2024 Vol. 73, No. 12
column
- SPECIAL TOPIC—Electrical/thermal properties of nanodielectrics
- REVIEW
- GENERAL
- ATOMIC AND MOLECULAR PHYSICS
- COVER ARTICLE
- ELECTROMAGNETISM, OPTICS, ACOUSTICS, HEAT TRANSFER, CLASSICAL MECHANICS, AND FLUID DYNAMICS
- PHYSICS OF GASES, PLASMAS, AND ELECTRIC DISCHARGES
- CONDENSED MATTER: STRUCTURAL, MECHANICAL, AND THERMAL PROPERTIES
- CONDENSED MATTER: ELECTRONIC STRUCTURE, ELECTRICAL, MAGNETIC, AND OPTICAL PROPERTIES
- INTERDISCIPLINARY PHYSICS AND RELATED AREAS OF SCIENCE AND TECHNOLOGY
- GEOPHYSICS, ASTRONOMY, AND ASTROPHYSICS
Display Method:
2024, 73(12): 127701.
doi:10.7498/aps.73.20240208
Abstract:
With the surge in electrical loads and increasing voltage levels, the mechanical performance and thermal stability of insulating paper are facing severe challenges. However, due to the lack of direct scientific theories or simulation guidance, traditional inefficient “trial-and-error” experiments are difficult to effectively develop new types of cellulose composite insulating papers. For solving this problem, in this work we are to enhance the effects of nanoscale zinc oxide (nano-ZnO) on the mechanical and thermal properties of cellulose through molecular dynamics simulations. Initially, we model the nano-ZnO/cellulose composite material , then carry out a microscopic analysis of the mechanical performance and thermal stability of modified cellulose with varying nano-ZnO content, thus determining the optimal ratio of nano-ZnO to cellulose. The results indicate that compared with the outcomes from the unmodified model, the mechanical performance, cohesive energy density, glass transition temperature, and thermal conductivity of the nano-ZnO-modified cellulose model are all improved, with the highest increase in elastic modulus reaching 45.31% and the highest increase in thermal conductivity attaining 41.49%. The addition of nano-ZnO effectively fills the gaps in the fiber network and enhances the interactions between cellulose chains and thermal conduction channels, thereby improving the thermodynamic performance of cellulose. This work provides valuable theoretical references for rapidly preparing modified cellulose insulating papers with excellent thermodynamic performance.
With the surge in electrical loads and increasing voltage levels, the mechanical performance and thermal stability of insulating paper are facing severe challenges. However, due to the lack of direct scientific theories or simulation guidance, traditional inefficient “trial-and-error” experiments are difficult to effectively develop new types of cellulose composite insulating papers. For solving this problem, in this work we are to enhance the effects of nanoscale zinc oxide (nano-ZnO) on the mechanical and thermal properties of cellulose through molecular dynamics simulations. Initially, we model the nano-ZnO/cellulose composite material , then carry out a microscopic analysis of the mechanical performance and thermal stability of modified cellulose with varying nano-ZnO content, thus determining the optimal ratio of nano-ZnO to cellulose. The results indicate that compared with the outcomes from the unmodified model, the mechanical performance, cohesive energy density, glass transition temperature, and thermal conductivity of the nano-ZnO-modified cellulose model are all improved, with the highest increase in elastic modulus reaching 45.31% and the highest increase in thermal conductivity attaining 41.49%. The addition of nano-ZnO effectively fills the gaps in the fiber network and enhances the interactions between cellulose chains and thermal conduction channels, thereby improving the thermodynamic performance of cellulose. This work provides valuable theoretical references for rapidly preparing modified cellulose insulating papers with excellent thermodynamic performance.
2024, 73(12): 127702.
doi:10.7498/aps.73.20232041
Abstract:
To investigate the effect of the interface electronic structure of core-shell quantum dots on the conductivity and space charge characteristics of polyethylene insulation, nanocomposite insulations, namely CdSe@ZnS/LDPE and ZnSe@ZnS/LDPE, are synthesized. The study focuses on elucidating the evolution patterns of DC conductivity and space charge in the nanocomposite insulation, and analyzing the effect of the interfacial electronic structure of core-shell quantum dots on the distribution of charge traps. Comparative analysis reveals that in contrast to LDPE insulation, ZnSe@ZnS/LDPE nanocomposite insulation demonstrates a substantial reduction in DC conductivity by 47.2% and a decrease in space charge accumulation by 40.3% under the conditions of elevated temperature and strong electric field. The increase of trap energy level means an enhanced trap effect on charger carriers. According to density functional theory, the band structure characteristics of core-shell quantum dots integrated with polyethylene are computationally assessed. The findings underscore that the band misalignment at the core-shell interface and the shell-insulation interface induces shifts in the conduction band bottom and at the valence band top, respectively. These shifts impose a confinement effect on electrons and holes, with the extent of this effect escalating with the augment of the difference in band gap between the core layer and the shell layer. Consequently, this phenomenon curtails carrier migration, thereby inhibiting space charge accumulation under the conditions of elevated temperature and strong electric fields.
To investigate the effect of the interface electronic structure of core-shell quantum dots on the conductivity and space charge characteristics of polyethylene insulation, nanocomposite insulations, namely CdSe@ZnS/LDPE and ZnSe@ZnS/LDPE, are synthesized. The study focuses on elucidating the evolution patterns of DC conductivity and space charge in the nanocomposite insulation, and analyzing the effect of the interfacial electronic structure of core-shell quantum dots on the distribution of charge traps. Comparative analysis reveals that in contrast to LDPE insulation, ZnSe@ZnS/LDPE nanocomposite insulation demonstrates a substantial reduction in DC conductivity by 47.2% and a decrease in space charge accumulation by 40.3% under the conditions of elevated temperature and strong electric field. The increase of trap energy level means an enhanced trap effect on charger carriers. According to density functional theory, the band structure characteristics of core-shell quantum dots integrated with polyethylene are computationally assessed. The findings underscore that the band misalignment at the core-shell interface and the shell-insulation interface induces shifts in the conduction band bottom and at the valence band top, respectively. These shifts impose a confinement effect on electrons and holes, with the extent of this effect escalating with the augment of the difference in band gap between the core layer and the shell layer. Consequently, this phenomenon curtails carrier migration, thereby inhibiting space charge accumulation under the conditions of elevated temperature and strong electric fields.
2024, 73(12): 127703.
doi:10.7498/aps.73.20240215
Abstract:
Epoxy resin nanocomposites are widely used in the field of electrical insulation packaging. It is of great significance to regulate the dielectric and insulation properties of composite materials by introducing nano-filler to meet special application requirements. This work proposes a chemical copolymerization method, fluorinated polystyrene nanospheres are synthesized through an addition reaction as filler, and finally the epoxy nanocomposites are prepared. The polystyrene nanospheres have a uniform size and good compatibility with the epoxy resin. The introducing of nanospheres reduces the dielectric constant of the epoxy resin composite material and increases the breakdown strength simultaneously. Although the dielectric loss increases, the composites’ imaginary part remains below 0.04 within 1 MHz frequency. In particular, the fluorinated polystyrene/epoxy composite with a mass fraction of 2% exhibits a decrease in dielectric constant and DC conductivity, while the AC breakdown strength and DC breakdown strength increase by 12.6% and 6%, respectively.
The results of the pulse electro-acoustic method indicate that the charge injection of the epoxy resin filled with non-fluorinated polystyrene nanospheres is evident, while the introduction of fluorinated nanospheres significantly reduces the charge injection level. Calculations based on the depolarization process reveal that the introduction of fillers leads to an increase in trap density and depth of energy levels in the composites. Notably, the epoxy resin filled with fluorinated fillers has the deepest trap levels, providing an explanation for the improved insulation breakdown performance. The research can provide guidance for regulating dielectric properties of epoxy composites and material synthesis for the application of electrical insulation packaging
.
2024, 73(12): 126101.
doi:10.7498/aps.73.20240190
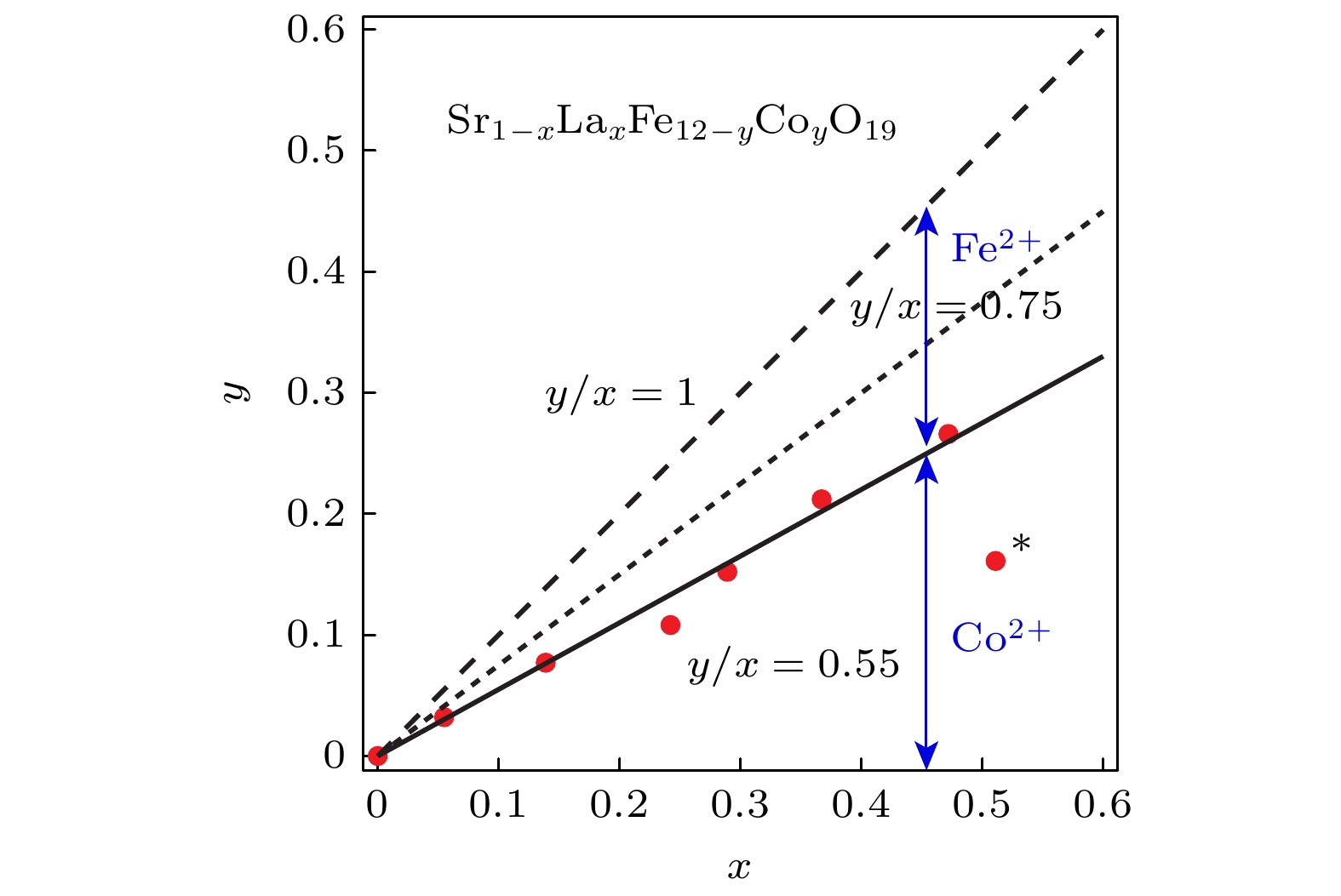
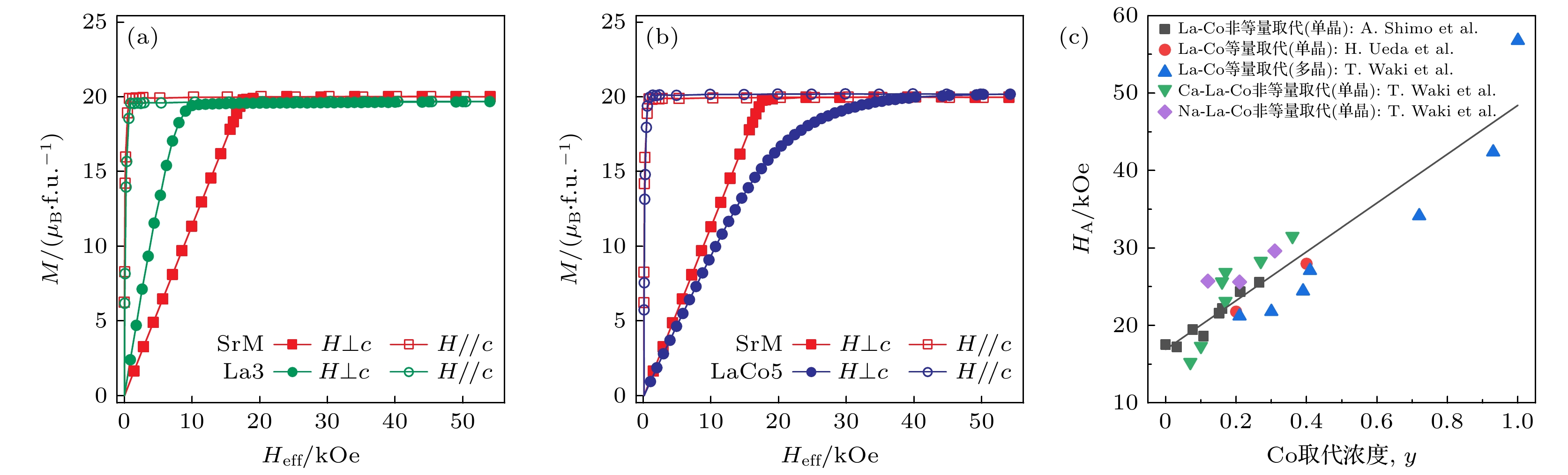
Abstract:
La-Co co-substituted M-type ferrite, which was first reported at the end of the 20th century, as the cornerstone of high-performance permanent magnet ferrites, has received increasing attention from researchers around the world. The unquenched orbital moments of Co
2+play a pivotal role in enhancing the uniaxial anisotropy of M-type ferrites. However, a comprehensive understanding of its microscopic mechanism remains elusive. In order to meet the increasing performance requirements of ferrite materials, it is imperative to clarify the mechanism behind the enhancement of magnetic anisotropy, and at the same time seek the guiding principles that are helpful to develop high-performance product quickly and economically. But its mechanism at a microscopic level has not been explained. This review comprehensively analyzes various studies aiming at pinpointing the crystal sites of Co substitution within the lattice. These investigations including neutron diffraction, nuclear magnetic resonance, and Mössbauer spectroscopy can reveal the fundamental origins behind the enhancement of magnetic anisotropy, thereby providing valuable insights for material design strategies aiming at further enhancing the magnetic properties of permanent magnet ferrites.
