Vol. 74, No. 23 (2025)
2025年12月05日
专题: 低温等离子体非平衡输运与主动调控
2025, 74 (23): 235202.
doi: 10.7498/aps.74.20251169
摘要 +
弓网滑动电接触是高速列车获取能量的唯一途径. 随列车速度、牵引功率提升以及在复杂多变环境中运行, 弓网电弧发生率提高、物性参数改变、危害增加, 严重威胁高铁安全. 本文系统综述了弓网电弧研究进展, 梳理了弓网电弧物理特性、仿真及试验研究方法, 重点分析了运行参数与环境条件对弓网电弧的影响机理及规律, 归纳了防治策略并探讨了电弧能量利用等新方向. 现有工作充分研究了运行参数对弓网电弧危害的影响, 但对弓网电弧物性参数及演化机理的研究较少, 缺乏对覆冰等特殊工况下弓网电弧特性的研究; 且现有弓网电弧防护手段需针对复杂环境工况进行改进, 以满足我国高铁大规模跨区域运行时的弓网电弧防护需求. 基于综述提出两点未来展望: 1)要厘清特殊环境弓网电弧物性参数, 探明“环境工况-物性参数-电弧行为”关联机制, 为精准预测提供基础; 2)要从“源头抑制-界面防护-过程干预”出发, 建立弓网电弧高效防治体系. 本文旨在为中国高速铁路弓网系统的可靠受流与电弧防治提供理论参考与工程借鉴.
2025, 74 (23): 235203.
doi: 10.7498/aps.74.20251221
摘要 +
大气压低温等离子体在生物医学、环境保护、纳米制造等领域具有广泛应用, 而这些应用中的核心过程通常是等离子体与水溶液的相互作用. 等离子体与水溶液的相互作用非常复杂, 既包含种类繁多的气液两相反应, 也包含相互耦合的粒子传质过程, 使得现有的实验技术难以系统地阐释内在机制, 仿真研究至关重要. 10余年来, 国内外对等离子体与水溶液相互作用的仿真研究取得了重要进展, 基本解决了传质与反应参数缺乏的问题, 从无到有建立了多种类型的仿真模型, 并积极探索基于人工智能的新型仿真方法, 显著提升了对该领域的认知水平. 本文将从参数获取、模型构建到智能算法3个方面综述近年来的仿真研究进展, 以期为国内同行和研究生提供参考.
2025, 74 (23): 235211.
doi: 10.7498/aps.74.20251185
摘要 +
非热等离子体 (non-thermal plasma, NTP) 作为一种在接近室温条件下高效实现材料制备与改性的先进技术, 近年来在能源材料领域备受关注. 由于其电子温度高而整体气体温度低, NTP能够在避免热损伤的前提下, 通过引入空位、杂原子掺杂, 调控孔隙率和表面粗糙程度等多尺度缺陷, 显著改善电极材料的电化学性能. 等离子体-材料表面相互作用是一个复杂的体系, 涉及等离子体与材料之间的相互影响规律, 深入理解该作用机制对实现NTP精准调控材料缺陷类型、密度、空间分布至关重要. 本综述系统总结了NTP在能源材料刻蚀和掺杂领域的应用, 重点阐述了缺陷的生成及其对等离子体与材料表面相互作用的影响. 最后, 分析了NTP技术规模化应用过程中面临的主要挑战并对其未来发展进行了展望.
2025, 74 (23): 230201.
doi: 10.7498/aps.74.20251170
摘要 +
可变比冲磁等离子体发动机具有大推力、高比冲、长寿命、可变比冲、和高效率等技术优势, 是未来深空探测、载人航天所必需的先进动力装置. 可变比冲磁等离子体发动机内螺旋波等离子体源与离子回旋共振单元相互串联, 探究发动机内电离过程对离子加热过程的影响规律对发动机性能测试与优化具有重要意义. 本文建立了串联螺旋波等离子体源与离子回旋共振单元的多组分流体模型, 并在不同螺旋波等离子体源输入电流与气压条件下进行了数值模拟, 探究了螺旋波等离子体源工作状态对离子回旋共振单元离子能量密度的影响规律. 研究结果表明: 螺旋波等离子体源放电模式随输入电流与背景气压增大逐渐转变, 计算区域内等离子体密度与离子回旋共振单元内的离子能量密度出现跳变现象; 在本文模型及输入条件下, 螺旋波等离子体源中的工质电离过程与离子回旋共振单元的离子加热过程是解耦的, 螺旋波等离子体源的工作模式并不影响单个离子通过离子回旋共振单元所获得的能量增益, 发动机进而可以实现多模态工作.
