-
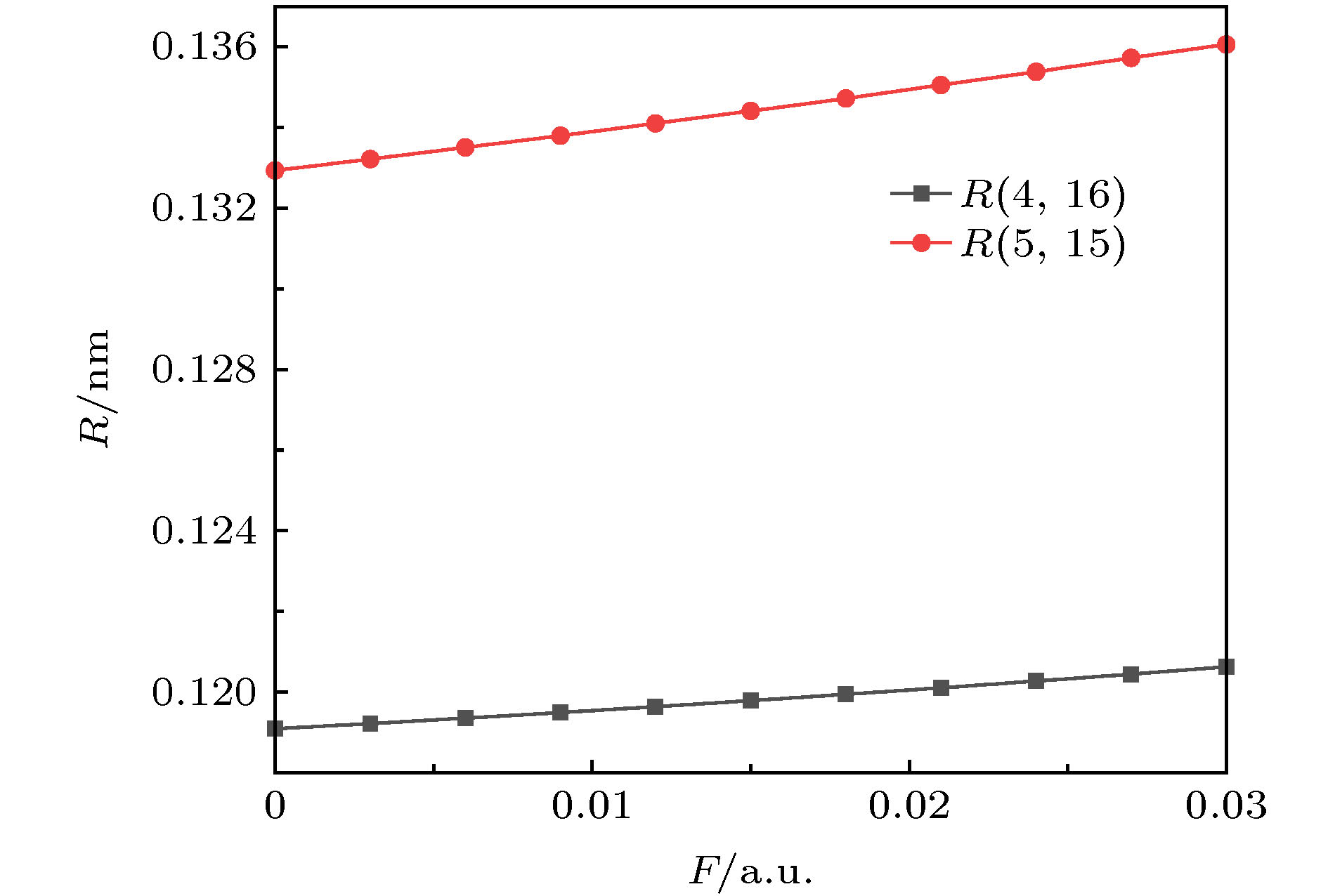
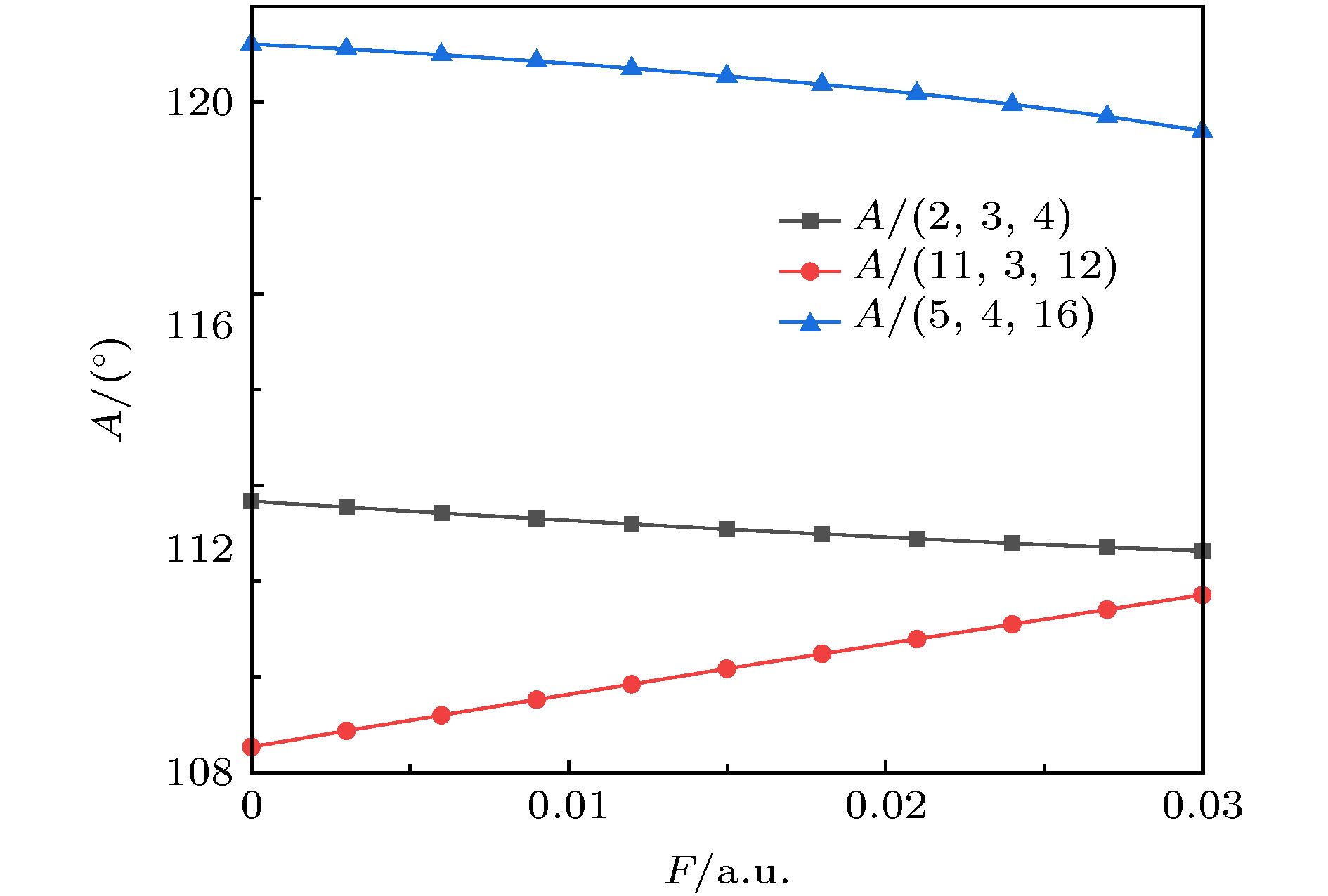
采用密度泛函(DFT)B3LYP/6-311g(d)对C 5F 10O分子进行几何结构优化, 研究外加电场(0-0.03 a.u., 1 a.u. = 5.142 × 10 11V/m)对分子的几何结构、能量、前线轨道能级、红外光谱的影响. 在相同基组下, 采用TD-DFT方法计算和分析C 5F 10O的轨道成分和激发特性. 研究表明: 随着电场增加, 5C—15F与4C=16O键能逐渐减小, 键长增大; 13F原子的电荷布居数变化最快, 更容易在外电场力的作用下失去电子; 分子体系势能不断增加, 稳定性逐渐减低; 能隙 E G值不断减小, 分子更容易激发到激发态参与到化学反应中. 红外光谱中, 4个吸收峰发生蓝移, 4个吸收峰发生了红移. 使用空穴-电子分析法, 指认了C 5F 10O分子前8个单重激发态的激发特征. 第一激发态的激发能微小增长, 波长减小, 出现蓝移; 其余激发态的激发能均降低, 波长均变长, 发生红移, 导致C 5F 10O分子中的电子变得越来越容易激发, 体系的稳定程度减小.In this paper, we use the density functional theory (B3LYP) method with 6-311g(d) basis sets to optimize the molecular structure of C 5F 10O and obtain the stable structure of its ground state. On this basis, the geometric characteristics, energy, frontier orbital energy levels, and infrared spectra of C 5F 10O under the different external electric fields (from 0 to 0.03 a.u., 1 a.u. = 5.142 × 10 11V/m) are studied by the same method. Under the same basis sets, the orbital composition and excitation characteristics of C 5F 10O are calculated and analyzed by the TD-DFT method. The conclusions show that as the electric field increases, the bond energy of 5C—15F and 4C=16O gradually decrease, their bond lengths increase. The charge of 13F atoms changes fastest, and it is easier to lose electrons under the action of electric field force. The potential energy of the molecule increases, and the stability gradually decreases. The energy gap E Gvalue