The exploration of co-substitution sites has yielded noteworthy findings. Through careful examination and analysis, researchers have discovered the complex interplay between Co ions and the lattice structure, revealing the mechanisms of enhanced magnetic anisotropy. The current mainstream view is that Co ions tend to occupy more than one site, namely the 4
f
1, 12
k, and 2
asites, all of which are located within the spinel lattice. However, there have also been differing viewpoints, implying that further exploration is needed to uncover the primary controlling factors influencing Co occupancy. It is worth noting that the identification of specific Co substitution sites, especially the spin-down tetrahedron 4
f
1, has achieved targeted modifications, ultimately fine-tuning the magnetic properties with remarkable precision.
Furthermore, the reviewed research emphasizes the pivotal role of crystallographic engineering in tailoring the magnetic characteristics of ferrite materials. By strategically manipulating Co substitution, researchers have utilized the intrinsic properties of the lattice to amplify magnetic anisotropy, thereby unlocking new avenues for the advancement of permanent magnet ferrites.
In conclusion, the collective findings outlined in this review herald a promising trajectory for the field of permanent magnet ferrites. With a detailed understanding of Co-substitution mechanisms, researchers are preparing to open up new avenues for developing next-generation ferrite materials with enhanced magnetic properties.
2024, 73(12): 128901.
doi:10.7498/aps.73.20240270
Abstract:
Complex networks serve as indispensable instruments for characterizing and understanding intricate real-world systems. Recently, researchers have delved into the realm of higher-order networks, seeking to delineate interactions within these networks with greater precision or analyze traditional pairwise networks from a higher-dimensional perspective. This effort has unearthed some new phenomena different from those observed in the traditional pairwise networks. However, despite the importance of higher-order networks, research in this area is still in its infancy. In addition, the complexity of higher-order interactions and the lack of standardized definitions for structure-based statistical indicators, also pose challenges to the investigation of higher-order networks. In recognition of these challenges, this paper presents a comprehensive survey of commonly employed statistics and their underlying physical significance in two prevalent types of higher-order networks: hypergraphs and simplicial complex networks. This paper not only outlines the specific calculation methods and application scenarios of these statistical indicators, but also provides a glimpse into future research trends. This comprehensive overview serves as a valuable resource for beginners or cross-disciplinary researchers interested in higher-order networks, enabling them to swiftly grasp the fundamental statistics pertaining to these advanced structures. By promoting a deeper understanding of higher-order networks, this paper facilitates quantitative analysis of their structural characteristics and provides guidance for researchers who aim to develop new statistical methods for higher-order networks.
Complex networks serve as indispensable instruments for characterizing and understanding intricate real-world systems. Recently, researchers have delved into the realm of higher-order networks, seeking to delineate interactions within these networks with greater precision or analyze traditional pairwise networks from a higher-dimensional perspective. This effort has unearthed some new phenomena different from those observed in the traditional pairwise networks. However, despite the importance of higher-order networks, research in this area is still in its infancy. In addition, the complexity of higher-order interactions and the lack of standardized definitions for structure-based statistical indicators, also pose challenges to the investigation of higher-order networks. In recognition of these challenges, this paper presents a comprehensive survey of commonly employed statistics and their underlying physical significance in two prevalent types of higher-order networks: hypergraphs and simplicial complex networks. This paper not only outlines the specific calculation methods and application scenarios of these statistical indicators, but also provides a glimpse into future research trends. This comprehensive overview serves as a valuable resource for beginners or cross-disciplinary researchers interested in higher-order networks, enabling them to swiftly grasp the fundamental statistics pertaining to these advanced structures. By promoting a deeper understanding of higher-order networks, this paper facilitates quantitative analysis of their structural characteristics and provides guidance for researchers who aim to develop new statistical methods for higher-order networks.
2024, 73(12): 120501.
doi:10.7498/aps.73.20240334
Abstract:
High-order interactions as exemplified by simplex and hyper-edge structures have emerged as a prominent area of interest in complex network research. These high-order interactions introduce much complexity into the interplay between nodes, which often require advanced analytical approaches to fully characterize the underlying network structures. For example, methods based on statistical dependencies have been proposed to identify high-order structures from multi-variate time series. In this work, we reconstruct the simplex structures of a network based on synchronization dynamics between network nodes. More specifically, we construct a topological structure of network by examining the temporal synchronization of phase time series data derived from the Kuramoto-Sakaguchi (KS) model. In addition, we show that there is an analytical relationship between the Laplacian matrix of the network and phase variables of the linearized KS model. Our method identifies structural symmetric nodes within a network, which therefore builds a correlation between node synchronization behavior and network’s symmetry. This representation allows for identifying high-order network structure, showing its advantages over statistical methods. In addition, remote synchronization is a complex dynamical process, where spatially separated nodes within a network can synchronize their states despite the lack of direct interaction. Furthermore, through numerical simulations, we observe the strong correlation between remote synchronization among indirectly interacting nodes and the network’s underlying symmetry. This finding reveals the intricate relationship between network structure and the dynamical process. In summary, we propose a powerful tool for analyzing complex networks, in particular uncovering the interplay between network structure and dynamics. We provide novel insights for further exploring and understanding the high-order interactions and the underlying symmetry of complex networks.
High-order interactions as exemplified by simplex and hyper-edge structures have emerged as a prominent area of interest in complex network research. These high-order interactions introduce much complexity into the interplay between nodes, which often require advanced analytical approaches to fully characterize the underlying network structures. For example, methods based on statistical dependencies have been proposed to identify high-order structures from multi-variate time series. In this work, we reconstruct the simplex structures of a network based on synchronization dynamics between network nodes. More specifically, we construct a topological structure of network by examining the temporal synchronization of phase time series data derived from the Kuramoto-Sakaguchi (KS) model. In addition, we show that there is an analytical relationship between the Laplacian matrix of the network and phase variables of the linearized KS model. Our method identifies structural symmetric nodes within a network, which therefore builds a correlation between node synchronization behavior and network’s symmetry. This representation allows for identifying high-order network structure, showing its advantages over statistical methods. In addition, remote synchronization is a complex dynamical process, where spatially separated nodes within a network can synchronize their states despite the lack of direct interaction. Furthermore, through numerical simulations, we observe the strong correlation between remote synchronization among indirectly interacting nodes and the network’s underlying symmetry. This finding reveals the intricate relationship between network structure and the dynamical process. In summary, we propose a powerful tool for analyzing complex networks, in particular uncovering the interplay between network structure and dynamics. We provide novel insights for further exploring and understanding the high-order interactions and the underlying symmetry of complex networks.
2024, 73(12): 120701.
doi:10.7498/aps.73.20240383
Abstract:
X-ray free-electron laser (XFEL), as a novel advanced X-ray light source, has excellent properties such as ultra-high brightness, ultra-shot pulse duration, and full coherence. The coherent X-ray diffraction imaging (CDI) has a lot of advantages at high resolution and quantitative imaging compared with the traditional lens based X-ray imaging methods. By combining the excellent properties of XFEL and advantages of CDI, the single-shot imaging has been realized, based on the concept of “diffraction before destruction”. Shanghai soft X-ray free-electron laser facility (SXFEL) is the first XFEL facility operated at the X-ray wavelength in China. The coherent scattering and imaging (CSI) endstation is the first commissioned endstation at SXFEL, focusing on the high spatiotemporal imaging for nano materials and micro materials by using a single-shot imaging method. To realize the single-shot experiment at XFEL, especially for single-shot imaging, the timing system plays a crucial role in ensuring the operation of the equipment in sequence. This paper introduces the design and implementation process of SXFEL single-shot imaging timing. The timing system is implemented with White Rabbit (WR) and digital delay and pulse generator (BNC505). Single-shot imaging is realized by synchronously moving the sample scanning stages and X-ray shutter to select a single pulse to illuminate the sample. At the same time, the X-ray detector is triggered with the timing system to record the single-shot diffraction pattern. During debugging, a gold nanodisks each with a side length of approximately 300 nm and a thickness of about 30 nm, as test samples, are imaged at the CSI endstation. The nanodisks are uniformly dispersed on Si3N4membranes for single-shot imaging. Because of the ultra-high peak intensity at the focus spot, the samples and membrane are ionized for each XFEL pulse shot. A raster scan is performed on the membranes at intervals of 50 μm to update the sample. With the timing system and X-ray shutter, single-shot diffraction patterns can be recorded by using an X-ray detector. From the image of the Si3N4membrane after raster scanning, the ionized holes with an interval of 50 μm can be recognized. Finally, phase retrieval is applied to the single-shot diffraction pattern to obtain a real-space image of the sample. The resolution of the reconstructed image is estimated by calculating the phase-retrieval transfer function (PRTF). With a citation of the PRTF curve dropping below
\begin{document}$ 1/{\mathrm{e}} $\end{document}
, the spatial frequency cutoff is determined to be 22.6 μm–1, corresponding to a half period resolution of 22.1 nm. The results show that the designed timing system can accurately control the time sequence of the imaging process, meeting the requirement for single-shot imaging within 50 Hz at SXFEL.
X-ray free-electron laser (XFEL), as a novel advanced X-ray light source, has excellent properties such as ultra-high brightness, ultra-shot pulse duration, and full coherence. The coherent X-ray diffraction imaging (CDI) has a lot of advantages at high resolution and quantitative imaging compared with the traditional lens based X-ray imaging methods. By combining the excellent properties of XFEL and advantages of CDI, the single-shot imaging has been realized, based on the concept of “diffraction before destruction”. Shanghai soft X-ray free-electron laser facility (SXFEL) is the first XFEL facility operated at the X-ray wavelength in China. The coherent scattering and imaging (CSI) endstation is the first commissioned endstation at SXFEL, focusing on the high spatiotemporal imaging for nano materials and micro materials by using a single-shot imaging method. To realize the single-shot experiment at XFEL, especially for single-shot imaging, the timing system plays a crucial role in ensuring the operation of the equipment in sequence. This paper introduces the design and implementation process of SXFEL single-shot imaging timing. The timing system is implemented with White Rabbit (WR) and digital delay and pulse generator (BNC505). Single-shot imaging is realized by synchronously moving the sample scanning stages and X-ray shutter to select a single pulse to illuminate the sample. At the same time, the X-ray detector is triggered with the timing system to record the single-shot diffraction pattern. During debugging, a gold nanodisks each with a side length of approximately 300 nm and a thickness of about 30 nm, as test samples, are imaged at the CSI endstation. The nanodisks are uniformly dispersed on Si3N4membranes for single-shot imaging. Because of the ultra-high peak intensity at the focus spot, the samples and membrane are ionized for each XFEL pulse shot. A raster scan is performed on the membranes at intervals of 50 μm to update the sample. With the timing system and X-ray shutter, single-shot diffraction patterns can be recorded by using an X-ray detector. From the image of the Si3N4membrane after raster scanning, the ionized holes with an interval of 50 μm can be recognized. Finally, phase retrieval is applied to the single-shot diffraction pattern to obtain a real-space image of the sample. The resolution of the reconstructed image is estimated by calculating the phase-retrieval transfer function (PRTF). With a citation of the PRTF curve dropping below
2024, 73(12): 120702.
doi:10.7498/aps.73.20240283
Abstract:
The prediction of heat transfer coefficients or wall temperatures of heat exchanger tubes is an important research topic in supercritical heat transfer, which is extremely significant for the application of supercritical fluids in industrial production and the design of the entire thermal system. At present, the empirical correlation method is the most widely adopted prediction method, but its predicted heat transfer coefficient still has significant difference from the actual data near the pseudo-critical temperature. Therefore, some scholars proposed using artificial neural networks to predict the heat transfer performance of supercritical fluids in tubes. On the basis of previous researches, this work further explores the effectiveness of artificial neural network in predicting supercritical heat transfer, focusing on the influence of input parameters on neural network prediction results and the influence of genetic algorithm optimization on the prediction results.
In this research, a neural network prediction model for supercritical R1234ze(E) cooled in horizontal straight tubes is established and compared with the modified D-B heat transfer correlation. The result shows that the input parameter has great influence on the prediction accuracy of BPNN, and not all BPNN input parameter combinations can bring better prediction results than heat transfer correlation. The combination of
\begin{document}$ {{Re} _{\text{b}}} $\end{document}
,
\begin{document}$ {Pr _{\text{b}}} $\end{document}
,
\begin{document}$ {{{\rho _{\text{b}}}} \mathord{\left/ {\vphantom {{{\rho _{\text{b}}}} {{\rho _{\text{w}}}}}} \right. } {{\rho _{\text{w}}}}} $\end{document}
,
\begin{document}$ {{{{\overline C }_{\text{p}}}} \mathord{\left/ {\vphantom {{{{\overline C }_{\text{p}}}} {{C_{{\text{pw}}}}}}} \right. } {{C_{{\text{pw}}}}}} $\end{document}
,
\begin{document}$ {{{\lambda _{\text{b}}}} \mathord{\left/ {\vphantom {{{\lambda _{\text{b}}}} {{\lambda _{\text{w}}}}}} \right. } {{\lambda _{\text{w}}}}} $\end{document}
,
\begin{document}$ {{{\mu _{\text{b}}}} \mathord{\left/ {\vphantom {{{\mu _{\text{b}}}} {{\mu _{\text{w}}}}}} \right. } {{\mu _{\text{w}}}}} $\end{document}
features the best prediction performance. The AAD and Error
maxof the prediction result for the trial set are only 2.02% and 9.34%, which are far lower than the prediction deviation of the heat transfer correlation, and the predictions of the trend of
hin the high temperature region, the maximum value of
hand the position of the peak value of
hare more precise than heat transfer correlation. Moreover, this research compares GA-BP model with BP model under two different fitness value calculation methods to reveal the effectiveness of GA-BP in enhancing the prediction accuracy of supercritical heat transfer, concluding that when the same dataset is adopted for network training and fitness value calculation, over-fitting will occur and the GA-BP cannot further improve the prediction accuracy; when different datasets are used to train the network and calculate the fitness value, the generalization ability of the network will be strengthened, and the root mean square deviation and the maximum deviation of the prediction result can be further reduced.
This work will provide a practical tool for predicting the cooling convection heat transfer of supercritical R1234ze(E) in horizontal tubes, laying the foundation for its application in trans-critical heat pump systems, and providing inspiration for potential research directions of ANN in supercritical heat transfer prediction.
2024, 73(12): 120703.
doi:10.7498/aps.73.20240200
Abstract:
In imaging spectrometers, area array detectors are usually used as photoelectric conversion devices, but the inconsistency of the spectral response among pixels can distort the collected target spectra. To improve the spectral radiometric accuracy of imaging spectrometers, calibrating and correcting the inconsistency of the spectral response among pixels is essential. The signal received by each pixel of area array detector of the indirect imaging spectrometer is usually the superposition of the target multi-spectral radiation signals or full-spectral radiation signals. Therefore, its relative spectral radiometric calibration requires measuring the spectral response of each pixel at different wavelengths on the array detector. Under the ideal conditions, the response values of each pixel in the area array detector are different, so the indirect imaging spectrometer cannot simply calibrate the relative spectral response (RSR) function between pixels by using the method of “monochromator + integrating sphere”. In this work, taking the interferometric imaging spectrometer for example, we analyze the influence of the inconsistency of the RSR among pixels on the target spectral radiation measurement accuracy, and propose a system-level RSR function measurement method for the indirect imaging spectrometer based on the Fourier transform modulation calibration source. In addition, we establish a mathematical model for calibrating the RSR function,and provide guidelines for selecting calibration system parameters such as light source, spectral resolution, and OPD sampling interval. The simulation results show that under the ideal noise-free condition, the 1% spectral response inconsistency among pixels results in a relative error of 1.02% to the recovered spectra. After RSR correction, the relative error of the recovered spectra of different rows decreases to 0.08%. Furthermore, in this work we simulate and analyse the influence of spectral signal-to-noise ratio on the calibration accuracy of the RSR function, and point out that increasing the brightness of the calibration light source, extending exposure time, and combining multi-frame interferograms can enhance RSR function calibration accuracy in practical applications. The research result can provide a theoretical basis for realizing the relative spectral radiometric calibration of indirect imaging spectrometer, which is of great significance in promoting quantitative spectral remote sensing.
In imaging spectrometers, area array detectors are usually used as photoelectric conversion devices, but the inconsistency of the spectral response among pixels can distort the collected target spectra. To improve the spectral radiometric accuracy of imaging spectrometers, calibrating and correcting the inconsistency of the spectral response among pixels is essential. The signal received by each pixel of area array detector of the indirect imaging spectrometer is usually the superposition of the target multi-spectral radiation signals or full-spectral radiation signals. Therefore, its relative spectral radiometric calibration requires measuring the spectral response of each pixel at different wavelengths on the array detector. Under the ideal conditions, the response values of each pixel in the area array detector are different, so the indirect imaging spectrometer cannot simply calibrate the relative spectral response (RSR) function between pixels by using the method of “monochromator + integrating sphere”. In this work, taking the interferometric imaging spectrometer for example, we analyze the influence of the inconsistency of the RSR among pixels on the target spectral radiation measurement accuracy, and propose a system-level RSR function measurement method for the indirect imaging spectrometer based on the Fourier transform modulation calibration source. In addition, we establish a mathematical model for calibrating the RSR function,and provide guidelines for selecting calibration system parameters such as light source, spectral resolution, and OPD sampling interval. The simulation results show that under the ideal noise-free condition, the 1% spectral response inconsistency among pixels results in a relative error of 1.02% to the recovered spectra. After RSR correction, the relative error of the recovered spectra of different rows decreases to 0.08%. Furthermore, in this work we simulate and analyse the influence of spectral signal-to-noise ratio on the calibration accuracy of the RSR function, and point out that increasing the brightness of the calibration light source, extending exposure time, and combining multi-frame interferograms can enhance RSR function calibration accuracy in practical applications. The research result can provide a theoretical basis for realizing the relative spectral radiometric calibration of indirect imaging spectrometer, which is of great significance in promoting quantitative spectral remote sensing.
2024, 73(12): 120704.
doi:10.7498/aps.73.20240043
Abstract:
In recent years, regulating organic functional molecule has gradually received much attention in the field of materials due to its significant contribution in improving the charge carrier mobility of nanometer optoelectronic device. Molecular configuration and assembly structure of vanadyl phthalocyanine (VOPc) are systemically investigated on pristine and oxidized Cu(110) surface by using low temperature scanning tunneling microscopy. In the initial deposition stage, two molecular adsorption configurations, referring to O-up and O-down, are randomly distributed on the pristine Cu(110) surface. By oxidizing Cu(110) at different oxygen atmospheres and substrate temperatures, two different copper oxide structures are obtained, i.e. CuO-(2×1) and Cu5O6-c(6×2). The VOPc molecules are then deposited on both surfaces via thermal evaporation. For the CuO-(2×1) surface, contrastly, extended molecular chains form in the initial adsorption and subsequently the VOPc molecules assemble into an ordered molecular film involving both configurations. The VOPc molecules shows two packing orientations with a rotation angle of about 36° relative to each other. On Cu5O6-c(6×2), the O-down and O-up molecules are isolatedly adsorbed at the initial coverage. As the coverage increases, molecular assembly film gradually forms a parallelogram-shaped unit cell that involves only the O-up molecules. The molecular film exhibits two distinct molecular orientations with a rotation angle of about 42° relative to each other. The dipole-dipole interaction drives the configuration transition from the O-up configuration to O-down configuration. The O-down VOPc molecules of the second layer tend to be adsorbed on the molecular membrane supported by the Cu5O6-c(6×2) surface. The dipole-dipole interaction between neighboring molecular layers may be responsible for the preferable adsorption of the second-layered molecules. This study suggests the importance of surface oxidization in modifying configurations and orbital distributions of adsorbed molecules that can affect the charge transport in molecular films during fabricating electronic devices.
