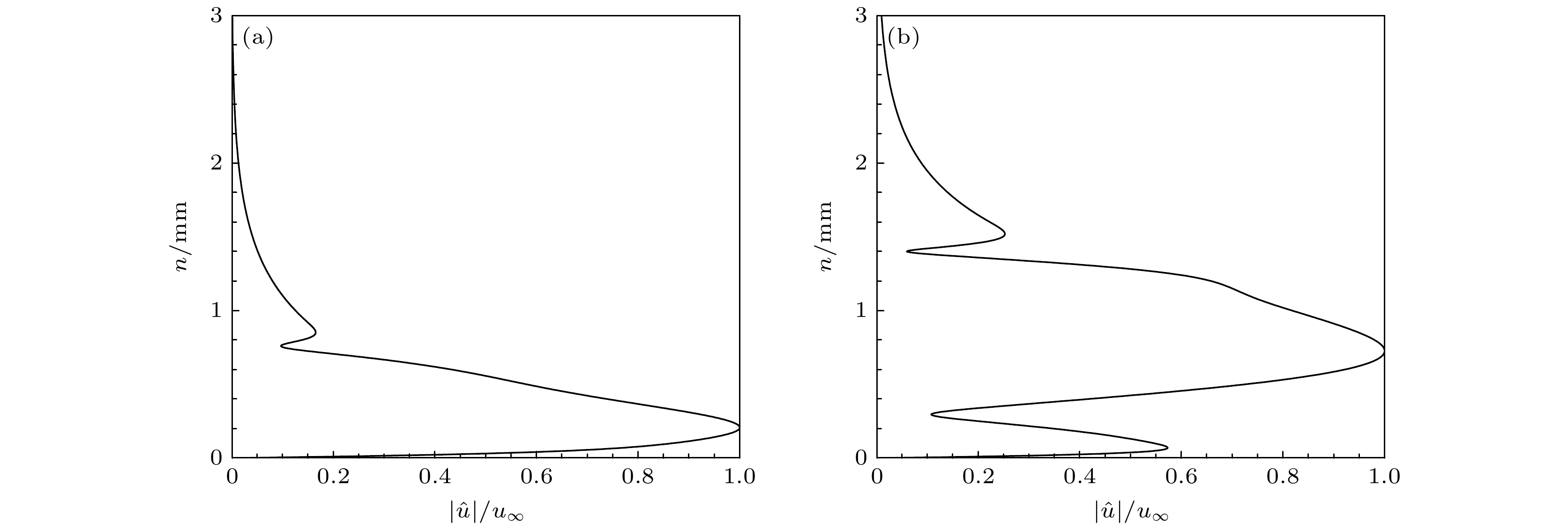
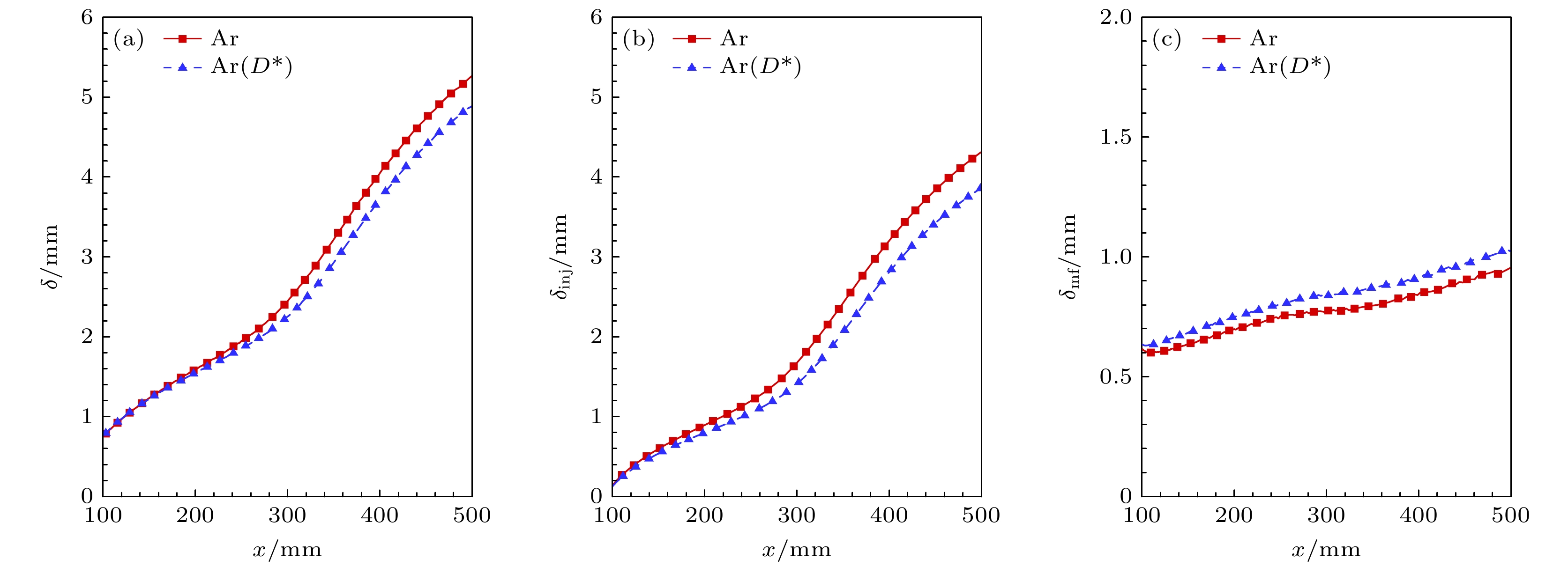
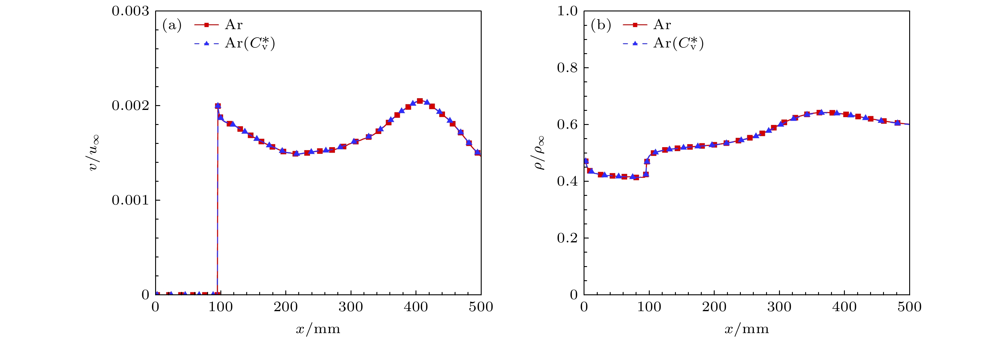
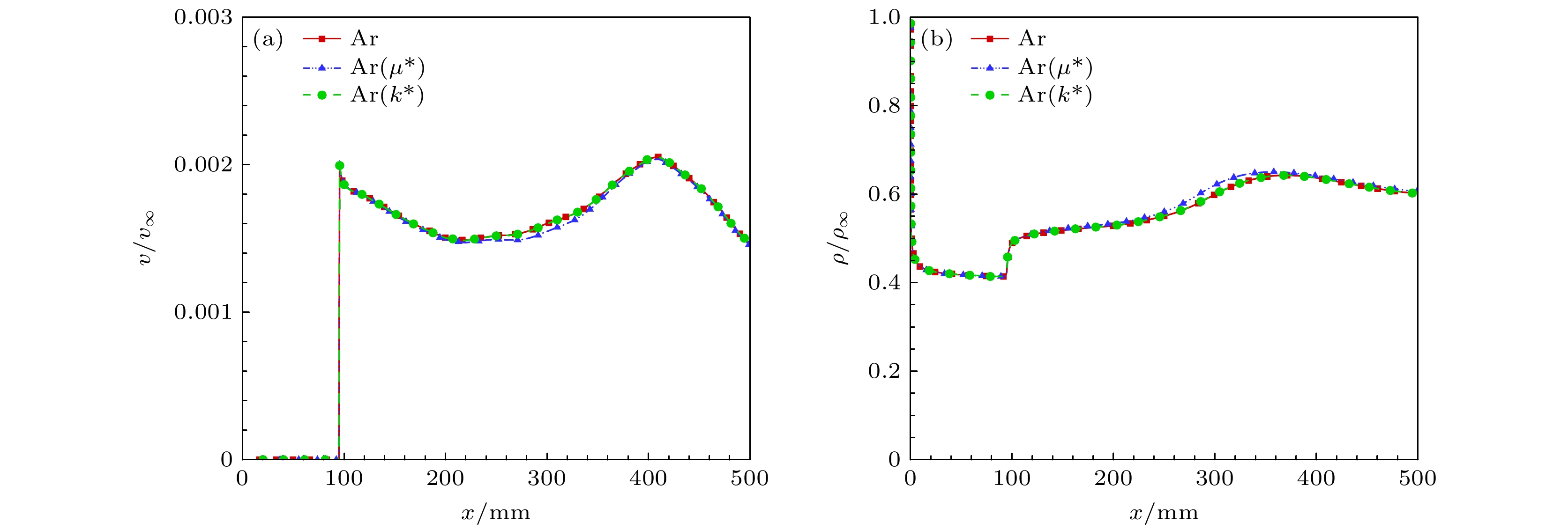
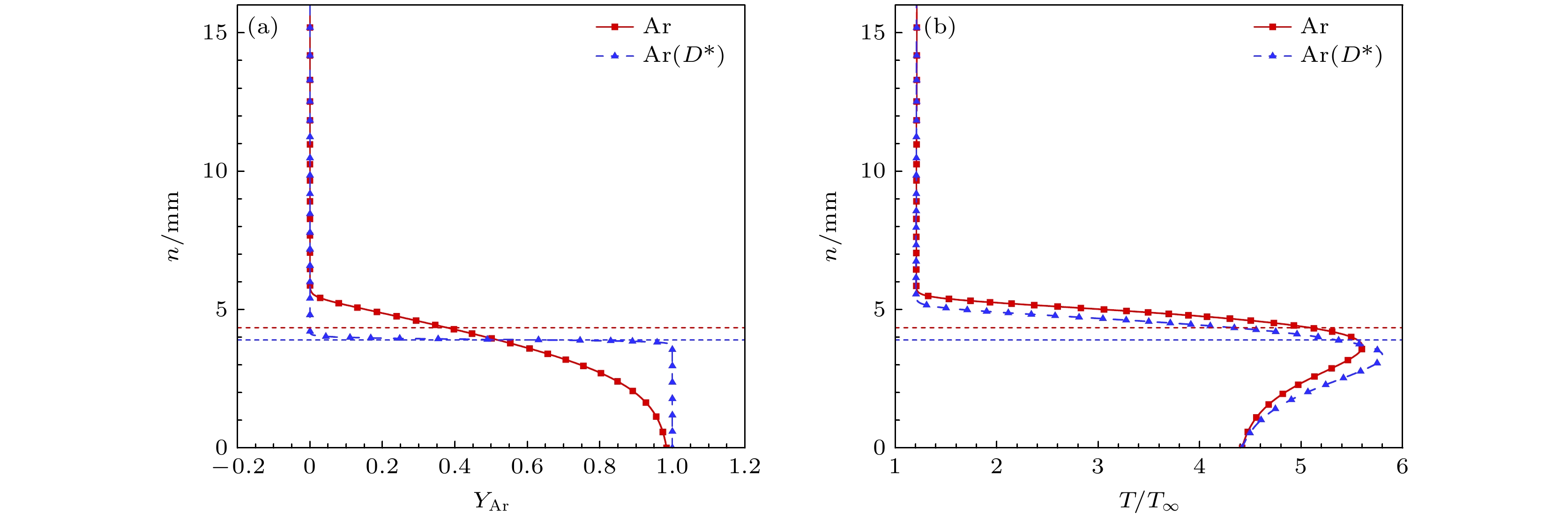
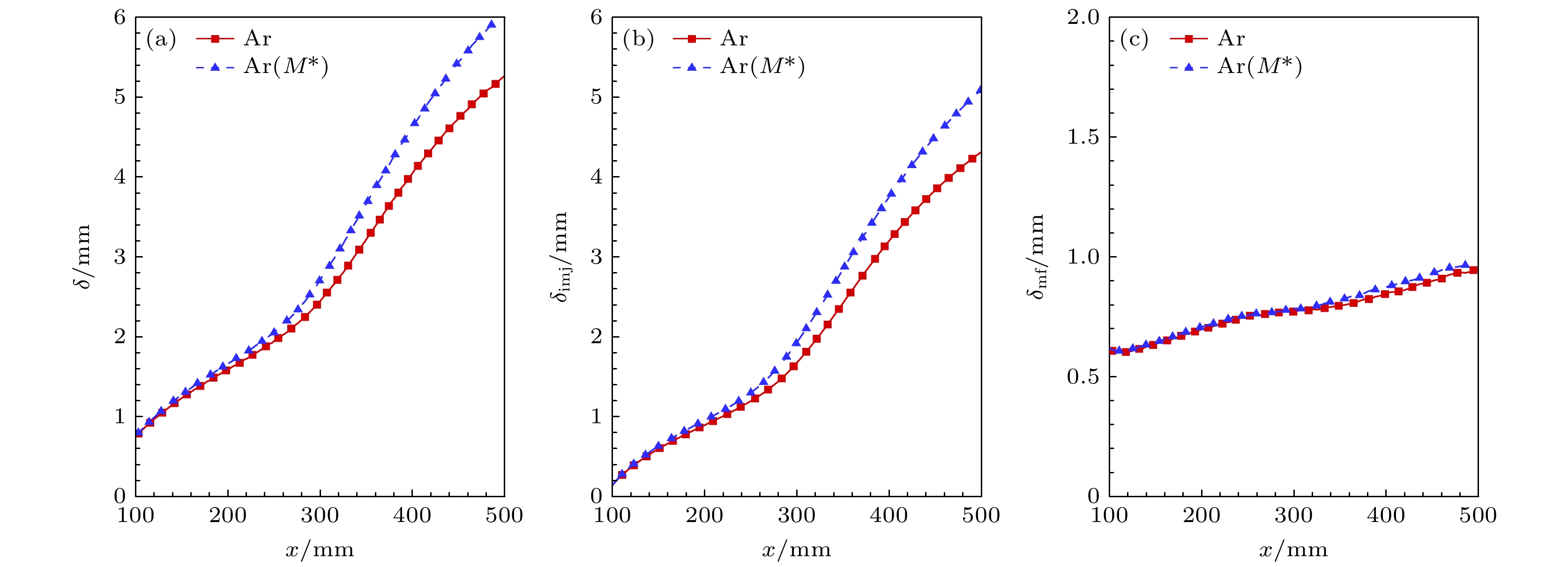
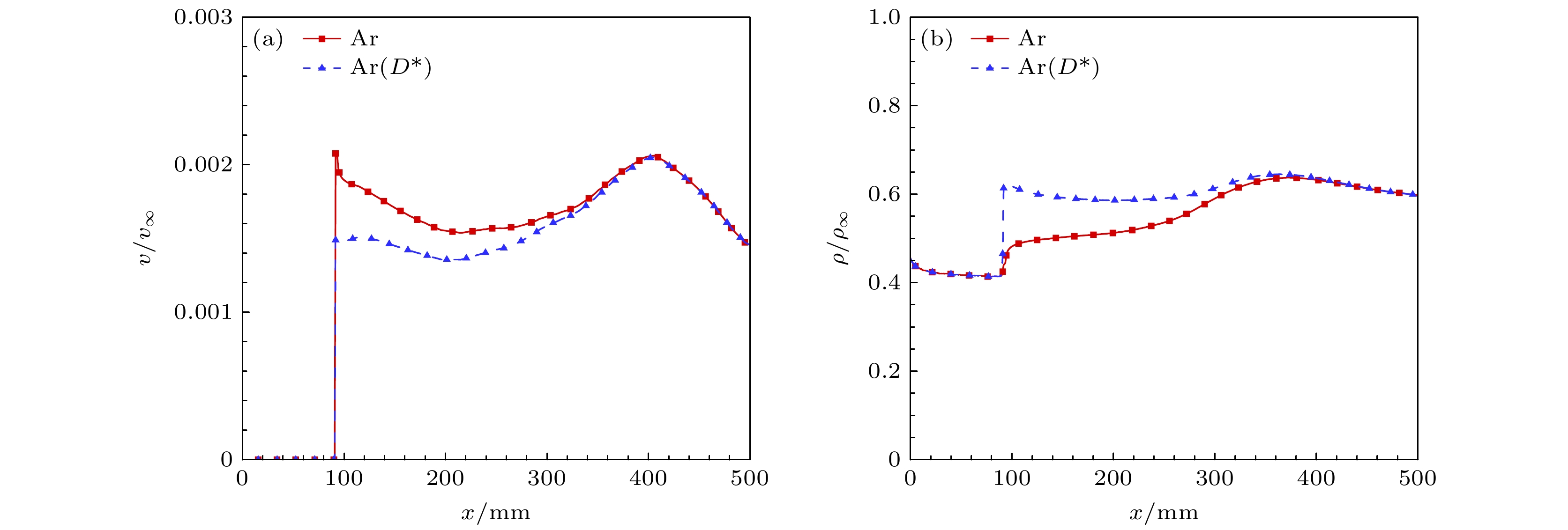
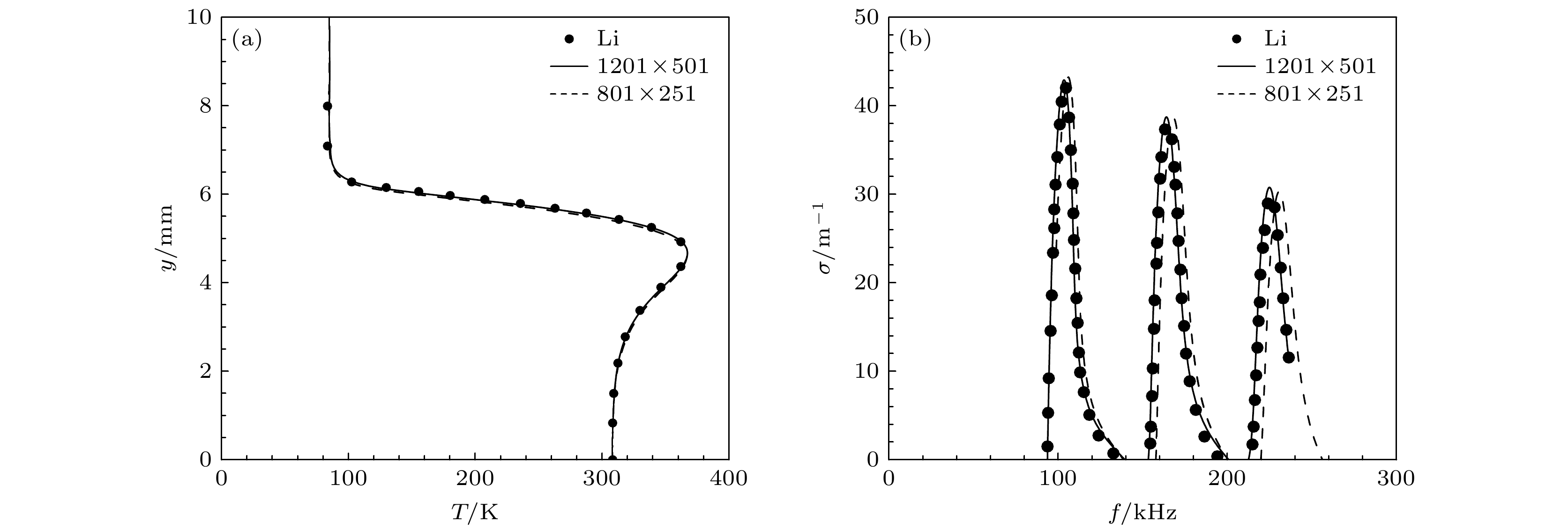
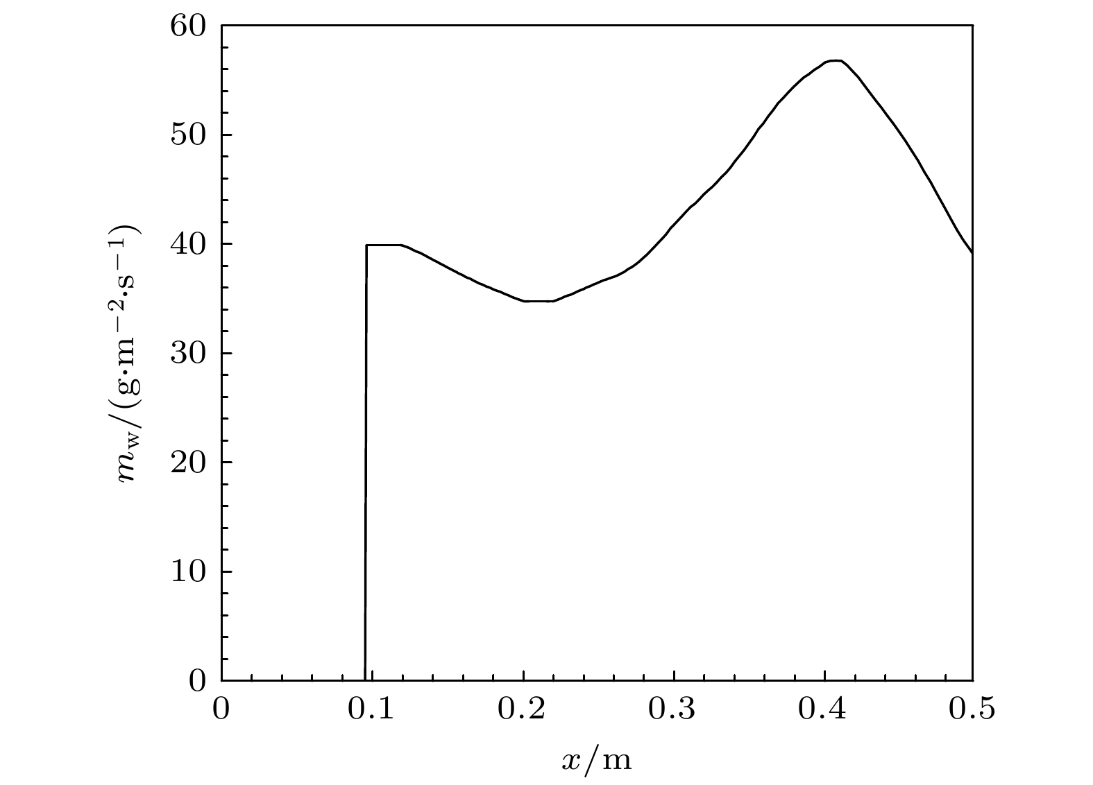
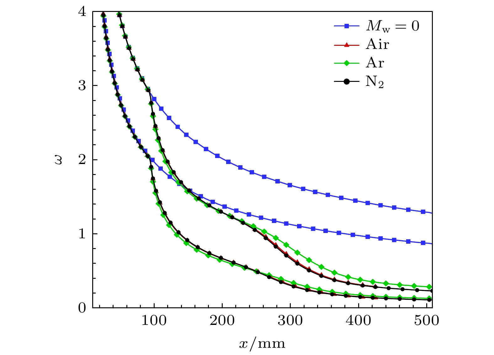