2025, 74 (23): 235201.
doi: 10.7498/aps.74.20251121
摘要 +
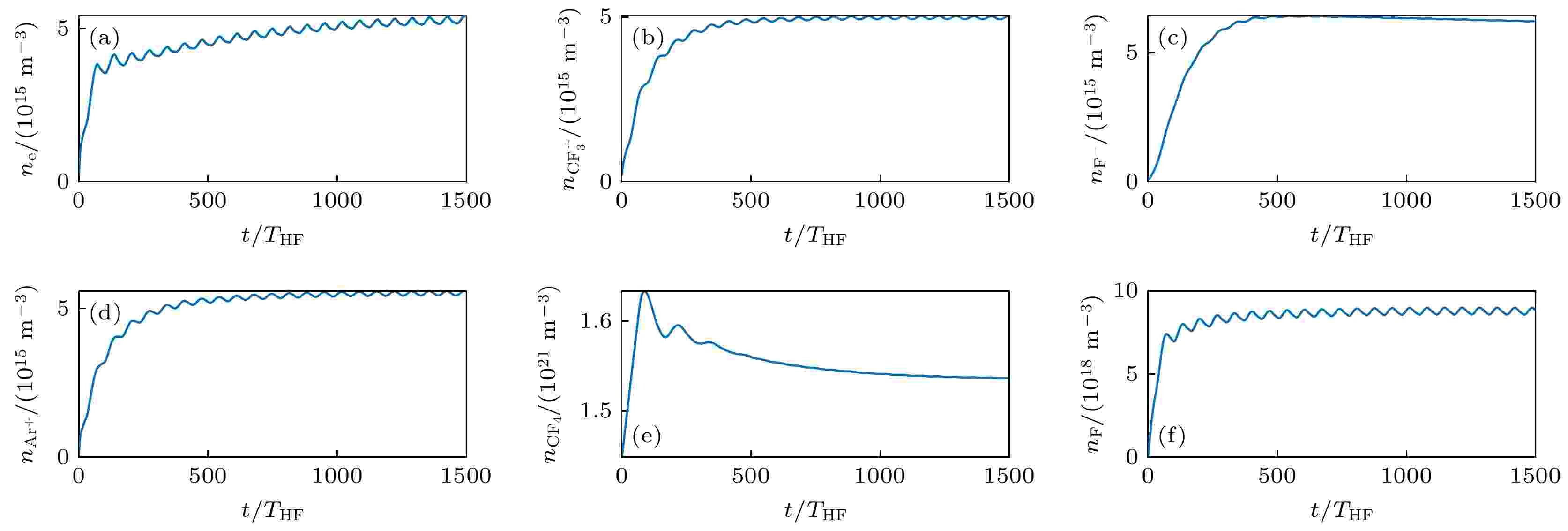
容性耦合等离子体源具备结构、造价低、能产生大面积均匀等离子体的优点, 被广泛应用于半导体芯片制造的刻蚀、沉积等工艺中. 为了满足先进生产工艺的需求, 人们常常需要对等离子体源实施流体模拟, 从而对等离子体的密度、均匀性等重要参数进行优化. 本文采用自主研发的容性耦合等离子体快速模拟程序对双频容性耦合Ar/CF4等离子体源进行了三维流体模拟, 以对程序在该问题中的有效性进行初步验证, 并研究气压、高低频电压、低频频率、气体组分比例等放电参数对等离子体产生的影响. 模拟结果显示, 该程序具有极高的模拟速度; 随着低频电压的增加, 等离子体密度先近似不变, 后显著增大, 而等离子体的均匀性先上升, 后显著下降, 在此过程中低频电源带来的γ模式加热逐渐增加, 直到取代高频电源的α模式加热成为主导; 随着低频频率的增加, 等离子体密度先近似不变, 后略微增大, 而等离子体的均匀性变化不大, 这是因为低频电源的γ模式加热与频率无关, 而α模式加热远远低于高频电源; 随着高频电压的增加, 等离子体密度显著增大, 而等离子体的均匀性先上升, 后显著下降, 在此过程中高频电源的α模式加热显著增强; 随着气压的增加, 等离子体密度明显增大, 同时等离子体的均匀性也明显上升, 原因是粒子与背景气体间碰撞更为充分; 随着背景气体中Ar比例的增加, 等离子体密度变化较小, Ar相关粒子的密度总体呈上升趋势, CF4相关粒子的密度总体呈下降趋势, 但部分粒子的密度变化存在非单调的情况, 这体现了部分组分的电离、解离间具有相互促进的作用.
