicity of phonon/
- lattice thermal conductivity/
- first-principles calculation
[1] [2] [3] [4] [5] [6] [7] [8] [9] [10] [11] [12] [13] [14] [15] [16] [17] [18] [19] [20] [21] [22] [23] [24] [25] [26] [27] [28] [29] [30] [31] [32] [33] [34] [35] [36] [37] [38] [39] [40] [41] [42] [43] [44] [45] [46] [47] [48] [49] [50] [51] [52] [53] [54] [55] [56] [57] [58] [59] -
[1] [2] [3] [4] [5] [6] [7] [8] [9] [10] [11] [12] [13] [14] [15] [16] [17] [18] [19] [20] [21] [22] [23] [24] [25] [26] [27] [28] [29] [30] [31] [32] [33] [34] [35] [36] [37] [38] [39] [40] [41] [42] [43] [44] [45] [46] [47] [48] [49] [50] [51] [52] [53] [54] [55] [56] [57] [58] [59]
计量
- 文章访问数:1719
- PDF下载量:98
- 被引次数:0














下载:


