As a core phenomenon in helicon discharge, the plasma temperature anisotropy may play a crucial role in helicon wave power deposition. Under radially inhomogeneous plasma circumstances, by employing the warm plasma dielectric tensor model and considering the finite Larmor radius (FLR) effect and plasma temperature anisotropy effect, under the typical helicon discharge parameter conditions, the helicon wave and Trivelpiece-Gould (TG) wave mode coupling characteristic and influence of electron temperature anisotropy on the helicon wave power deposition induced by collisional and Landau damping mechanism are theoretically investigated. Detailed analysis shows that for typical helicon plasma electron temperature
T
e= 3 eV and low magnetic field
B
0= 48 G, the electron FLR effect should be considered, while the ion FLR effect can be ignored due to its large inertia effect; compared with the
$| n | < 2 $
cyclotron harmonics, the contribution of the
$| n | > 1 $
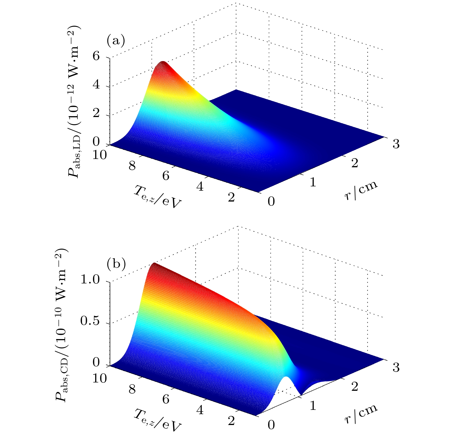
harmonics in the calculation of plasma dielectric tensor elements can be ignored due to low magnetic field conditions. For the propagation constant, detailed investigation indicates that the phase constant has a maximum value at a certain radial position, near the same position mode coupling between helicon wave and TG wave happens. Full analysis shows that the power deposition of the
m= 1 helicon mode peaks at a certain radial position and increases gradually with the increase of the axial electron temperature. Besides, compared with the Landau damping, the collisional damping plays a dominant role in the power deposition under current parameter conditions; importantly, the electron temperature anisotropy exerts a significant influence on the power deposition characteristic, both the increase and decrease of electron temperature anisotropy factor (
χ=
T
e,⊥/
T
e,z) can lead the power deposition intensity to change drastically. All these conclusions are very important for us to understand the discharge mechanism of helicon plasma.