In recent years, regulating organic functional molecule has gradually received much attention in the field of materials due to its significant contribution in improving the charge carrier mobility of nanometer optoelectronic device. Molecular configuration and assembly structure of vanadyl phthalocyanine (VOPc) are systemically investigated on pristine and oxidized Cu(110) surface by using low temperature scanning tunneling microscopy. In the initial deposition stage, two molecular adsorption configurations, referring to O-up and O-down, are randomly distributed on the pristine Cu(110) surface. By oxidizing Cu(110) at different oxygen atmospheres and substrate temperatures, two different copper oxide structures are obtained, i.e. CuO-(2×1) and Cu5O6-c(6×2). The VOPc molecules are then deposited on both surfaces via thermal evaporation. For the CuO-(2×1) surface, contrastly, extended molecular chains form in the initial adsorption and subsequently the VOPc molecules assemble into an ordered molecular film involving both configurations. The VOPc molecules shows two packing orientations with a rotation angle of about 36° relative to each other. On Cu5O6-c(6×2), the O-down and O-up molecules are isolatedly adsorbed at the initial coverage. As the coverage increases, molecular assembly film gradually forms a parallelogram-shaped unit cell that involves only the O-up molecules. The molecular film exhibits two distinct molecular orientations with a rotation angle of about 42° relative to each other. The dipole-dipole interaction drives the configuration transition from the O-up configuration to O-down configuration. The O-down VOPc molecules of the second layer tend to be adsorbed on the molecular membrane supported by the Cu5O6-c(6×2) surface. The dipole-dipole interaction between neighboring molecular layers may be responsible for the preferable adsorption of the second-layered molecules. This study suggests the importance of surface oxidization in modifying configurations and orbital distributions of adsorbed molecules that can affect the charge transport in molecular films during fabricating electronic devices.
2024, 73(12): 123201.
doi:10.7498/aps.73.20240292
Abstract:
Attosecond pulses provide higher measurement precision for analyzing ultrafast dynamics in atoms, molecules, and electrons, laying the foundation for studying electronic motion in atomic and molecular systems. The most important method currently is to generate attosecond pulse trains and isolated attosecond pulses through the interaction of femtosecond lasers with gases. The temporal information of attosecond pulses and the dynamic information of electrons can be extracted from spectrograms by using attosecond streak camera or the reconstruction of attosecond beating by interference of two-photon transitions (RABBITT) method based on two-photon transition interference. Although the differences in phase among different high-order harmonics can be directly extracted from the oscillation frequencies of sidebands, the iterative algorithm of attosecond streak camera can provide complete phase information of attosecond pulse trains to better support the study of electron dynamics in atoms.
Research purpose This work is dedicated to the investigation of the generation, measurement, and characterization of attosecond pulse train (APT), which are essential for probing ultrafast dynamics in atomic, molecular, and electronic systems. The focus is on the generation of APTs through interactions between femtosecond lasers and gases, as well as the extraction of temporal and dynamic information from these pulses by using advanced spectroscopic techniques such as the RABITT method.
Methods The experimental approach involves the use of a homebuilt femtosecond titanium sapphire regenerative amplifier to produce high-order harmonics, leading to the generation of APTs. The setup includes the homebuilt titanium sapphire chirped pulse amplifier and a collinear attosecond pulse generation and measurement beamline, which are used to conduct RABITT experiments. The process requires the interaction of femtosecond lasers with gas targets to generate high-energy photons in the extreme ultraviolet and soft X-ray spectral ranges. By optimizing the phase-matching conditions within the gas target, strong high-order harmonic signals are observed on an XUV spectrometer. The temporal information of the attosecond pulses is indirectly measured through the photoelectron spectrum produced by the interaction of attosecond pulses with femtosecond lasers. The research also employs the FROG-CRAB algorithm and the extended phase retrieval and iterative engine (ePIE) algorithm for temporally reconstructing APTs and attempts to use a genetic algorithm to extract phase information.
Results The study yields three sets of RABITT spectrograms, which are analyzed by using the RABITT sideband phase method to directly reconstruct APTs. Fourier transform analysis is used to extract phase differences between sidebands, offering insights into the phase differences between corresponding high-order harmonics. This method, however, provides an estimation of the phase in the center of each harmonic order, which does not fully represent the actual pulse shape. The FROG-CRAB algorithm and ePIE algorithm successfully reconstructs the attosecond pulse trains from the RABITT spectrograms, revealing similar temporal pulse train morphologies. In contrast, the genetic algorithm, despite its potential for high constraint optimization, does not yield satisfactory results, possibly due to the sensitivity of the algorithm to discrepancies between theoretical simulations and experimental data.
Conclusions The research concludes that achieving ideal inversion results for APTs necessitates small time delay steps and a wide scanning range in the experimental data collection process to ensure a rich dataset for inversion. The FROG-CRAB algorithm and ePIE algorithm demonstrate their effective performance in reconstructing APTs, with ePIE showing higher computational efficiency. The genetic algorithm, while offering a high degree of constraint, faces challenges and requires to be further refined. The study underscores the importance of the signal-to-noise ratio in experimental data for the accuracy of inversion results. This work provides significant guidance for future measuring electron dynamics and explaining their evolution patterns, contributing valuable experimental methods and data analysis techniques to the field of attosecond science.
2024, 73(12): 123401.
doi:10.7498/aps.73.20240408
Abstract:
Due to its unique characteristics, metal tungsten has been selected as the wall material for the tokamak magnetic confinement fusion device. The wall material directly interacts with the plasma for a long time, thus causing tungsten atoms and ions to be sputtered and ionized into different charge states, which then enter the tokamak device as plasma impurities. To ensure stable plasma combustion conditions, highly complex model is currently being used to evaluate the behavior of tungsten impurities and their influence on the tokamak plasma. This requires various high-precision atomic data for tungsten atoms and different ionized states of tungsten ions. Electron collision ionization, as a fundamental atomic physical process, is widely encountered in laboratory and astrophysical plasma environments. The parameters such as electron collision ionization cross-sections and rate coefficients are crucial for plasma radiation transport simulations and state diagnostics.
Electron-impact single-ionization (EISI) cross sections of the ground state and metastable state for W
6+ions are calculated by using the level-to-level distorted-wave (LLDW) method. The contributions of direct ionization (DI) cross section and excited autoionization (EA) cross section to the total EISI cross section are primarily considered.
Comparison of our calculation results with the experimental data from Stenke et al. (Stenke M, Aichele K, Harthiramani D, Hofmann G, Steidl M, Volpel R, Salzborn E
1995
J. Phys. B: At. Mol. Opt. Phys.
282711
) reveals that the EISI cross section considering only the ground state is significantly smaller than the experimental result. Therefore, it is imperative to take into account the contribution from the metastable state. To determine the fraction of ions in long-lived energy levels within the parent ion beam, three models are employed.
Our results, which include the contribution of metastable states, accord well with the experimental results of Stenke et al. Compared with the theoretical calculation result of Pindzola et al. our calculaiton provides a more comprehensive understanding of the electron-impact single-ionization process for W
6+ions. The comparison is illustrated in the attached figure.
2024, 73(12): 123402.
doi:10.7498/aps.73.20240211
Abstract:
The experimental study of precision spectroscopy of dielectronic recombination (DR) of highly charged ions is not only important for astronomical plasma and fusion plasma, but also can be used as a new precision spectroscopy to test the strong-field quantum electrodynamic effect, measure isotope shift, and extract the radius of atomic nuclei. An specially designed electron beam energy detuning system for electron-ion recombination precision spectroscopy experiments has been installed on the heavy ion storage ring CSRe in Lanzhou, China, where the electron-ion collision energy in the center-of-mass system can be detuned to 1 keV, and an independently-developed plastic scintillator detector and multiwire proportional chamber detector have been installed downstream of the electron cooler of the CSRe for detecting recombined ions. The multiwire proportional chamber detector has the ability to non-destructively monitor the profile of the ion beam in real-time while acquiring the recombined ion counts, providing guidance for optimizing the ion beam. On this basis, the first test experiment on dielectronic recombination of Kr25+ions is carried out at the CSRe, and the dielectronic recombination rate coefficients in a range of 0–70 eV in the frame of center-of-mass are measured. In order to fully understand the experimental results, we calculate the dielectronic recombination rate coefficient of the Kr25+ion by using the flexible atomic code (FAC) and make a detailed comparison with the experimental result, showing that they are in good agreement with each other, and only the resonance energy values of the two resonance peaks at 1.695 eV and 2.573 eV are significantly different. In addition, the DR resonance energy values and intensities are obtained by fitting the experimental results in a range of 0–35 eV, and we find that the transition 3s→4l (∆n= 1) contributes significantly to the experimental spectral lines. Furthermore, we compare the plasma rate coefficients derived from the DR rate coefficients with those derived from the AUTOSTRUCTURE and FAC theories, which differ by 20 percent in a temperature range less than 106K. The experimental results show that the DR experimental platform of the CSRe has very good stability and reproducibility, and can provide support for the future DR experiments of highly charged ion, i.e. for testing strong-field quantum electrodynamics effect and measuring the properties of atomic nuclei.
The experimental study of precision spectroscopy of dielectronic recombination (DR) of highly charged ions is not only important for astronomical plasma and fusion plasma, but also can be used as a new precision spectroscopy to test the strong-field quantum electrodynamic effect, measure isotope shift, and extract the radius of atomic nuclei. An specially designed electron beam energy detuning system for electron-ion recombination precision spectroscopy experiments has been installed on the heavy ion storage ring CSRe in Lanzhou, China, where the electron-ion collision energy in the center-of-mass system can be detuned to 1 keV, and an independently-developed plastic scintillator detector and multiwire proportional chamber detector have been installed downstream of the electron cooler of the CSRe for detecting recombined ions. The multiwire proportional chamber detector has the ability to non-destructively monitor the profile of the ion beam in real-time while acquiring the recombined ion counts, providing guidance for optimizing the ion beam. On this basis, the first test experiment on dielectronic recombination of Kr25+ions is carried out at the CSRe, and the dielectronic recombination rate coefficients in a range of 0–70 eV in the frame of center-of-mass are measured. In order to fully understand the experimental results, we calculate the dielectronic recombination rate coefficient of the Kr25+ion by using the flexible atomic code (FAC) and make a detailed comparison with the experimental result, showing that they are in good agreement with each other, and only the resonance energy values of the two resonance peaks at 1.695 eV and 2.573 eV are significantly different. In addition, the DR resonance energy values and intensities are obtained by fitting the experimental results in a range of 0–35 eV, and we find that the transition 3s→4l (∆n= 1) contributes significantly to the experimental spectral lines. Furthermore, we compare the plasma rate coefficients derived from the DR rate coefficients with those derived from the AUTOSTRUCTURE and FAC theories, which differ by 20 percent in a temperature range less than 106K. The experimental results show that the DR experimental platform of the CSRe has very good stability and reproducibility, and can provide support for the future DR experiments of highly charged ion, i.e. for testing strong-field quantum electrodynamics effect and measuring the properties of atomic nuclei.
2024, 73(12): 124101.