2025, 74 (23): 235204.
doi: 10.7498/aps.74.20250827
摘要 +
在大气压介质阻挡放电的某些应用场景中, 待处理物表面附着的水滴会改变气隙宽度、介电分布、气相成分等条件, 进而影响低温等离子体的应用效果. 本文建立了大气压氦气介质阻挡放电仿真模型, 探究了接触角为45°, 90°和135°的水滴附着于待处理物表面时稳态放电结构与活性粒子分布受到的影响及其背后机制. 结果表明, 水滴表面与上方区域的稳态放电强度受到削弱, 这是因为在负击穿中, 水滴表面的极化电场增强了等离子体双极性扩散, 促成环形放电抑制区; 在次正放电阶段, 水滴极化导致的种子电子清除效应抑制了水滴上方区域放电, 上述放电抑制作用随水滴接触角变大而提升. 在化学分布部分, 待处理物和水滴表面的活性粒子与电子存在着协同分布关系, 其中O与N的分布会因O2与N2键能的不同产生差异, OH与He+的分布则分别受到水滴蒸发与电场的影响. 本文系统地阐述了水滴附着对介质阻挡放电电化学过程的影响机制, 为等离子体-液滴系统的相关应用提供了理论指导.
2025, 74 (23): 235205.
doi: 10.7498/aps.74.20251290
摘要 +
容性耦合等离子体(CCP)的流体模拟对于理解放电物理机制非常重要, 但其高昂的计算成本制约了大范围参数化探索. 为突破该限制, 本文开发了一种深度学习代理模型, 旨在以近瞬时推理速度复现一维CCP流体模型的输出结果. 该模型精确预测了容性耦合氩等离子体流体模拟中关键等离子体参数的空间分布, 包括电子密度、电子温度及电场分布, 并将所需计算时间从数小时压缩至毫秒量级. 除加速优势外, 代理模型学习过程还揭示了根植于等离子体物理的非对称推理能力. 代理模型可从复杂的低压物理域外推至更简单的高压物理域, 反之则不可行, 表明低压状态具有更完整的物理信息. 进一步, 本文建立了一个模型推理的置信边界, 确保预测结果的物理可靠性. 本文的研究为创建高保真、超快速的流体模拟等离子体替代提供了方案.
2025, 74 (23): 235206.
doi: 10.7498/aps.74.20251182
摘要 +
以C4F8为代表的碳氟等离子体因其可精细调控的F/C比、高活性自由基密度及优异的材料选择性, 已成为纳米级半导体刻蚀与沉积工艺的核心介质. 高深宽比刻蚀中, 发射光谱诊断将影响形貌的活性粒子密度与光谱特征关联实现原位监测, 为精度与良率协同优化提供有效途径. 其中, 兼具动力学模拟与光谱分析的等离子体模型是必不可少的. 本文建立了一种适用于发射光谱在线分析的C4F8/O2/Ar等离子体模型. 通过C4F8分解路径与碳氟自由基氧化机制分析, 精炼了化学反应全集. 在此基础上, 加入了F, CF, CF2, CO以及Ar与O的激发态能级的碰撞辐射过程, 与光谱特征建立了关联. 分析了典型感应耦合放电条件下活性粒子演化规律, 并与实验数据进行了验证. 结合动力学溯源, 阐明了碳氟自由基与离子的产生损失机制, 并讨论了可能存在的误差来源. 该模型具有在实际刻蚀工艺场景中发射光谱在线监测的应用前景.