continuously decreases, and the molecules are more likely to be excited to participate in the chemical reaction. In the infrared spectrum, four absorption peaks are blue-shifted, and four absorption peaks are red-shifted. The excitation characteristics of the first 8 singlet excited states of the C 5F 10O are identified by the hole-electron analysis method. The excitation energy of the first excited state increases slightly, and the wavelength decreases, and blue shift occurs. The excitation energy values of the other excited states decrease, their wavelengths increase, and red shifts occur. Because the electrons in C 5F 10O become easier to excite, the stability of the system is lower.
[1] [2] [3] [4] [5] [6] [7] [8] [9] [10] [11] [12] [13] [14] [15] [16] [17] [18] [19] [20] [21] [22] [23] [24] [25] [26] [27] [28] [29] [30] [31] [32] [33] [34] [35] [36] [37] -
Contrast R(4, 16)/nm R(5, 15)/nm R(3, 4)/nm R(3, 12)/nm R(4, 5)/nm Reference 0.117000 0.130600 0.154000 0.132800 0.153900 Theoretical calculation 0.119086 0.132933 0.155896 0.135497 0.155892 Relative error/% 1.783 0.1786 1.231 2.030 1.294 F/a.u. EL/eV EH/eV EG/eV 0.000 –3.197 –8.968 5.771 0.003 –3.260 –9.021 5.760 0.006 –3.324 –9.073 5.748 0.009 –3.388 –9.123 5.735 0.012 –3.453 –9.172 5.719 0.015 –3.517 –9.219 5.702 0.018 –3.583 –9.265 5.683 0.021 –3.649 –9.310 5.661 0.024 –3.715 –9.353 5.638 0.027 –3.783 –9.395 5.612 0.030 –3.852 –9.435 5.582 Excited State D/Å t/Å EC/eV Orbital-Contribution (hole) Orbital-Contribution (electron) S(0) → S(1) 0.267 –0.700 9.775374 MO 64-95.39% MO 65-99.352% S(0) → S(2) 1.723 0.648 6.741638 MO 63-78.436% MO 65-98.828% S(0) → S(3) 0.570 –0.355 8.394609 MO 55-13.986% MO 57-44.649%, MO 65-99.139% S(0) → S(4) 1.135 –0.139 6.968679 MO 52-19.354% MO 55-17.810% MO 62-28.358%, MO 65-99.049% S(0) → S(5) 1.144 –0.300 7.015306 MO 64-86.457% MO 66-84.652% S(0) → S(6) 1.862 0.879 6.505353 MO 60-34.078% MO 61-55.521% MO 65-91.502% S(0) → S(7) 1.601 0.566 6.600581 MO 56-19.786% MO 58-16.594% MO 59-30.422% MO 65-96.849% S(0) → S(8) 0.948 –0.079 6.641575 MO 55-33.730% MO 57-21.883% MO 62-22.257% MO 65-99.078% F/a.u. Eex/eV 0.000 0.003 0.006 0.009 0.012 0.015 0.018 0.021 0.024 0.027 0.030 n= 1 4.041 4.052 4.063 4.072 4.078 4.086 4.091 4.095 4.097 4.097 4.095 n= 2 7.324 7.283 7.240 7.195 7.148 7.099 7.048 6.996 6.940 6.883 6.823 n= 3 8.427 8.400 8.368 8.329 8.283 8.210 8.089 7.963 7.833 7.700 7.565 n= 4 8.691 8.651 8.560 8.451 8.336 8.236 8.168 8.087 7.980 7.853 7.719 n= 5 8.715 8.673 8.618 8.567 8.499 8.397 8.277 8.154 8.041 7.935 7.823 n= 6 8.776 8.759 8.787 8.693 8.588 8.509 8.444 8.381 8.307 8.208 8.098 n= 7 9.019 8.919 8.811 8.814 8.770 8.663 8.553 8.446 8.351 8.283 8.225 n= 8 9.159 9.076 8.983 8.883 8.826 8.772 8.682 8.583 8.481 8.378 8.277 F/a.u. λ/nm 0.000 0.003 0.006 0.009 0.012 0.015 0.018 0.021 0.024 0.027 0.030 n= 1 306.80 305.93 305.16 304.48 303.89 303.41 303.04 302.78 302.64 302.63 302.75 n= 2 169.28 170.24 171.25 172.32 173.45 174.64 175.90 177.23 