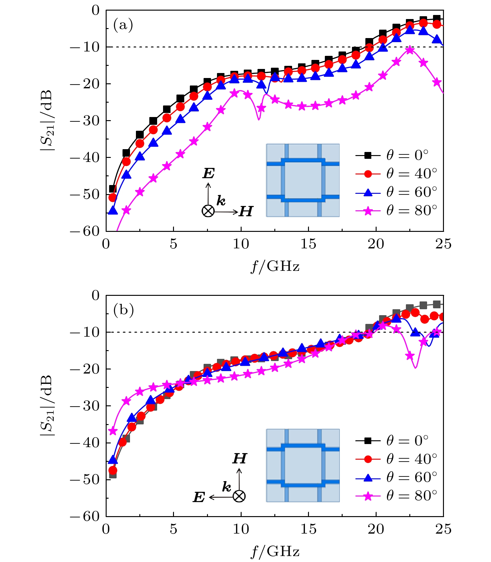
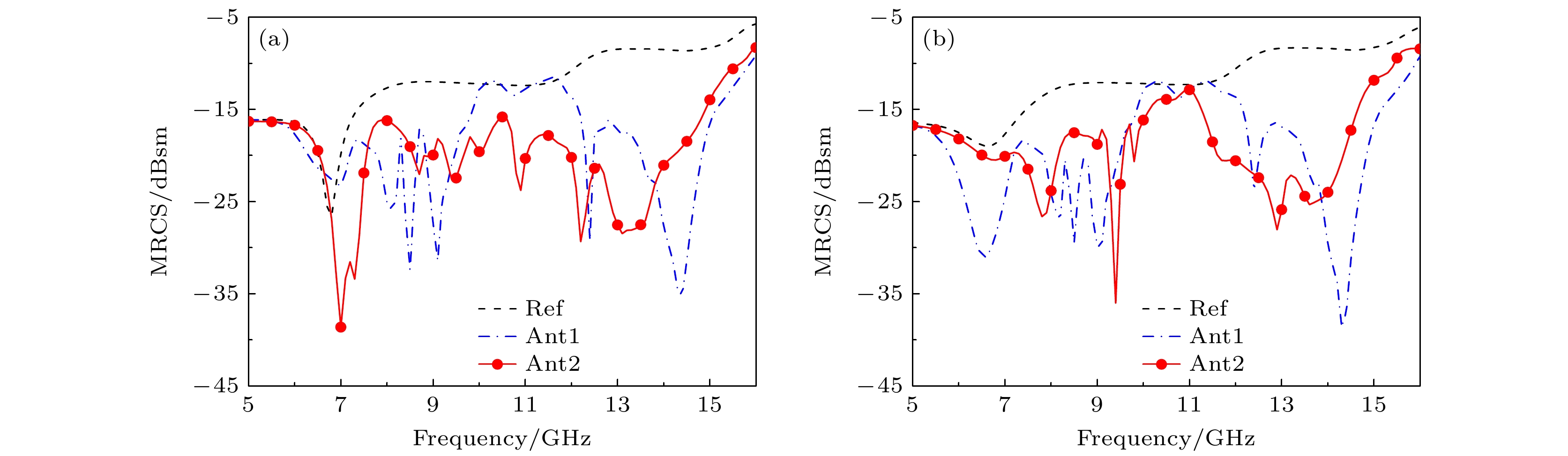
doi:10.7498/aps.73.20240142
Abstract:
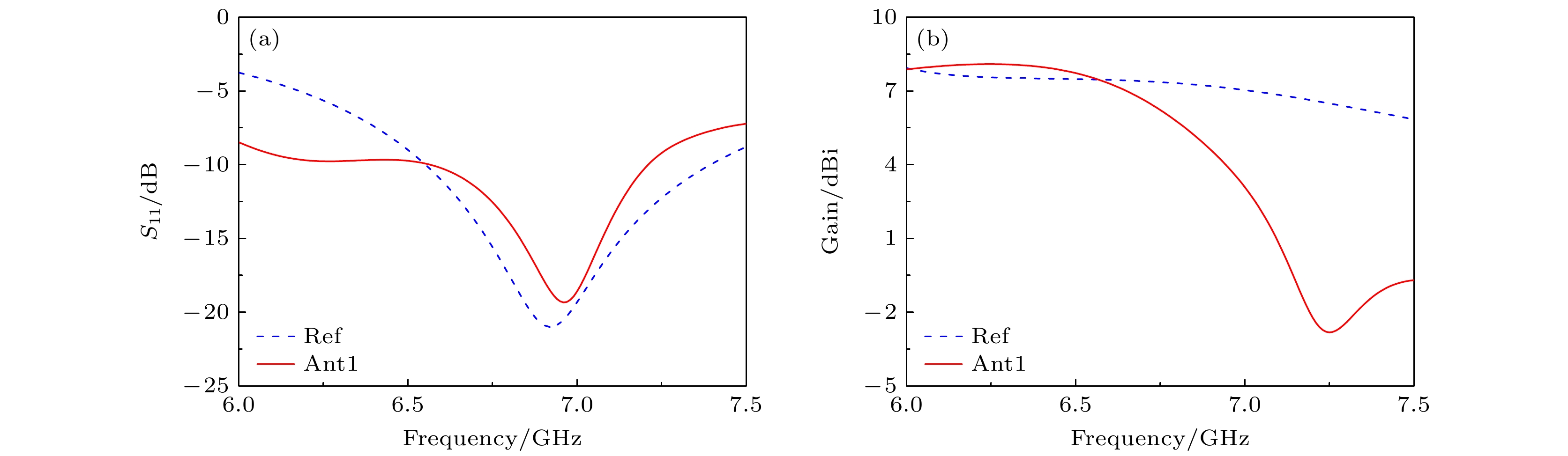
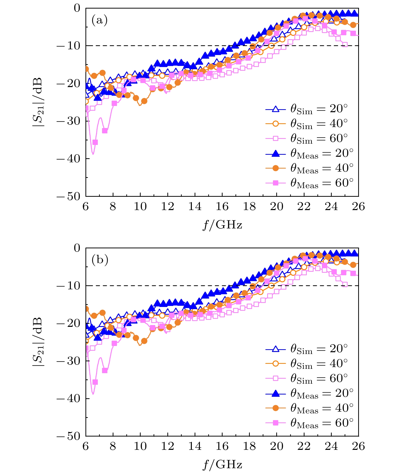
In this paper, a novel shared-aperture method of electromagnetic metasurface and antenna is proposed to obtain low radar-cross-section (RCS) performance. In this method, the low-RCS metasurface is first designed, then this metasurface is combined with traditional antenna to obtain novel low-RCS antenna based on shared-aperture technique. Besides, the analysis and corresponding local structure modification are also conducted to ensure that the antenna has good radiation performance while reducing broadband RCS. Using this method, a dual-layer polarization rotation unit cell is first proposed and its broadband working principle is investigated by both theoretical analysis and numerical comparison. Based on this unit cell, a broadband low-RCS metasurface is constructed. Then an initial shared-aperture metasurface antenna is obtained by substituting the middle cells in the metasurface with traditional patch antenna directly. Through careful analysis of surface current in radiation mode, the gain decrease of this metasurface antenna is revealed. On this basis, a finite removal strategy is put forward and some metasurface cells in the antenna are removed by using the electric current analysis. Consequently, an improved shared-aperture metasurface antenna is proposed. This improved antenna works in a frequency range from 6.3 to 7.48 GHz, which is slightly wider than the traditional patch antenna. Its gain is also higher than that of traditional antenna, with a maximum improvement of 1 dB. Meanwhile, the apparent RCS decreases from 6 to 16 GHz for any polarized incident wave, and the reduction peak is larger than 20 dB. Finally, fabrications and measurements are conducted. The measurement results and numerical calculations are in good agreement. The well-behaved radiation performance and broadband low-RCS property of this metasurface antenna verify the effectiveness of the proposed method. Unlike most of reported design methods of low-RCS antennas directly from traditional antennas, the proposed method adopts reverse thinking to transform scattering optimization into radiation optimization, realizing the integration between metasurface and antenna, thus making low-RCS antenna design easier and faster.
In this paper, a novel shared-aperture method of electromagnetic metasurface and antenna is proposed to obtain low radar-cross-section (RCS) performance. In this method, the low-RCS metasurface is first designed, then this metasurface is combined with traditional antenna to obtain novel low-RCS antenna based on shared-aperture technique. Besides, the analysis and corresponding local structure modification are also conducted to ensure that the antenna has good radiation performance while reducing broadband RCS. Using this method, a dual-layer polarization rotation unit cell is first proposed and its broadband working principle is investigated by both theoretical analysis and numerical comparison. Based on this unit cell, a broadband low-RCS metasurface is constructed. Then an initial shared-aperture metasurface antenna is obtained by substituting the middle cells in the metasurface with traditional patch antenna directly. Through careful analysis of surface current in radiation mode, the gain decrease of this metasurface antenna is revealed. On this basis, a finite removal strategy is put forward and some metasurface cells in the antenna are removed by using the electric current analysis. Consequently, an improved shared-aperture metasurface antenna is proposed. This improved antenna works in a frequency range from 6.3 to 7.48 GHz, which is slightly wider than the traditional patch antenna. Its gain is also higher than that of traditional antenna, with a maximum improvement of 1 dB. Meanwhile, the apparent RCS decreases from 6 to 16 GHz for any polarized incident wave, and the reduction peak is larger than 20 dB. Finally, fabrications and measurements are conducted. The measurement results and numerical calculations are in good agreement. The well-behaved radiation performance and broadband low-RCS property of this metasurface antenna verify the effectiveness of the proposed method. Unlike most of reported design methods of low-RCS antennas directly from traditional antennas, the proposed method adopts reverse thinking to transform scattering optimization into radiation optimization, realizing the integration between metasurface and antenna, thus making low-RCS antenna design easier and faster.
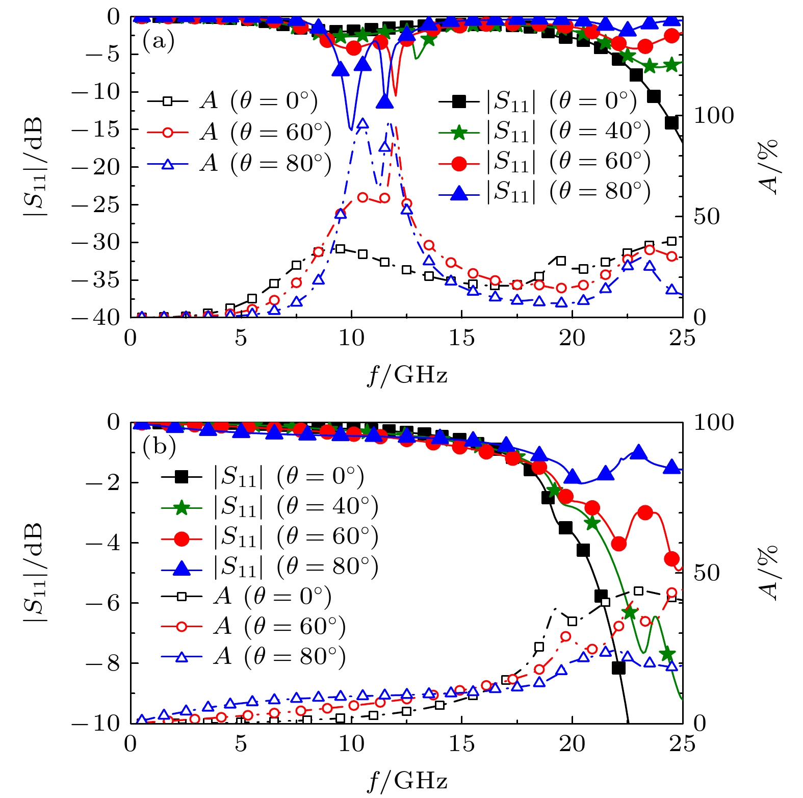
2024, 73(12): 124201.
doi:10.7498/aps.73.20240339
Abstract:
In view of the fact that high-frequency electromagnetic waves mainly enter buildings through windows and glass doors, switchable optically-transparent shielding with broad stopband is increasingly needed. Herein, a novel design for a switchable and optically transparent frequency selective surface (FSS) with ultrawide-stopband is presented in this study. The structure consists of a polymethyl methacrylate (PMMA) layer sandwiched between polydimethylsiloxane (PDMS) layers which contain liquid metal microchannels arranged in an orthogonal Ω-shaped configuration. The mobility of the liquid metal can switch the FSS response from an all-pass to an ultrawide bandstop behavior. The proposed FSS achieves a rejection bandwidth of 18.1 GHz, covering P, L, S, C, X and Ku bands, while maintaining a transparency of 81% and high angular stability up to 80°, regardless of polarization. Furthermore, the mechanism behind the ultrawide stopband and high angular stability is explored through an analysis of reflection and absorption for both TE polarization and TM polarization. Experimental validation under both normal and oblique incidence demonstrates the ultrawide-stopband performance of the fabricated FSS.