2025, 74 (23): 235207.
doi: 10.7498/aps.74.20251159
摘要 +
低温等离子体的反问题是指根据等离子体的密度、电场等物理特性来反演电压幅值、频率等放电参数, 反问题的求解是对等离子体进行智能控制的重要前提, 在流体描述的框架下, 基于传统的离散化方法来求解反问题往往是非常困难的. 本文引入物理信息神经网络(physics-informed neural networks, PINNs)对大气压射频等离子体的反问题进行求解, 把连续性方程、泊松方程及漂移扩散近似等主要控制方程与作为待求解放电参数的电压幅值与频率, 及额外的电场数据这3部分作为约束嵌入PINNs的损失函数中. 经过训练后, PINNs可以实现对电压幅值与频率等放电参数的精确反演, 且可以保证误差均在1%以内, 同时也可以完整地输出密度、电场、通量等物理量的时空演化. 为进一步优化额外数据对PINNs计算的影响, 本文还深入分析了电场数据的采样位置、采样数量以及噪声水平对反演电压幅值与频率的效果. 本研究表明, PINNs能够在给定实验或计算数据条件下, 实现射频等离子体放电参数的精准反演及等离子体物理特性的精确计算, 从而为推进对等离子体的智能控制打下基础.
2025, 74 (23): 235208.
doi: 10.7498/aps.74.20251236
摘要 +
低温等离子体沉积与刻蚀技术在芯片制造、平板显示器和光伏等等离子体辅助制造领域中具有至关重要的作用. 而等离子体与材料之间的物理、化学相互作用机理, 是揭示工艺过程本质、优化制程参数、提升器件性能与可靠性的重要科学基础. 本工作基于流体混合模型并耦合表面形貌演化模型自洽模拟了不同放电参数下的等离子体放电特性以及沉积/刻蚀表面形貌, 并给出了一些研究实例的模拟结果与讨论. 在非晶硅薄膜沉积过程研究中发现, 等离子体放电过程所产生的电子密度径向分布不均匀, 会导致基片表面中性基团和离子通量分布乃至膜厚或膜质的不均匀. 其中, 离子能量分布还会影响薄膜中各元素的含量和成键情况, 进而影响薄膜质量和性能. 而在碳氟混合气体放电刻蚀SiO2研究中, 发现在裁剪电压波形的驱动下通过调节电极间距、谐波相位以及谐波次数, 可实现对离子与中性基团的灵活控制, 从而筛选出更优的放电参数以改善刻蚀效果. 在感性耦合氯混合气体刻蚀Si的过程中, 采用裁剪电压波形会使离子能量主要分布在高能区, 这能显著提高刻蚀效率. 综上, 通过混合模拟可以实现等离子体放电与沉积/刻蚀过程的自洽耦合, 总结离子与中性基团协同作用的本质规律, 为工艺与设备的优化提供参考.
2025, 74 (23): 235209.
doi: 10.7498/aps.74.20251214
摘要 +
微牛级会切霍尔推力器是一种微波辅助电离调控的电推进装置, 作为无拖曳控制系统的执行机构, 通过宽范围连续调节推力来保障控制精度与稳定性. 但调节过程中会发生模式转换导致阳极电流突变, 降低控制精度和稳定性. 因此, 有必要对模式转换发生的规律进行研究. 本文通过探针诊断等方式, 研究了微波模式转换前后推力器内部等离子体参数与放电特性的变化规律. 实验结果显示, 模式转换前, 等离子体亮区主要集中于阳极前端1—3 mm处的电子回旋共振区域; 转换后, 亮区向上游移动, 近阳极区等离子体密度超过截止密度, 沿轴向急剧下降. 等离子体密度变化改变基本波的传输特性是电子加热方式发生改变的根本原因. 等离子体密度上升至截止密度时, 驱动电离的R波与O波迅速衰减或被反射. 此时R波无法到达共振面, 主导的电子回旋共振(ECR)电离失效. R波-O波主导电离变为O波主导电离, 电子加热机制从体加热向表面波加热过渡. 本文研究将为后续优化推力器微波传输、降低模式转换发生的阈值提供依据.
