搜索

x

留言板

姓名
邮箱
手机号码
标题
留言内容
验证码

引用本文:
Citation:

海军, 李建泉, 张智娟, 王行行
cstr: 32037.14.aps.74.20251188

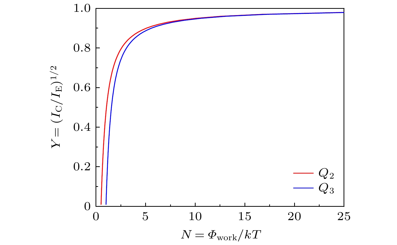
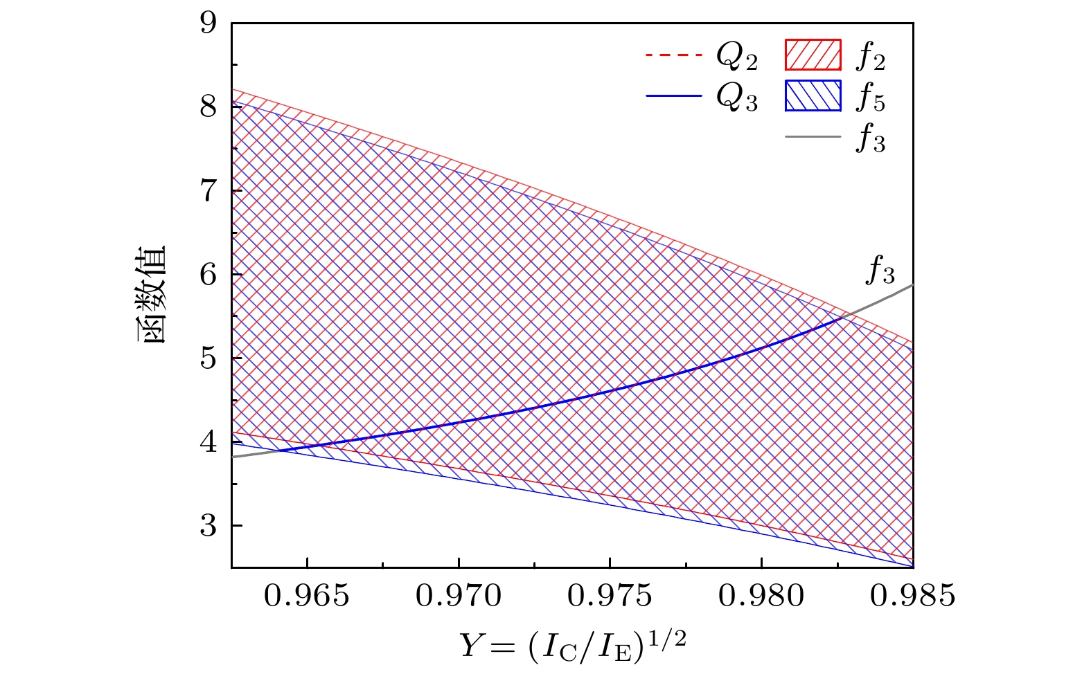
Absolute error analysis of vacuum virtual cathode measurement

HAI Jun, LI Jianquan, ZHANG Zhijuan, WANG Hanghang
cstr: 32037.14.aps.74.20251188
Article Text (iFLYTEK Translation)
PDF
HTML
导出引用
在线预览
计量
  • 文章访问数:  539
  • PDF下载量:  15
  • 被引次数: 0
出版历程
  • 收稿日期:  2025-09-01
  • 修回日期:  2025-09-19
  • 上网日期:  2025-09-26

返回文章
返回