In view of the fact that high-frequency electromagnetic waves mainly enter buildings through windows and glass doors, switchable optically-transparent shielding with broad stopband is increasingly needed. Herein, a novel design for a switchable and optically transparent frequency selective surface (FSS) with ultrawide-stopband is presented in this study. The structure consists of a polymethyl methacrylate (PMMA) layer sandwiched between polydimethylsiloxane (PDMS) layers which contain liquid metal microchannels arranged in an orthogonal Ω-shaped configuration. The mobility of the liquid metal can switch the FSS response from an all-pass to an ultrawide bandstop behavior. The proposed FSS achieves a rejection bandwidth of 18.1 GHz, covering P, L, S, C, X and Ku bands, while maintaining a transparency of 81% and high angular stability up to 80°, regardless of polarization. Furthermore, the mechanism behind the ultrawide stopband and high angular stability is explored through an analysis of reflection and absorption for both TE polarization and TM polarization. Experimental validation under both normal and oblique incidence demonstrates the ultrawide-stopband performance of the fabricated FSS.
2024, 73(12): 124202.
doi:10.7498/aps.73.20240268
Abstract:
Fourier ptychography for high-resolution imaging has been a revolutionizing technical, since it can provide abundant information about target scene by changing illumination or pupil scanning. However, many objects are covered by dynamic scattering media, such as biological tissues and mist, that disrupts the light paths and forms the scattering wall, let alone high-resolution imaging. It is worth noting that the scatting effect caused by the scattering media will reduce the correlation of scattered light field, which makes the information aliasing difficult to extract. The situation becomes worse if the image scene is in color. Typically, the wavefront shaping, optical transmission matrix, and speckle correlation technique can successfully recover hidden targets form the scattered light field. Notably, the physical model of conventional method is limited by the difficultly in extracting target information from the strong scattering environment, especially in broadband light illumination imaging. Thus, it is limited to achieve super-resolution color imaging through scattering media by utilizing the current techniques.
In this work, we present a computational polarized colorful Fourier ptychography imaging approach for super-resolution perspective in broadband dynamic scattering media. In order to address the challenge of current imaging methods that is limited by the width of the light spectrum, the polarization characteristics of the scattered-light-field are explored. After retrieving a series of sub-polarized images, which bring the information about different frequencies caused by the motion of scattering media and are processed by the common-mode rejection of polarization characteristic, our computational approach utilizes the iterative optimization algorithm to recover the scene. Notably, owning to the difference between the target scattering information and background scattering information of scattered light fields with different polarization rotation angles, we can obtain two images in which the target information and the background information are dominant in the scattered field. Afterwards, a series of images containing target information and background information is used to iterate the Fourier ptychographyprogram to update the target image based on the obtained image sequence until the estimation converges. During the updating procedure, the scattering effect can be removed, and the spatial-resolution is improved.
Compared with traditional scattering imaging model, the proposed method can perform super-resolution color imaging and descattering under various conditions, and solve the problem of color cases. Furthermore, the proposed method is easy to incorporate into a traditional Fourier Ptychography imaging system to obtain high-fidelity images with better quality and effective detail information. Therefore, the proposed method has the potential to help super-resolution imaging to obtain more practical applications.
2024, 73(12): 124203.
doi:10.7498/aps.73.20231991
Abstract:
Transmitting optical information through scattering medium has broad application prospects in biomedical, aerospace and other fields. However, the light passing through the scattering medium will cause wavefront distortion and optical information blurring. Wavefront shaping technology uses a mathematical matrix to characterize the characteristics of scattering medium, which can achieve refocusing and imaging after light propagation through the scattering medium. It mainly includes optical phase conjugation, optical transmission matrix and wavefront shaping based on iterative optimization. However, the iterative wavefront shaping is considered to be a cost-effective method. Based on the wavefront amplitude modulation technology, the wavefront amplitude of the incident light is continuously adjusted by using the optimization algorithm to find the corresponding wavefront amplitude distribution that can maximize the light intensity in the target area. The system generates binary patterns implemented with digital-micromirror device (DMD) based on on-off state of micromirror, where “on” represents 1 and “off” refers to 0. The DMD has a high refresh rate and can achieve high speed wavefront amplitude modulation by using the iteration algorithm. In the experiment, the scattering medium is prepared with TiO2, water and gelatin, whose persistence times are controlled with the water-gelatin ratio (WGR). In addition, the Pearson correlation coefficient (Cor) curve obtained through 300-s-measurement under different WGR conditions, which shows that the greater WGR, the shorter the persistence time is. The experiment mainly studies the focusing of the spatial light through scattering media by wavefront amplitude modulation, and discusses the ability of point guard algorithm (PGA) and genetic algorithm (GA) to control the scattered light field with different persistence times in 64 × 64 segments. The experimental results show that the PGA can achieve higher enhancement factor and more uniform multi-point focusing than the GA after 1000 iterations in the scattering medium with the same persistence time. The relative standard deviation value is inversely proportional to the WGR value when multi-point focusing can be completed. We also demonstrate that GA can only achieve single-point focusing when WGR = 40, and it cannot accomplish multi-point focusing in self-made scattering medium. This study not only verifies a method to achieve focusing scattering light field, but also provides a new scheme for testing the performance of the iterative wavefront shaping.
Transmitting optical information through scattering medium has broad application prospects in biomedical, aerospace and other fields. However, the light passing through the scattering medium will cause wavefront distortion and optical information blurring. Wavefront shaping technology uses a mathematical matrix to characterize the characteristics of scattering medium, which can achieve refocusing and imaging after light propagation through the scattering medium. It mainly includes optical phase conjugation, optical transmission matrix and wavefront shaping based on iterative optimization. However, the iterative wavefront shaping is considered to be a cost-effective method. Based on the wavefront amplitude modulation technology, the wavefront amplitude of the incident light is continuously adjusted by using the optimization algorithm to find the corresponding wavefront amplitude distribution that can maximize the light intensity in the target area. The system generates binary patterns implemented with digital-micromirror device (DMD) based on on-off state of micromirror, where “on” represents 1 and “off” refers to 0. The DMD has a high refresh rate and can achieve high speed wavefront amplitude modulation by using the iteration algorithm. In the experiment, the scattering medium is prepared with TiO2, water and gelatin, whose persistence times are controlled with the water-gelatin ratio (WGR). In addition, the Pearson correlation coefficient (Cor) curve obtained through 300-s-measurement under different WGR conditions, which shows that the greater WGR, the shorter the persistence time is. The experiment mainly studies the focusing of the spatial light through scattering media by wavefront amplitude modulation, and discusses the ability of point guard algorithm (PGA) and genetic algorithm (GA) to control the scattered light field with different persistence times in 64 × 64 segments. The experimental results show that the PGA can achieve higher enhancement factor and more uniform multi-point focusing than the GA after 1000 iterations in the scattering medium with the same persistence time. The relative standard deviation value is inversely proportional to the WGR value when multi-point focusing can be completed. We also demonstrate that GA can only achieve single-point focusing when WGR = 40, and it cannot accomplish multi-point focusing in self-made scattering medium. This study not only verifies a method to achieve focusing scattering light field, but also provides a new scheme for testing the performance of the iterative wavefront shaping.
2024, 73(12): 124204.
doi:10.7498/aps.73.20240499
Abstract:
High power widely tunable green lasers have potential applications in many fields such as biomedicine, lidar, laser spectroscopy, laser display, underwater wireless optical communication, and fine processing of nonferrous metals. Vertical-external-cavity surface-emitting lasers, also known as semiconductor disk lasers, have the advantages of high power, good beam quality, and wide bandwidth of gain medium. In this work, a gain chip with a reverse-growth epitaxy structure and an emitting wavelength of 1018 nm is designed. In the DBR reflection spectrum, a bandwidth of 74 nm is achieved above a reflectivity of greater than 99.1%, laying a solid foundation for achieving high-power widely tunable output. The laser cavity combines a 1018 nm semiconductor gain chip, a folded mirror, and a plane mirror to construct a compact V-type resonant cavity. A class-I phase-matched LBO nonlinear crystal with a length of 10 mm is placed at the beam waist of the cavity to realize an efficient frequency doubling process to produce a 509 nm green laser. To meet the requirement for the polarization during frequency conversion and to tune the oscillating wavelength of the laser, a birefringent filter (BRF) is employed in the laser resonant cavity. When the thickness of the used BRF is 1 mm, the obtained wavelength tuning range of the fundamental laser and the frequency doubled green laser are 47.1 nm and 20.1 nm, respectively, showing a good tuning capability of the laser. The laser’s performance varies with the thickness of the BRF. When using a 2 mm BRF, a maximum power output of the frequency-doubled green laser reaches 8.23 W during continuous tuning, indicating an ideal compatibility of wide tuning characteristics with a high power output. Meanwhile, its beam qualityM2factors are 1.00 and 1.03 in thex- andy-direction, respectively, demonstrating a near diffraction-limited excellent beam quality. This green laser also possesses a frequency doubling conversion efficiency of up to 68.2%, which can efficiently converse the fundamental laser into the frequency doubled green laser. The optical-to-optical conversion efficiency from the absorbed pump light to the frequency-doubled green light also reaches 16.6%. Meanwhile, from the spectral linewidths of the green lasers under different thickness values of BRFs it is found that the thicker the BRF, the narrower the laser line width is, which is consistent with the theoretical result.
High power widely tunable green lasers have potential applications in many fields such as biomedicine, lidar, laser spectroscopy, laser display, underwater wireless optical communication, and fine processing of nonferrous metals. Vertical-external-cavity surface-emitting lasers, also known as semiconductor disk lasers, have the advantages of high power, good beam quality, and wide bandwidth of gain medium. In this work, a gain chip with a reverse-growth epitaxy structure and an emitting wavelength of 1018 nm is designed. In the DBR reflection spectrum, a bandwidth of 74 nm is achieved above a reflectivity of greater than 99.1%, laying a solid foundation for achieving high-power widely tunable output. The laser cavity combines a 1018 nm semiconductor gain chip, a folded mirror, and a plane mirror to construct a compact V-type resonant cavity. A class-I phase-matched LBO nonlinear crystal with a length of 10 mm is placed at the beam waist of the cavity to realize an efficient frequency doubling process to produce a 509 nm green laser. To meet the requirement for the polarization during frequency conversion and to tune the oscillating wavelength of the laser, a birefringent filter (BRF) is employed in the laser resonant cavity. When the thickness of the used BRF is 1 mm, the obtained wavelength tuning range of the fundamental laser and the frequency doubled green laser are 47.1 nm and 20.1 nm, respectively, showing a good tuning capability of the laser. The laser’s performance varies with the thickness of the BRF. When using a 2 mm BRF, a maximum power output of the frequency-doubled green laser reaches 8.23 W during continuous tuning, indicating an ideal compatibility of wide tuning characteristics with a high power output. Meanwhile, its beam qualityM2factors are 1.00 and 1.03 in thex- andy-direction, respectively, demonstrating a near diffraction-limited excellent beam quality. This green laser also possesses a frequency doubling conversion efficiency of up to 68.2%, which can efficiently converse the fundamental laser into the frequency doubled green laser. The optical-to-optical conversion efficiency from the absorbed pump light to the frequency-doubled green light also reaches 16.6%. Meanwhile, from the spectral linewidths of the green lasers under different thickness values of BRFs it is found that the thicker the BRF, the narrower the laser line width is, which is consistent with the theoretical result.
2024, 73(12): 124205.
doi:10.7498/aps.73.20240441
Abstract:
Semiconductor disk lasers (SDLs) have advantages of high output power and good beam quality. Their flexible external cavity provides convenience for inserting additional optical element to start mode locking and produce ultra-short pulse train with duration from picosecond to femtosecond. However, the very short lifetime in a range from about a few nanoseconds to tens of nanoseconds of the carrier in semiconductor gain medium limits the decrease of pulse repetition rate, thus restricting the increase of peak power of the mode-locked laser pulse to some extent. In this work, by using the relatively shallow In0.2GaAs quantum wells, which have a relatively long carrier lifetime in the active region of gain chip, as well as the particularly designed semiconductor saturable absorption mirror (SESAM) that has a relatively small saturation flux, a passively mode-locked SDL with low repetition rate and high peak power is demonstrated. The used six-mirror cavity has a spot radius of about 200 μm on the chip and a 40 μm spot on the SESAM, and the total cavity length is about 1.92 m. The SESAM passively mode-locked SDL produces a stable pulse train with a lowest repetition rate of 78 MHz. When the temperature is 12 ℃ and the transmittance of the output coupler isT= 3%, an average output power value of 2.1 W and a pulse duration of 2.08 ps are achieved. The corresponding pulse peak power reaches 12.8 kW, which is about twice the reported highest peak power in an SESAM mode-locked SDL. WhenT= 2% andT= 5%, the obtained average output power values are 1.34 W and 1.62 W respectively, and the corresponding pulse peak power values are 8.17 kW and 9.88 kW. Based on the values reported in the literature and the results of pulse repetition rate in our experiments, the estimated lifetime of the carriers of the In0.2GaAs quantum wells in the active region of the gain used chip is 16.4 ns. This high peak power mode-locked semiconductor disk laser has important potential applications in biomedical photonics, chemistry, and nonlinear microscopy.
Semiconductor disk lasers (SDLs) have advantages of high output power and good beam quality. Their flexible external cavity provides convenience for inserting additional optical element to start mode locking and produce ultra-short pulse train with duration from picosecond to femtosecond. However, the very short lifetime in a range from about a few nanoseconds to tens of nanoseconds of the carrier in semiconductor gain medium limits the decrease of pulse repetition rate, thus restricting the increase of peak power of the mode-locked laser pulse to some extent. In this work, by using the relatively shallow In0.2GaAs quantum wells, which have a relatively long carrier lifetime in the active region of gain chip, as well as the particularly designed semiconductor saturable absorption mirror (SESAM) that has a relatively small saturation flux, a passively mode-locked SDL with low repetition rate and high peak power is demonstrated. The used six-mirror cavity has a spot radius of about 200 μm on the chip and a 40 μm spot on the SESAM, and the total cavity length is about 1.92 m. The SESAM passively mode-locked SDL produces a stable pulse train with a lowest repetition rate of 78 MHz. When the temperature is 12 ℃ and the transmittance of the output coupler isT= 3%, an average output power value of 2.1 W and a pulse duration of 2.08 ps are achieved. The corresponding pulse peak power reaches 12.8 kW, which is about twice the reported highest peak power in an SESAM mode-locked SDL. WhenT= 2% andT= 5%, the obtained average output power values are 1.34 W and 1.62 W respectively, and the corresponding pulse peak power values are 8.17 kW and 9.88 kW. Based on the values reported in the literature and the results of pulse repetition rate in our experiments, the estimated lifetime of the carriers of the In0.2GaAs quantum wells in the active region of the gain used chip is 16.4 ns. This high peak power mode-locked semiconductor disk laser has important potential applications in biomedical photonics, chemistry, and nonlinear microscopy.
2024, 73(12): 124206.
doi:10.7498/aps.73.20240110
Abstract:
Ultrafast femtosecond laser system with hundreds of microjoules of energy, operating at a repetition frequency of several kilohertz, has very important applications in many fields such as medicine, mid-infrared laser generation, industrial processing, and vibrational spectroscopy. The chirped pulse amplification technique provides a feasible path to obtain light sources with those parameters. However, the use of chirped pulse amplification increases the technical complexity and cost of the laser system. Recently, the proposal of a multi-pass cell (MPC) nonlinear pulse compression technique has enabled us to obtain high power ultrafast femtosecond pulses with reduced technical complexity and cost. The device requires only two concave mirrors and a nonlinear medium in between. In the past seven years, the multi-pass cell nonlinear pulse compression technique has made great progress, making it possible to obtain ultrashort pulses with average power of more than a few kW and peak power of tens to hundreds of TW.
In this work, we achieve nonlinear pulse compression of a 100-W picosecond laser by using an improved nonlinear pulse compression scheme that combines a hybrid of a plano-cancave multi-pass cell and multi-thin-plate. Using fused silica plates in plano-cancave cavity, the spectral bandwidth (FWHM) of input picosecond laser is broadened from 0.24 nm to 4.8 nm due to self-phase modulation effect, the pulse is compressed to 483 fs by dispersion compensation using grating pairs, which corresponds to a compression factor of 22, and the final output power of 44.2 W is obtained. Compared with traditional MPC, the plano-cancave cavity scheme we developed is a very promising solution for nonlinear compression due to its compactness, more stability and large compression ratio.
2024, 73(12): 124701.
doi:10.7498/aps.73.20240369
Abstract:
Wall-seeping gas film (WSGF) is a promising method of controlling hypersonic boundary layer transition and reducing friction drag and heat transfer. Experiments are conducted in a Mach 6 hypersonic quiet wind tunnel by using nano-tracer planar laser scattering (NPLS) and high-frequency fluctuating pressure measuring technique. This work investigates the effects of wall-seeping helium, air, and carbon dioxide gas films under identical volume flow rate condition on conical boundary layer thickness, disturbance wave structure, wavelength, frequency, amplitude, and nonlinear interaction. The experimental results reveal that the WSGF significantly thickens the hypersonic boundary layer, with the thickest position appearing at the downstream boundary of the seeping zone. The boundary layer thickness is thinnest for helium gas film but thickest for carbon dioxide gas film. Generally, air gas film and carbon dioxide gas film induce the regular, rope-like, and interlaced second-mode waves to appear in advance in the boundary layer. However, under a higher volume flow rate for carbon dioxide gas film, the disturbance wave structure resembles interface fluctuations, with a characteristic wavelength of approximately 18 mm and a peak frequency as low as about 35 kHz, but no the rope-like interlaced characteristic. At this time, the influence of shear layer instability becomes significant. The disturbance waves do not exhibit second-mode wave characteristics for wall-seeping helium gas film, whose shape is irregular and undergoes deformation with time and space. Additionally, the power spectral density of wall fluctuating pressure exhibits insignificant variation with volume flow rate and flow direction, which is similar to the characteristic of power spectral density in the laminar boundary layer and has no peak frequency. The wavelength of second-mode waves is about 2-3 times the boundary layer thickness for air gas film, and increases to more than 3 times for carbon dioxide gas film. The application of carbon dioxide gas film results in smaller peak frequency and bandwidth of disturbance wave, larger characteristic wavelength and amplitude, longer propagation distance, and stronger nonlinear interaction than the application of air gas film. In the future, attention should be paid to understanding disturbance wave characteristics in the boundary layer for the helium gas film and shear layer instability under larger volume flow rates.
Wall-seeping gas film (WSGF) is a promising method of controlling hypersonic boundary layer transition and reducing friction drag and heat transfer. Experiments are conducted in a Mach 6 hypersonic quiet wind tunnel by using nano-tracer planar laser scattering (NPLS) and high-frequency fluctuating pressure measuring technique. This work investigates the effects of wall-seeping helium, air, and carbon dioxide gas films under identical volume flow rate condition on conical boundary layer thickness, disturbance wave structure, wavelength, frequency, amplitude, and nonlinear interaction. The experimental results reveal that the WSGF significantly thickens the hypersonic boundary layer, with the thickest position appearing at the downstream boundary of the seeping zone. The boundary layer thickness is thinnest for helium gas film but thickest for carbon dioxide gas film. Generally, air gas film and carbon dioxide gas film induce the regular, rope-like, and interlaced second-mode waves to appear in advance in the boundary layer. However, under a higher volume flow rate for carbon dioxide gas film, the disturbance wave structure resembles interface fluctuations, with a characteristic wavelength of approximately 18 mm and a peak frequency as low as about 35 kHz, but no the rope-like interlaced characteristic. At this time, the influence of shear layer instability becomes significant. The disturbance waves do not exhibit second-mode wave characteristics for wall-seeping helium gas film, whose shape is irregular and undergoes deformation with time and space. Additionally, the power spectral density of wall fluctuating pressure exhibits insignificant variation with volume flow rate and flow direction, which is similar to the characteristic of power spectral density in the laminar boundary layer and has no peak frequency. The wavelength of second-mode waves is about 2-3 times the boundary layer thickness for air gas film, and increases to more than 3 times for carbon dioxide gas film. The application of carbon dioxide gas film results in smaller peak frequency and bandwidth of disturbance wave, larger characteristic wavelength and amplitude, longer propagation distance, and stronger nonlinear interaction than the application of air gas film. In the future, attention should be paid to understanding disturbance wave characteristics in the boundary layer for the helium gas film and shear layer instability under larger volume flow rates.
2024, 73(12): 125201.
doi:10.7498/aps.73.20240392
Abstract:
Numerical simulation has become an indispensable tool in the study of gas discharge. However, it is typically used to reveal microscopic properties in a discharge under specific conditions. In this work, a unified fluid model for discharge simulation is introduced in detail. The model includes the continuity equation, the energy conservation equation of the species (electrons and heavy particles), and Poisson’s equation. The model takes into account some processes such as cathode electron emission (secondary electron emission and thermionic emission), reaction enthalpy change, gas heating, and cathode heat conduction. The full current-voltage characteristic (CVC) curve covers a range of discharge regimes, such as the Geiger-Müller discharge regime, Townsend discharge regime, subnormal glow discharge regime, normal glow discharge regime, abnormal glow discharge regime, and arc discharge regime. The obtained CVC curve is consistent with the results in the literature, confirming the validity of the unified fluid model. On this basis, the CVC curves are obtained in a wide pressure range of 50–3000 Torr. Simulation studies are carried out focusing on the discharge characteristics for microgap of 400 µm at pressures of 50 Torr and 500 Torr, respectively. The distributions of typical discharge parameters under different pressure conditions are analyzed by comparison. The results indicate that the electric field in the discharge gap is uniform, and that the space charge effect can be ignored in Townsend discharge regime. The cathode fall region and the quasi-neutral region both appear in glow discharge regime, and the space charge effect is significant. In particular, the electric field reversal occurs in abnormal discharge regime due to the heightened particle density gradient. The electron density reaches about 1022m–3in arc discharge regime dominated by thermionic emission and thermal ionization, with the current density increasing. The gas temperature peak is 11850 K when the pressure is 500 Torr, and the cathode surface is heated to nearly 4000 K due to heat conduction. The present model can be used to simulate gas discharge across a wide range of condition parameters, promoting and expanding fluid model applications, and assisting in a more comprehensive investigation of discharge parameter properties.