2025, 74 (23): 235210.
doi: 10.7498/aps.74.20251151
摘要 +
毛细管放电等离子体射流点火装置结构简单可靠, 点火效能强, 是当前工业和学术领域的研究热点. 射流瞬态辐射热流特性是表征射流点火能力的重要手段, 本文搭建了基于薄膜量热计的瞬态辐射热流测量系统, 针对薄膜探头的测量范围、响应时间和灵敏度提出设计与优化方法; 研究了聚乙烯和聚四氟乙烯不同工质情况下, 储能电容电压和毛细管直径对输出辐射热流特性的影响. 结果表明, 毛细管放电辐射热流密度相较于主放电电流具有滞后性, 增大系统储能有助于提升主放电沉积能量效率与等离子体温度, 进而提升输出辐射热流密度与热流持续时间; 增大毛细管直径会减小放电时间常数进而缩短热流持续时间, 当毛细管直径从1.5 mm增至3 mm时, 辐射热流密度显著提升, 而当毛细管直径从3 mm增至6 mm时, 辐射热流密度随之下降. 此外, 主放电能量沉积效率、等离子体射流扩展特性以及工质烧蚀特性均会影响辐射热流密度; 聚乙烯工质毛细管放电较聚四氟乙烯工质辐射热流密度峰值更高, 峰值时间提前且持续时间更短.
2025, 74 (23): 235212.
doi: 10.7498/aps.74.20251061
摘要 +
火星原位资源利用是当前深空探测领域的研究热点之一. 采用低温等离子体技术可实现火星大气高浓度CO2的原位转化, 具有环境适应性强、系统效率高等诸多优势. 本研究使用一套同轴填充床介质阻挡放电反应器开展了火星大气CO2放电特性研究, 探究了SiO2与Al2O3填充材料对二氧化碳转化性能及能耗的影响. 与空管放电相比, 采用不同的填充材料会显著影响等离子体的放电特性. 在放电区内填充Al2O3材料提升了电场强度, 促进了CO2的转化和氧气的生成, 实现了12.18%的CO2转化率, 最低能耗为0.36 kWh/g. 通过发射光谱诊断和数值计算发现, 增加放电功率和填充Al2O3提升了平均电子能量, 通过非平衡振动激发态的生成促进了CO2的活化和转化. 研究结果表明, 选择合适的填充材料可以有效提升等离子体火星CO2转化过程的能量效率. 本研究为后续低温等离子体技术在火星大气原位转化领域的应用提供了一定的理论和实验支撑.
2025, 74 (23): 235213.
doi: 10.7498/aps.74.20251163
摘要 +
本文报道了一种新型米量级宽幅间接介质阻挡放电(DBD), 用于满足大尺度、形状复杂材料的处理需求. 通过模块化分级气路设计与仿真优化, 提高放电区域及被处理材料表面流场分布均匀性. 在此基础上, 以Ar作为工作气体, 以六甲基二硅烷(HMDSO)为反应媒质, 在纳秒脉冲电源激励下产生米量级宽幅等离子体. 通过电学、光谱、温度诊断方法来评估不同运行条件参数下的粒子活性、放电均匀性和稳定性, 并对环氧材料改性, 通过水接触角测量验证改性效果及其均匀性. 结果表明, 在合适的运行条件参数下, 可产生尺寸为1120 mm的宽幅均匀稳定等离子体. 增大电压幅值使放电强度和粒子活性提升, 但放电均匀性和稳定性会显著降低; 增大工作气体流速虽可同时提升粒子活性、放电均匀性和稳定性, 但提升幅度较小. 在电压幅值为12 kV、工作气体流速为10 L/min条件下处理10 min后, 环氧(EP)材料表面的水接触角从67°均匀提升至144°, 波动幅度低于6%. 本文所报道的米量级宽幅间接DBD电极可为大尺度等离子体材料改性技术工业应用提供参考和依据.
