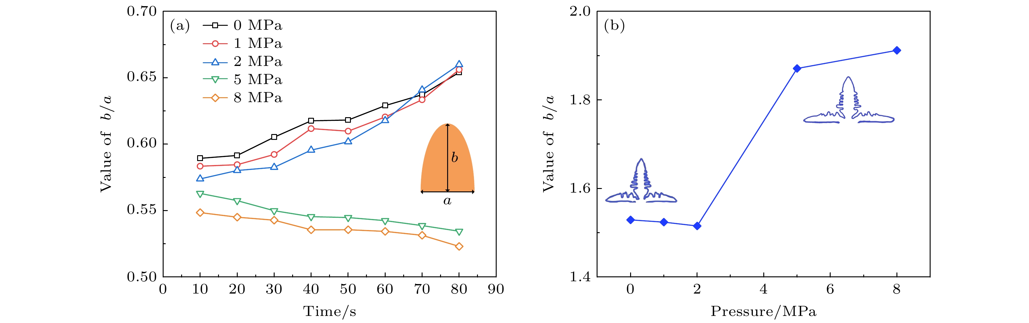
Solid-state lithium batteries possess numerous advantages, such as high energy density, excellent cycle stability, superior mechanical strength, non-flammability, enhanced safety, and extended service life. These characteristics make them highly suitable for applications in aerospace, new energy vehicles, and portable electronic devices. However, the growth of lithium dendrite at the electrode/electrolyte interface remains a critical challenge, limiting both performance and safety. The growth of lithium dendrites in the electrolyte not only reduces the Coulombic efficiency of the battery but also poses a risk of puncturing the electrolyte, leading to internal short circuits between the anode and cathode. This study is to solve the problem of lithium dendrite growth in solid-state lithium batteries by employing phase-field theory for numerical simulations. A phase-field model is developed by coupling the mechanical stress field, thermal field, and electrochemical field, to investigate the morphology and evolution of lithium dendrites under the condition of different ambient temperatures, external pressures, and their combined effects. The results indicate that higher temperature and greater external pressure significantly suppress lithium dendrite growth, leading to fewer side branches, smoother surfaces, and more uniform electrochemical deposition. Increased external pressure inhibits longitudinal dendrite growth, resulting in a compressed morphology with higher compactness, but at the cost of increased mechanical instability. Similarly, elevated ambient temperature enhances lithium-ion diffusion and reaction rate, which further suppress dendrite growth rate and size. The combined effect of temperature and pressure exhibits a pronounced inhibitory influence on dendrite growth, with stress concentrating at the dendrite roots. This stress distribution promotes lateral growth, facilitating the formation of flatter and denser lithium deposits.