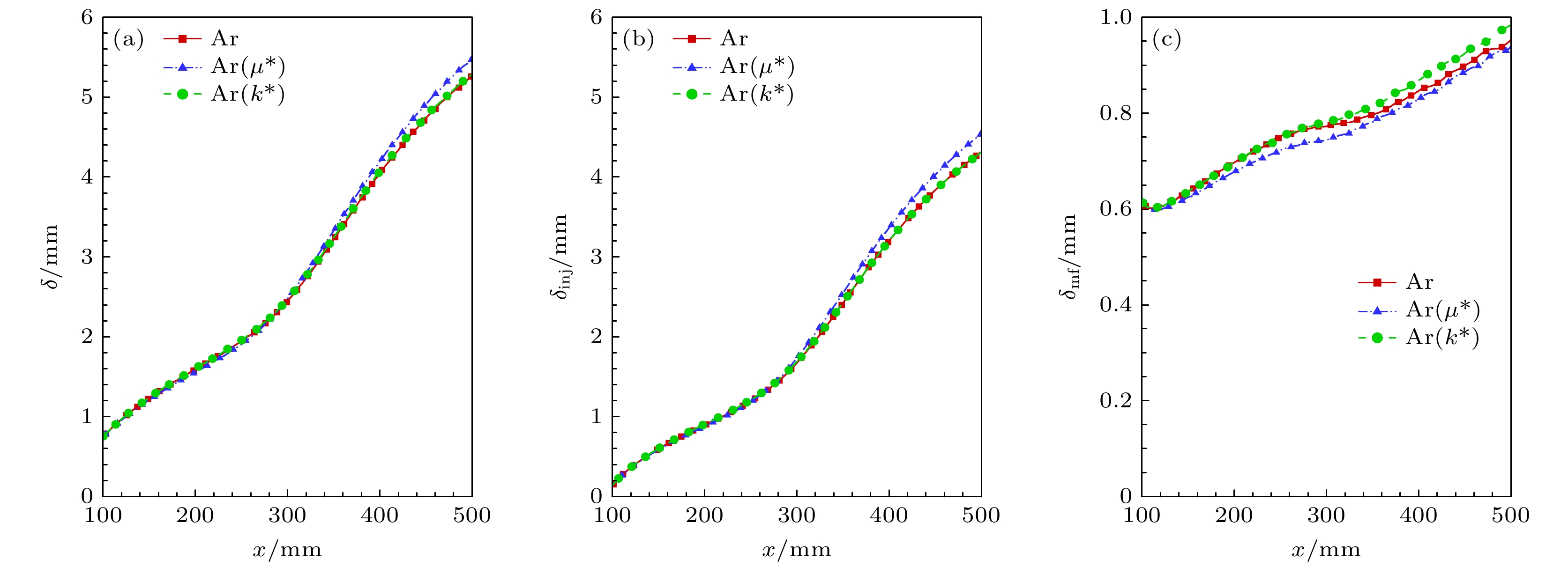
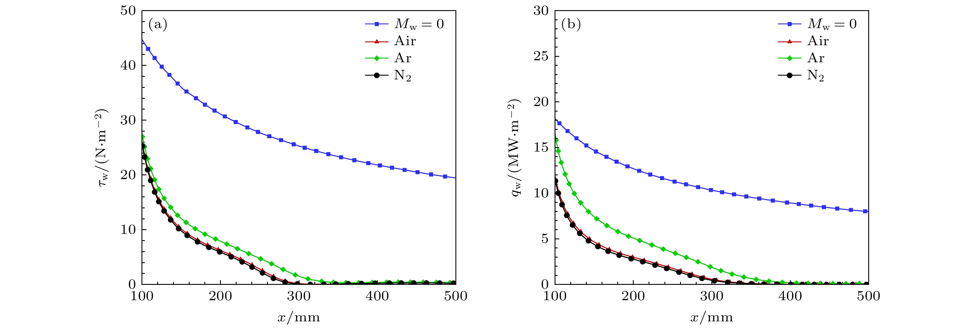
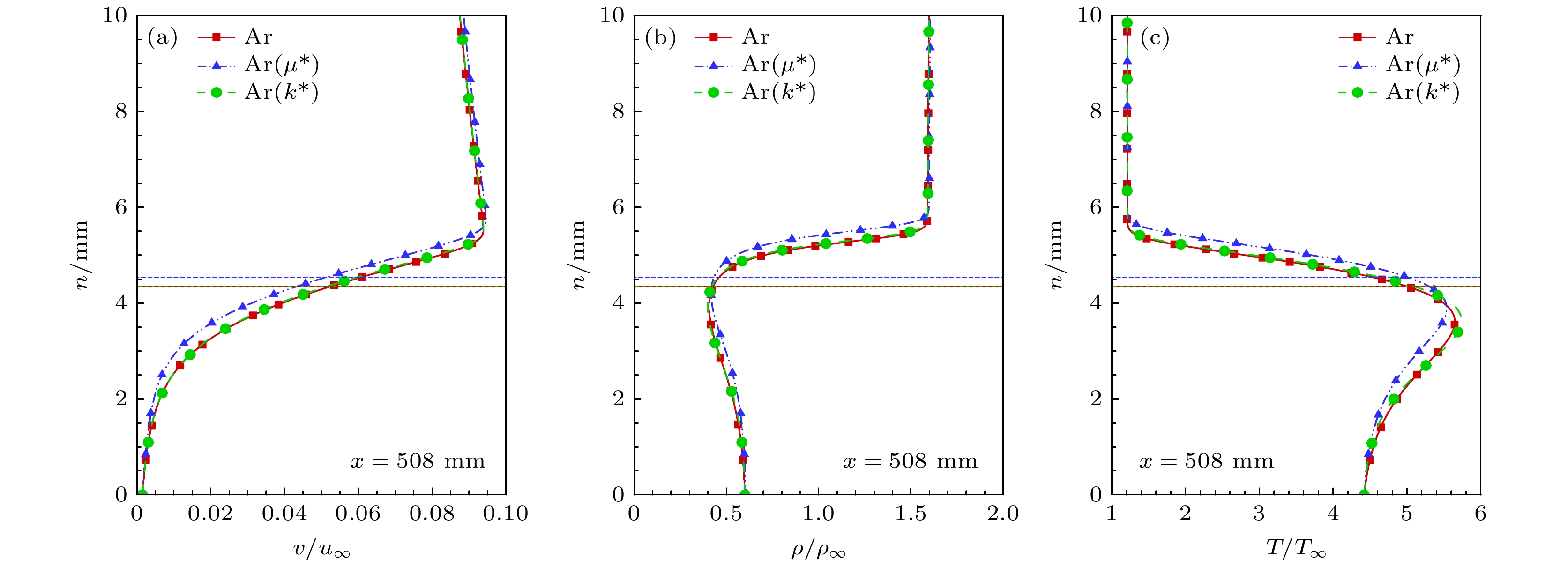
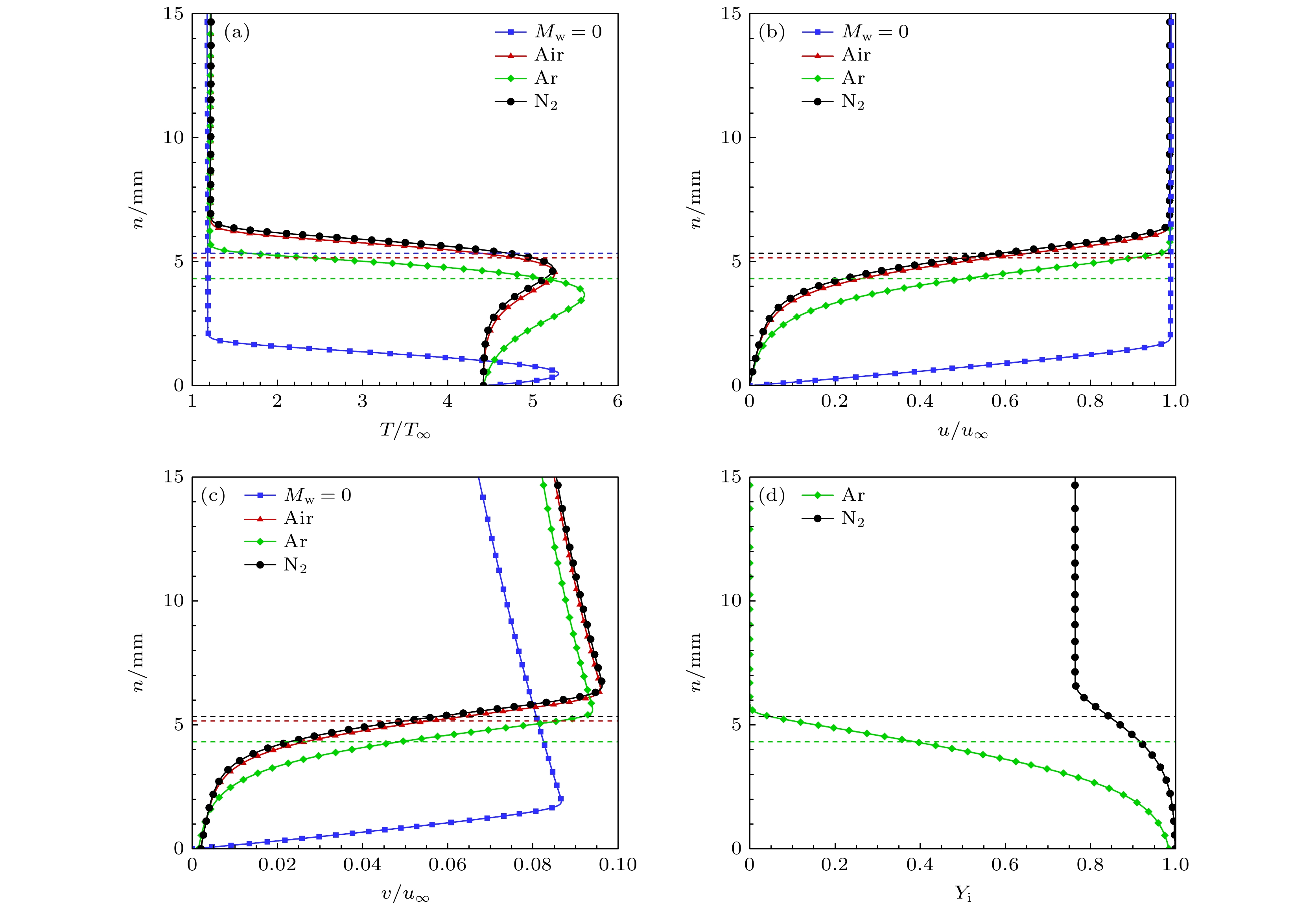
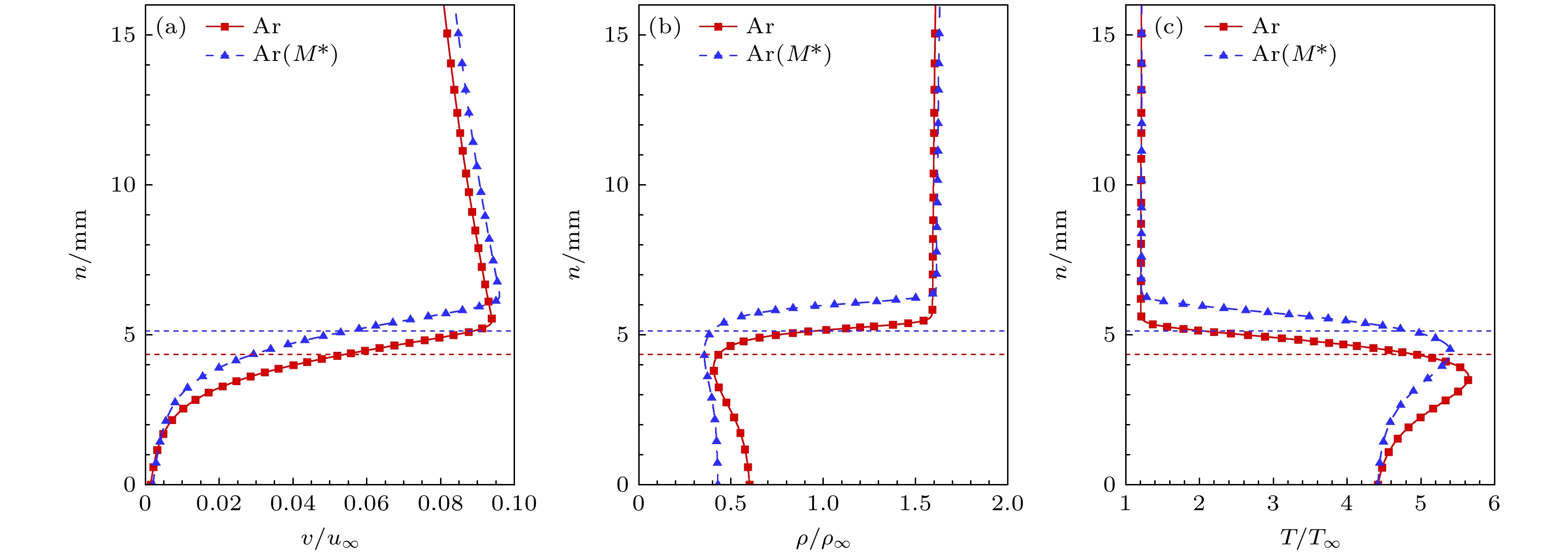
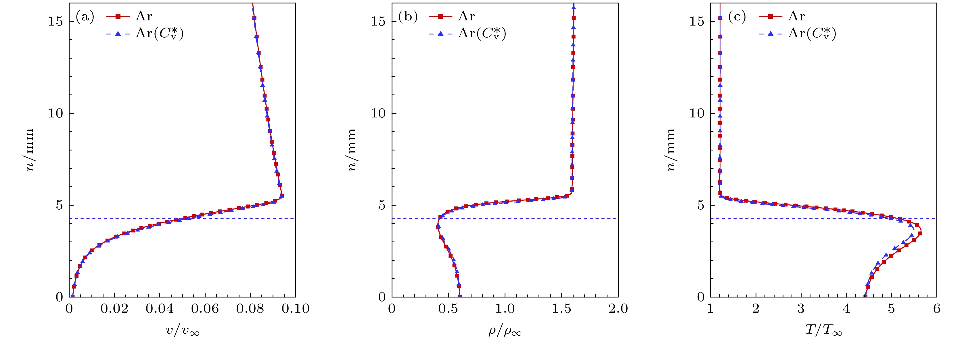
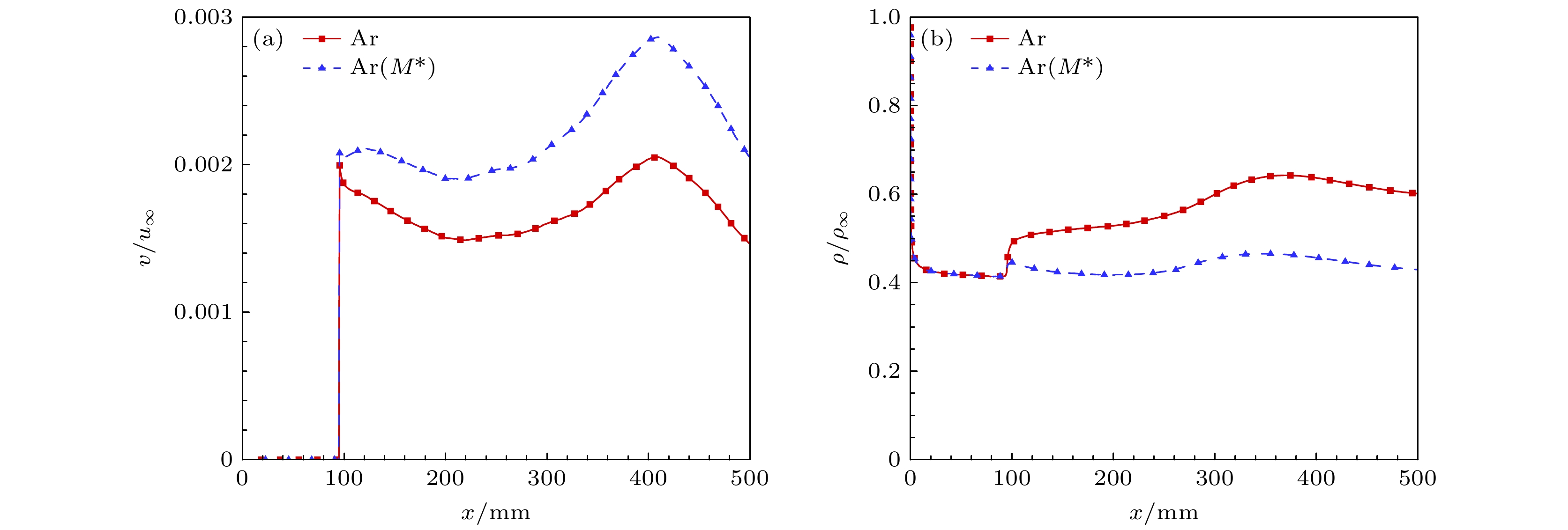
Active mass injection is an effective thermal protection technique that can significantly reduce wall heat flux. However, it