2025, 74 (23): 235215.
doi: 10.7498/aps.74.20251186
摘要 +
受制于感应耦合等离子体(ICP)发生器内极高温度、有限空间以及电磁场与化学反应的复杂耦合, 实验方法在揭示发生器内电磁场与流场的相互作用及放电特性方面存在较大局限, 数值模拟因而成为研究该类问题的重要手段. 本研究以氩气ICP为研究对象, 利用COMSOL在平衡态(LTE)与非平衡态(NLTE)假设下建立二维模型, 比较两者在温度场与能量耦合特性上的差异. 结果表明, 在千帕级压力下, LTE下温度峰值约8200 K, 高温区范围更大且集中于线圈区域. 而NLTE最高温度仅约5990 K, 且分布偏移至下游; 同时, 轴心区域以基态氩为主, 线圈附近激发态与离子分数升高, 表明能量沉积与粒子转化主要集中在趋肤层. 进一步分析不同压力下中心线分布发现, 随压力降低, 电子与气体温度差值增大, 体系热非平衡特征显著增强. 研究揭示了千帕级压力下ICP放电过程中的电磁-热-流动耦合机制及其非平衡特征. 结果表明, 在千帕级压力模拟中, NLTE模型能更准确地捕捉能量耦合与温度分布的关键特征, 为高焓风洞等应用中的ICP数值模拟提供了模型选择依据.
2025, 74 (23): 235216.
doi: 10.7498/aps.74.20251303
摘要 +
本文基于二维流体模型, 以平行板结构为基础, 对高压电极介质表面具有微结构的大气压氧气脉冲放电进行了研究, 重点分析了微结构诱导的混合放电及其增强机制. 微结构的存在导致放电过程中电场畸变, 电子在横向电场的作用下被局域束缚在微结构下方区域, 放电呈现出电晕模式; 同时由于凸起微结构的存在, 该处放电间隙减小, 纵向电场显著增强, 从而引起微结构下方电晕放电与两侧平板放电产生放电时间上的不一致性. 随着表面凸起微结构几何参数的增大, 可进一步诱发二次放电. 仿真结果表明, 电晕放电的存在有效提高了电子密度、电子温度及高能电子的数量占比, 增强了放电; 高凸起条件电晕放电受到抑制的情况下, 二次放电的产生, 有效提高了高能电子的数量占比及空间内活性氧原子的平均数密度. 这些发现为微结构引发的放电增强微观机制提供了深刻见解, 为设计高效的等离子体装置提供理论基础.
2025, 74 (23): 238501.
doi: 10.7498/aps.74.20251172
摘要 +
磁控溅射沉积透明导电氧化物薄膜过程中, 理解离子动力学过程是揭示“溅射损伤”机理并发展损伤抑制策略的关键. 本研究在纯Ar气氛下, 以氧化铟锡为阴极靶材, 系统探讨辅助阳极正偏压对射频磁控放电中基底入射离子能量分布的影响. 结果表明, 入射正离子包括O+, Ar+, In+, Sn+及多种金属氧化物分子离子和双电荷离子, 其能量由溅射原子的初始逸出能与等离子体电势共同决定, 并随辅助阳极偏压的升高而增强. 负离子源于阴极溅射, 其中O–和$\rm O_2^-$负离子能量分布宽广且呈多峰结构, 与阴极电压、等离子体电势的射频振荡及离子输运的弛豫效应密切相关. 金属氧化物负离子(InO–, $\rm InO_2^-$, SnO–和$\rm SnO_2^-$)对射频鞘响应滞后, 其高能峰向阴极偏置电压收敛. 高能负离子是导致“溅射损伤”的主要原因, 施加辅助阳极正偏压能有效降低其能量, 为透明导电氧化物薄膜损伤抑制提供潜在解决方案.
专题: 应用磁学
2025, 74 (23): 237201.
doi: 10.7498/aps.74.20251162
摘要 +
综述了布里渊光散射(Brillouin light scattering, BLS)技术的基本原理、发展历程及实验装置演化, 并深入探讨了其在现代科学研究中的多领域应用. BLS技术基于光子与材料中元激发(如磁子、声子)的非弹性散射过程, 通过精确测量散射光的频移, 可获取这些准粒子的能量、动量及相互作用等关键物理信息. 自1914年布里渊首次提出理论预测以来, BLS技术经历了显著的技术演进: 从早期仅能实现单一波矢的选择性测量, 逐步发展为兼具微米级空间分辨率、纳秒时间分辨率和相位测量能力的高精度表征手段. 这一技术演化过程不仅拓展了布里渊光散射在凝聚态物理研究中的应用范围, 更使其成为研究磁子动力学和声子输运现象的重要工具. 本文详细阐述了串联法布里-珀罗干涉仪的工作原理及其在BLS高精度光谱分析中的核心作用, 并结合近年来一系列前沿研究案例, 系统展示了BLS技术在自旋波色散关系测量、非互易传播特性研究、非线性动力学表征、磁声耦合效应, 以及生物力学分析等领域的独特优势. 随着BLS技术的持续优化及其与新兴表征方法的交叉融合, 布里渊光散射作为一种多维度、高灵敏度的光学无损探测平台, 将在材料科学、量子信息、生物医学等前沿领域发挥更加关键的作用.