178.64 180.13 181.71 n= 3 147.12 147.60 148.17 148.85 149.68 151.01 153.27 155.71 158.29 161.02 163.88 n= 4 142.65 143.31 144.84 146.72 148.73 150.54 151.79 153.31 155.36 157.87 160.62 n= 5 142.27 142.96 143.86 144.72 145.89 147.65 149.80 152.05 154.18 156.26 158.48 n= 6 141.28 141.55 141.10 142.63 144.37 145.72 146.83 147.94 149.25 151.05 153.10 n= 7 137.48 139.02 140.72 140.66 141.37 143.12 144.96 146.80 148.47 149.69 150.75 n= 8 135.37 136.61 138.03 139.57 140.47 141.34 142.80 144.45 146.19 147.98 149.79 F/a.u. f 0.000 0.003 0.006 0.009 0.012 0.015 0.018 0.021 0.024 0.027 0.030 n = 1 0.0002 0.0002 0.0002 0.0002 0.0002 0.0001 0.0001 0.0001 0.0001 0.0001 0.0001 n = 2 0.0033 0.0032 0.0030 0.0029 0.0028 0.0026 0.0026 0.0025 0.0024 0.0024 0.0024 n = 3 0.0015 0.0020 0.0025 0.0030 0.0035 0.0039 0.0044 0.0045 0.0045 0.0045 0.0044 n = 4 0.0014 0.0012 0.0024 0.0035 0.0042 0.0048 0.0053 0.0055 0.0052 0.0052 0.0055 n = 5 0.0591 0.0027 0.0039 0.0049 0.0073 0.0083 0.0080 0.0086 0.0102 0.0117 0.0131 n = 6 0.0162 0.0738 0.0641 0.0066 0.0024 0.0005 0.0004 0.0004 0.0023 0.0047 0.0047 n = 7 0.0180 0.0127 0.0148 0.0570 0.0098 0.0101 0.0107 0.0104 0.0078 0.0048 0.0054 n = 8 0.0013 0.0008 0.0039 0.0094 0.0276 0.0078 0.0126 0.0170 0.0203 0.0228 0.0236 -
[1] [2] [3] [4] [5] [6] [7] [8] [9] [10] [11] [12] [13] [14] [15] [16] [17] [18] [19] [20] [21] [22] [23] [24] [25] [26] [27] [28] [29] [30] [31] [32] [33] [34] [35] [36] [37]
计量
- 文章访问数:9311
- PDF下载量:103
- 被引次数:0












下载:









