搜索

x

留言板

姓名
邮箱
手机号码
标题
留言内容
验证码

downloadPDF
引用本文:
Citation:

    朱小芹, 胡益丰

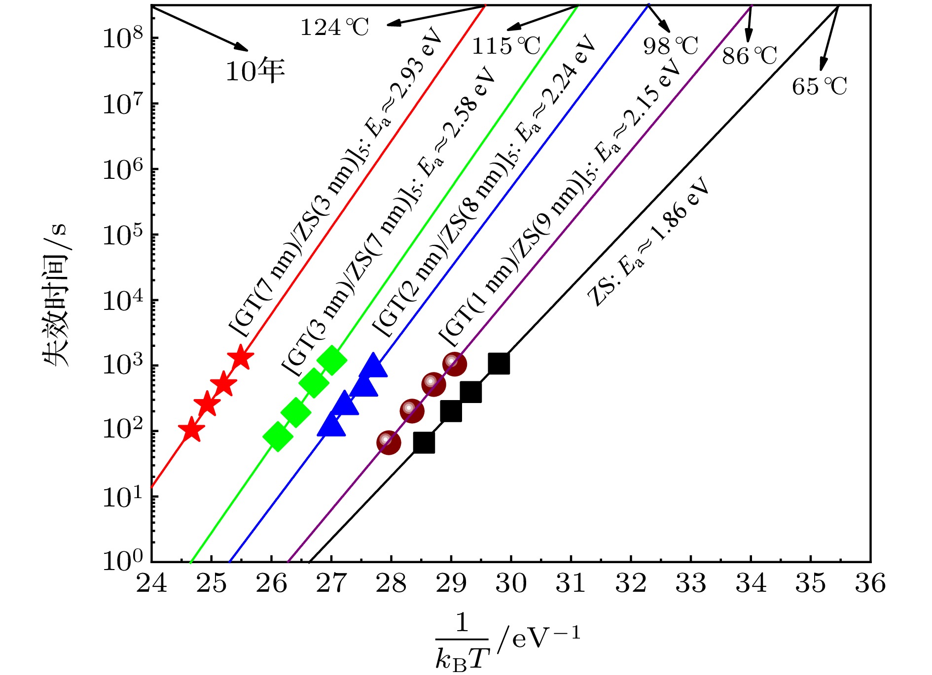
    Application of Ge50Te50/Zn15Sb85nanocomposite multilayer films in high thermal stability and low power phase change memory

    Zhu Xiao-Qin, Hu Yi-Feng
    PDF
    HTML
    导出引用
    计量
    • 文章访问数:5349
    • PDF下载量:72
    • 被引次数:0
    出版历程
    • 收稿日期:2020-04-06
    • 修回日期:2020-04-27
    • 上网日期:2020-05-09
    • 刊出日期:2020-07-20

      返回文章
      返回