2025, 74 (23): 237501.
doi: 10.7498/aps.74.20251317
摘要 +
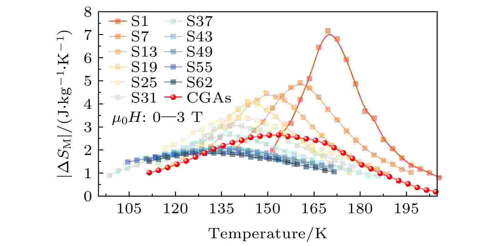
磁制冷技术具有绿色环保和节能高效等优点, 被认为是有望取代气体压缩制冷技术的新一代制冷技术. 但目前磁制冷材料往往相变温区过窄(≤10 K), 需多个成分的材料叠加才能满足实际的制冷温跨. 本研究选择典型的La(Fe, Si)13基磁制冷材料, 创新采用梯度激光粉末床熔融技术, 3D打印出水平成分梯度的La0.70Ce0.30Fe11.65–xMnxSi1.35 (Mn含量从0—0.64连续变化)合金. 系统表征其显微结构、磁学性能及磁热效应可知, 该技术可实现成分沿粉末床平面的可控梯度分布与高通量制备, 从而实现了该梯度合金居里温度从134—174 K宽温区的连续变化. 随Mn含量增加, 合金相变从弱一级相变逐渐变为二级相变, 磁熵变曲线峰型从“尖而高”变为“宽而平”, 半高宽温区扩大至83.3 K, 使得梯度合金始终保持较高的制冷能力RC (~130 J/kg, 3 T). 本研究通过梯度增材制造突破传统材料制备与性能瓶颈, 为磁制冷材料高通量制备与性能优化提供全新技术路径.
2025, 74 (23): 237502.
doi: 10.7498/aps.74.20251210
摘要 +
氢化或质子化通过引入离子功能调控自由度从而调控关联氧化物材料体系中多重自由度间的关联耦合效应, 突破固溶度极限的限制, 协同触发关联氧化物发生电子相变与磁转变, 为探索材料体系中的新奇物态提供了新途径, 在人工智能、关联电子器件及能量转换等领域展现出广阔的应用前景. 本文利用激光分子束外延法制备出亚稳态VO2(B)/La0.67Sr0.33MnO3(LSMO)异质结, 基于氢离子演化方法, 借助多功能氧化物异质结中关联电子与铁磁序间的关联、耦合与重构, 发现体系中弱铁磁绝缘相的新物态并涌现出丰富的结构演变与电子态重构等拓扑化学转变. 氢化触发VO2(B)/LSMO异质结体系的可逆磁电相变归因于氢化相关电子掺杂占据Mn元素eg (↑) 轨道而引发的电子局域化效应以及离子掺杂抑制Mn3+-Mn4+间的双交换相互作用. 本工作为探索关联氧化物材料体系中的新奇物态、莫特物理及其功能特性的器件化提供了可行的途径.
电磁学、光学、声学、传热学、经典力学和流体动力学
2025, 74 (23): 234201.
doi: 10.7498/aps.74.20251055
摘要 +
针对环境扰动引起单光子偏振态随机漂移的问题, 本文提出了一种实时锁定1550 nm单光子线偏振态的实验系统. 通过使用单光子偏振调制技术操控偏振旋转器实时锁定任意1550 nm单光子线偏振态到同轴检偏器的光轴方向, 在2000 s内单光子偏振漂移限制在0.0011 rad以内, 这种具有稳定线偏振态的1550 nm单光子脉冲可以直接用作偏振编码或相位编码量子密钥分发系统的单光子源.