inherently changes the stability characteristics of boundary layer, substantially affecting the laminar-to-turbulent transition process. Crucially, the underlying mechanisms of controlling how different injected gases regulate flow stability are still unclear. In order to systematically analyze the effects of different gas injections on flow stability, the gas-specific mass injection effects are investigated in this work by employing a multicomponent Navier-Stokes solver to compute flow fields with air, argon, and nitrogen injections. The influence of mass injection on flow stability is analyzed using linear stability theory, followed by distinguishing the different effects of various injectant properties. The result shows that mass injection can displace the freestream gas, forming an injection layer near the wall and increasing the thickness of the boundary layer. Herein, the properties of the main boundary layer are still similar to those of the original boundary layer, while the injection layer exhibits significantly reduced temperature and velocity gradients, resulting in decrease of wall heat flux and surface friction. Linear stability analysis reveals that when mass injection excites multiple higher-order instability modes, the second mode is still dominant. Notably, mass injection reduces the unstable region of the second mode and significantly lowers the integrated disturbance amplitude, thereby suppressing the transition. This stabilizing effect is more pronounced with lighter gases. The differences in injected gas properties are mainly reflected in the viscosity coefficient, thermal conductivity, relative molecular weight, and diffusivity. Among these, the boundary layer thickness is primarily affected by the viscosity coefficient, relative molecular weight, and diffusivity of the injected gas, while the temperature within the boundary layer decreases with the increase of thermal conductivity and specific heat capacity of the injected gas. The influence of injected gas properties on flow stability is manifested in two different ways: 1) Modification of basic flow profile and 2) change of mixed gas properties. Specifically, the transport coefficients (viscosity and diffusivity) of the injected gas mainly affect unstable characteristics through way 1), while the specific heat capacity mainly works through way 2). The relative molecular weight plays a combined role in the two ways.