搜索

x

留言板

姓名
邮箱
手机号码
标题
留言内容
验证码

引用本文:
Citation:

林晓贺, 林敏娟, 王堃, 吴勇, 任元, 王瑜, 李婕维
cstr: 32037.14.aps.74.20250581

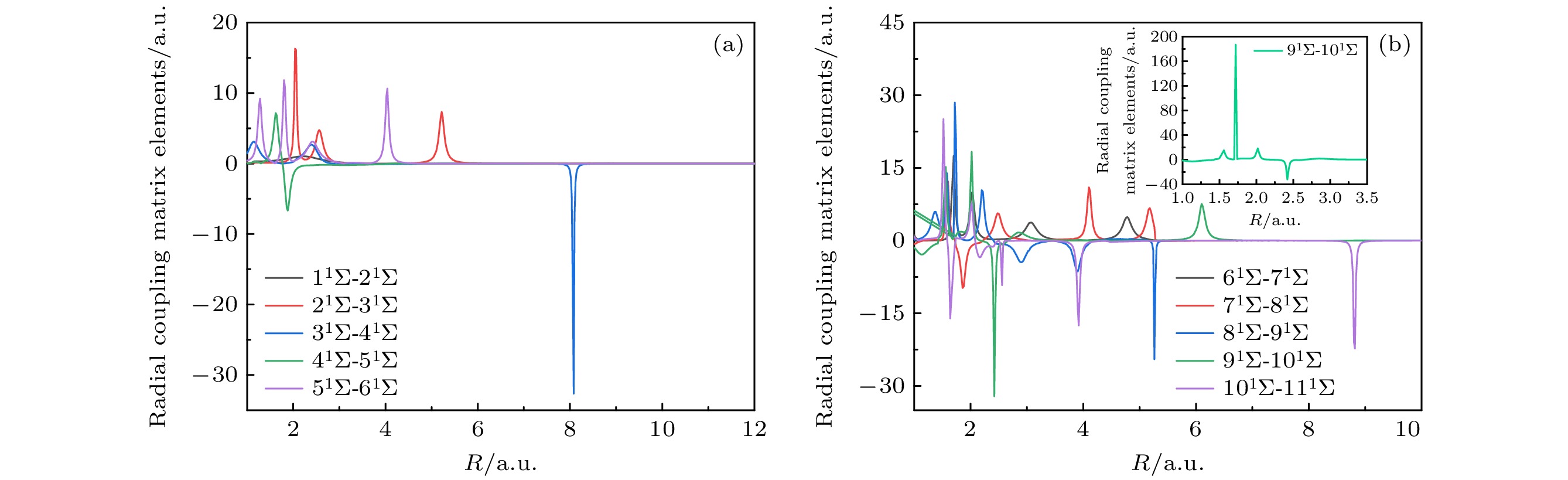
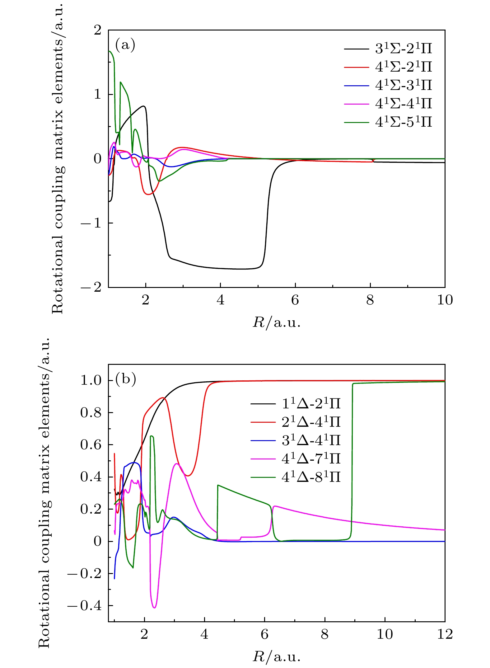
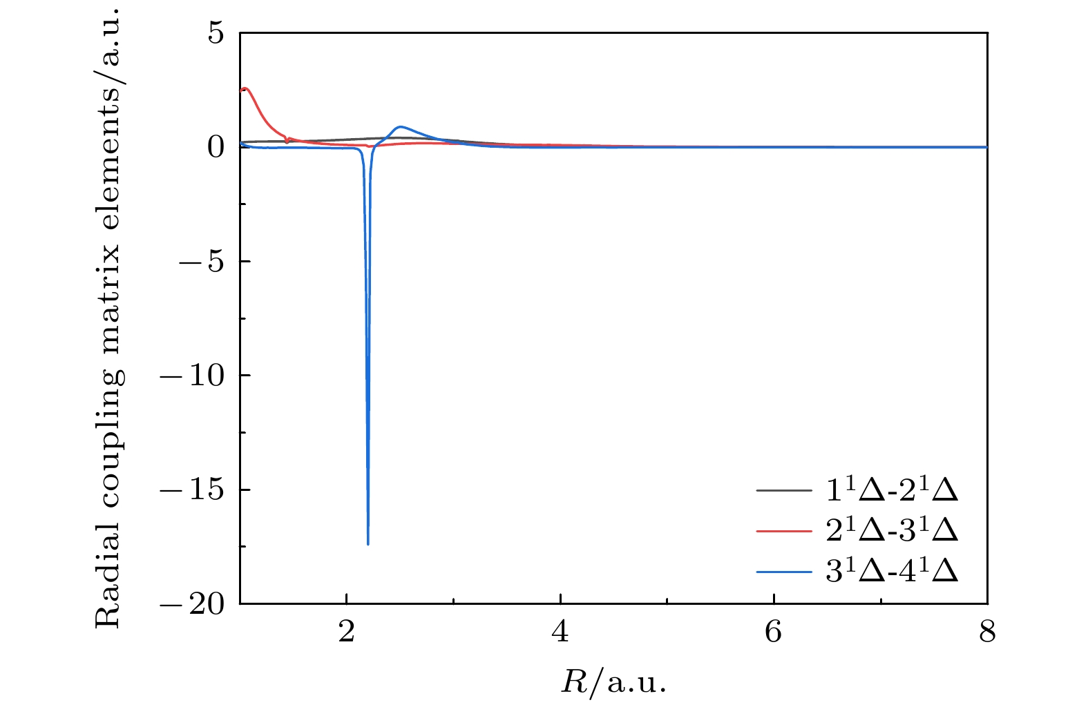
Charge transfer cross sections of collisions of N3+ ions with He atoms in low energy region

LIN Xiaohe, LIN Minjuan, WANG Kun, WU Yong, REN Yuan, WANG Yu, LI Jiewei
cstr: 32037.14.aps.74.20250581
Article Text (iFLYTEK Translation)
PDF
HTML
导出引用
在线预览
计量
  • 文章访问数:  1745
  • PDF下载量:  29
  • 被引次数: 0
出版历程
  • 收稿日期:  2025-04-30
  • 修回日期:  2025-05-30
  • 上网日期:  2025-06-11
  • 刊出日期:  2025-08-05

返回文章
返回