气体、等离子体和放电物理
2025, 74 (23): 235214.
doi: 10.7498/aps.74.20251010
摘要 +
旋转辐条作为一种低频、长波长不稳定性, 广泛存在于磁控管、霍尔推力器等${\boldsymbol{E}} \times {\boldsymbol{B}}$放电装置中. 霍尔推力器中旋转辐条表现为位于放电通道中的明亮发光区域沿着角向旋转. 旋转辐条不稳定性引起的空间电势扭曲, 提高了在${\boldsymbol{E}} \times {\boldsymbol{B}}$作用下沿电势等势线漂移运动的电子到达阳极的概率, 增加了电子的轴向输运. 本文利用轴向-角向的二维粒子-流体混合模型研究了霍尔推力器放电通道中的轴向磁场梯度对旋转辐条不稳定性的影响. 采用包含等离子体密度梯度和磁场梯度效应的色散关系, 结合模拟得到的离子密度分布、电势分布、电场分布对模拟结果进行分析. 模拟结果表明, 随着放电通道内磁场梯度的减小, 模数$m = 1$的旋转辐条不稳定性的频率和传播速度会轻微的增大, 但不会对旋转辐条的传播方向和本质特征产生影响. 结合色散关系的分析结果表明, 密度梯度和磁场梯度共同驱动的角向漂移不稳定性是旋转辐条的诱发因素. 磁场改变引起的离子密度分布的变化对诱发旋转辐条的角向漂移不稳定性出现的轴向位置有轻微的影响, 但始终位于推力器出口下游附近. 结果表明旋转辐条不稳定性不属于电离不稳定性, 且改变放电通道内的磁场分布不会对旋转辐条的传播方向和模数产生影响. 本研究结果为明确旋转辐条的激发机制及其影响因素提供了理论支撑.
凝聚物质: 结构、力学和热学性质
2025, 74 (23): 236101.
doi: 10.7498/aps.74.20250978
摘要 +
为了探索Nb元素对AlCrFeNi合金的相调控机制, 本研究将实验与第一性原理计算相结合, 系统探究了不同Nb含量对AlCrFeNiNbx高熵合金微观组织、力学性能及耐磨性的影响. 结果表明, AlCrFeNiNb0.4高熵合金具有良好的力学性能与最佳的耐磨性. Nb的掺杂改变了AlCrFeNi合金的磨损机制, 并提高了合金的耐磨性. 这归因于Nb对AlCrFeNi合金的相调控作用: 一方面诱导高硬度的Laves相析出, 另一方面固溶于合金的BCC相及B2相, 并显著地提升两相的力学性能. 此外, Nb的掺杂细化了合金的微观组织, 促使其相界面密度提升, 从而综合提升了合金的硬度, 屈服强度以及耐磨性. 第一性原理计算表明Nb原子改变了AlCrFeNi合金中BCC相与B2相的电子结构, 从而提升了两相的稳定性, 印证了Nb对两相的固溶强化作用. 而Nb原子与两相中大部分原子会形成较强的反键, 进一步解释了Nb掺杂后合金的微观组织中大量Laves相生成的本质原因.
2025, 74 (23): 236401.
doi: 10.7498/aps.74.20251231
摘要 +
固体表面微纳米液滴中的结晶行为在工业与农业领域应用广泛, 如绿色打印、农药喷洒等. 这些应用涉及的固体基底通常是有机材料, 极性较弱或是非极性. 因此, 研究非极性固体上微纳米液滴内的结晶行为对于上述应用至关重要. 然而, 目前关于非极性固体表面微纳米液滴内离子结晶行为及其机理的研究相对匮乏, 尤其是原子尺度的机制尚不清楚. 本文采用分子动力学模拟方法研究了非极性固体表面氯化钠纳米液滴内离子的结晶行为及机理. 研究发现, 当浓度高于3.76 mol/kg时, 非极性固体表面的氯化钠纳米液滴内出现结晶现象. 结晶与固体的空间限制效应有关, 而与其物理性质无明显关联. 在非极性固体与溶液构成的界面处, 离子与固体表面之间形成水层, 离子被排斥到液滴内部, 从而提高了液滴内部的局域离子浓度, 促进结晶. 在相同条件下的氯化钾纳米液滴内也观察到结晶现象. 本文为理解非极性固体表面在固液界面中的作用、调控纳米液滴的结晶行为等提供了新的理论视角.