Numerical simulation has become an indispensable tool in the study of gas discharge. However, it is typically used to reveal microscopic properties in a discharge under specific conditions. In this work, a unified fluid model for discharge simulation is introduced in detail. The model includes the continuity equation, the energy conservation equation of the species (electrons and heavy particles), and Poisson’s equation. The model takes into account some processes such as cathode electron emission (secondary electron emission and thermionic emission), reaction enthalpy change, gas heating, and cathode heat conduction. The full current-voltage characteristic (CVC) curve covers a range of discharge regimes, such as the Geiger-Müller discharge regime, Townsend discharge regime, subnormal glow discharge regime, normal glow discharge regime, abnormal glow discharge regime, and arc discharge regime. The obtained CVC curve is consistent with the results in the literature, confirming the validity of the unified fluid model. On this basis, the CVC curves are obtained in a wide pressure range of 50–3000 Torr. Simulation studies are carried out focusing on the discharge characteristics for microgap of 400 µm at pressures of 50 Torr and 500 Torr, respectively. The distributions of typical discharge parameters under different pressure conditions are analyzed by comparison. The results indicate that the electric field in the discharge gap is uniform, and that the space charge effect can be ignored in Townsend discharge regime. The cathode fall region and the quasi-neutral region both appear in glow discharge regime, and the space charge effect is significant. In particular, the electric field reversal occurs in abnormal discharge regime due to the heightened particle density gradient. The electron density reaches about 1022m–3in arc discharge regime dominated by thermionic emission and thermal ionization, with the current density increasing. The gas temperature peak is 11850 K when the pressure is 500 Torr, and the cathode surface is heated to nearly 4000 K due to heat conduction. The present model can be used to simulate gas discharge across a wide range of condition parameters, promoting and expanding fluid model applications, and assisting in a more comprehensive investigation of discharge parameter properties.
2024, 73(12): 125202.
doi:10.7498/aps.73.20231613
Abstract:
Laser plasma interaction (LPI) has always been an important research topic in the ignition phase of inertial confinement fusion (ICF). Over the years, researchers have attempted to use various laser beam smoothing schemes and optimized light source solutions to suppress the development of LPI. Among them, low-coherence laser drivers have attracted widespread attention in the fields of laser-plasma physics and laser technology in recent years. Recently, a broadband second harmonic laser facility named “Kunwu” has provided a reliable experimental research platform for the LPI process driven by broadband lasers. Aiming at the strong stimulated Brillouin scattering (SBS) and stimulated Raman scattering (SRS) in the LPI process of large-scale low-density plasma, forward scattering experiment and near-forward scattering experiment on C8H8planar film targets driven by broadband laser and narrowband laser under the same conditions are carried out. Based on the “Kunwu” laser facility, two sets of measurement systems are designed, one is centered around fiber-heads and spectrometer, and the other around phototubes and oscilloscope. These systems enable multi-directional precise measurements of scattered lightand a comprehensive analysis of LPI. The main focus is on the comparison of the components and spectral information of the scattering beams between broadband laser and narrowband laser, and it is found that the LPI processes driven by broadband laser and narrowband laser are greatly different. Additionally, preliminary results indicate that broadband laser exhibits a stronger penetration capability than narrowband laser. The time to ablation the target and penetrate the plasma are both nearly 1 ns ahead, with the transmitted energy increased by nearly an order of magnitude. And after penetrating the plasma, there is a smaller spatial divergence angle. These results provide good reference value for better understanding the effect of broadband laser on LPI.
Laser plasma interaction (LPI) has always been an important research topic in the ignition phase of inertial confinement fusion (ICF). Over the years, researchers have attempted to use various laser beam smoothing schemes and optimized light source solutions to suppress the development of LPI. Among them, low-coherence laser drivers have attracted widespread attention in the fields of laser-plasma physics and laser technology in recent years. Recently, a broadband second harmonic laser facility named “Kunwu” has provided a reliable experimental research platform for the LPI process driven by broadband lasers. Aiming at the strong stimulated Brillouin scattering (SBS) and stimulated Raman scattering (SRS) in the LPI process of large-scale low-density plasma, forward scattering experiment and near-forward scattering experiment on C8H8planar film targets driven by broadband laser and narrowband laser under the same conditions are carried out. Based on the “Kunwu” laser facility, two sets of measurement systems are designed, one is centered around fiber-heads and spectrometer, and the other around phototubes and oscilloscope. These systems enable multi-directional precise measurements of scattered lightand a comprehensive analysis of LPI. The main focus is on the comparison of the components and spectral information of the scattering beams between broadband laser and narrowband laser, and it is found that the LPI processes driven by broadband laser and narrowband laser are greatly different. Additionally, preliminary results indicate that broadband laser exhibits a stronger penetration capability than narrowband laser. The time to ablation the target and penetrate the plasma are both nearly 1 ns ahead, with the transmitted energy increased by nearly an order of magnitude. And after penetrating the plasma, there is a smaller spatial divergence angle. These results provide good reference value for better understanding the effect of broadband laser on LPI.
2024, 73(12): 125203.
doi:10.7498/aps.73.20232000
Abstract:
In laser fusion research, the precision of shock-timing technology is pivotal for attaining optimal adiabatic tuning during the compression phase of fusion capsules, which is crucial for ensuring the high-performance implosion. The current main technological approach for shock-timing experiments is to use keyhole targets and VISAR (velocity interferometer system for any reflector) diagnostics to measure the shock velocity history. Nonetheless, this approach encounters limitations when scaling down to smaller capsules, primarily due to the reduced effective reflection area available for VISAR diagnostics. In this work, a novel high-precision shock-timing experimental methodology is used to realize a double-step radiation-driven implosion of a 0.375 mm radius capsule on a 100 kJ laser facility. By calculating the intensity of VISAR images with spherical reflective surfaces, a new experimental technical route is proposed, i.e. using the keyhole cone reflection effect to enhance the VISAR diagnostic spatial area, which can effectively increase the effective data collection region by nearly threefold for small-scale capsules. The technique has been adeptly used to measure shock waves in cryogenic liquid-deuterium-filled capsules under shaped implosion experimental conditions, thus obtaining high-precision shock-timing experimental data. The experimental data reveal that the application of this technology can markedly enhance both the image quality and the precision of data analysis for shock wave velocity measurements in small-scale capsules. Furthermore, it is discovered that under similar laser conditions, there exist considerable variations in the shock velocity profiles. Simulation analysis shows that the difference in chasing behavior of the “N+1” reflected shock wave caused by small changes in laser intensity is the main reason for the significant difference in merging speed. It is demonstrated that small changes in laser parameters can significantly affect the transmission behavior of the shock wave. This experiment highlights the complex sensitivity of shock wave transmission in high-performance forming implosion physics process on a current small capsule scale, making it essential to conduct shock-timing experiments to accurately adjust actual shock wave behavior. This research not only lays a robust technical foundation for promoting adiabatic tuning experiments ofour 100 kJ laser facility but also has profound significance for the ultra-high pressure physics research based on the spherical convergence effect.
In laser fusion research, the precision of shock-timing technology is pivotal for attaining optimal adiabatic tuning during the compression phase of fusion capsules, which is crucial for ensuring the high-performance implosion. The current main technological approach for shock-timing experiments is to use keyhole targets and VISAR (velocity interferometer system for any reflector) diagnostics to measure the shock velocity history. Nonetheless, this approach encounters limitations when scaling down to smaller capsules, primarily due to the reduced effective reflection area available for VISAR diagnostics. In this work, a novel high-precision shock-timing experimental methodology is used to realize a double-step radiation-driven implosion of a 0.375 mm radius capsule on a 100 kJ laser facility. By calculating the intensity of VISAR images with spherical reflective surfaces, a new experimental technical route is proposed, i.e. using the keyhole cone reflection effect to enhance the VISAR diagnostic spatial area, which can effectively increase the effective data collection region by nearly threefold for small-scale capsules. The technique has been adeptly used to measure shock waves in cryogenic liquid-deuterium-filled capsules under shaped implosion experimental conditions, thus obtaining high-precision shock-timing experimental data. The experimental data reveal that the application of this technology can markedly enhance both the image quality and the precision of data analysis for shock wave velocity measurements in small-scale capsules. Furthermore, it is discovered that under similar laser conditions, there exist considerable variations in the shock velocity profiles. Simulation analysis shows that the difference in chasing behavior of the “N+1” reflected shock wave caused by small changes in laser intensity is the main reason for the significant difference in merging speed. It is demonstrated that small changes in laser parameters can significantly affect the transmission behavior of the shock wave. This experiment highlights the complex sensitivity of shock wave transmission in high-performance forming implosion physics process on a current small capsule scale, making it essential to conduct shock-timing experiments to accurately adjust actual shock wave behavior. This research not only lays a robust technical foundation for promoting adiabatic tuning experiments ofour 100 kJ laser facility but also has profound significance for the ultra-high pressure physics research based on the spherical convergence effect.
2024, 73(12): 126102.
doi:10.7498/aps.73.20240143
Abstract:
There exists still the controversy over the stable structure of Laves-phase Co2(Hf Ta) alloys with the C14, C15 or C36 structures. In this study, the stability, electronic and thermodynamic properties of Laves-phase Co2(Hf Ta) are investigated. In order to fully understand the influence of magnetic state and temperature on phase stability, we systematically study the free energy change at finite temperature, elastic stability, and phonon dispersion. The low Curie temperature can be estimated, which suggests that the Co2(Hf Ta) alloys possess the paramagnetic state in a wide temperature range. Results indicate that the lattice vibration and electronic excitation have an important effect on the phase stability. The ground state of Co2Hf compound has a C14-type structure, while the ground state of Co2Ta has a C36-type structure, without the effect of temperature. After doping Hf with different concentrations (0.25, 0.50, 0.75) into Co2Ta, the most stable structure still possesses the C36-type structure. After considering the contribution of vibration entropy and electron entropy, the relatively stable structures of Co2Hf and Co2Ta undergo the C36 and C14 phase transition, respectively. In addition, the thermodynamic properties, including Debye temperature, heat capacity, and vibration entropy, which vary with pressure and temperature, are studied. The electronic properties of Co2Hf and Co2Ta compounds are analyzed by the charge difference and density of states. The similar electronic density of states between different phases suggest that the Lave phases have the similar stability. The Hf-Co bonding with a certain direction is revealed. Our results are of great significance in understanding the structure and properties of Co2Hf and Co2Ta compounds.
There exists still the controversy over the stable structure of Laves-phase Co2(Hf Ta) alloys with the C14, C15 or C36 structures. In this study, the stability, electronic and thermodynamic properties of Laves-phase Co2(Hf Ta) are investigated. In order to fully understand the influence of magnetic state and temperature on phase stability, we systematically study the free energy change at finite temperature, elastic stability, and phonon dispersion. The low Curie temperature can be estimated, which suggests that the Co2(Hf Ta) alloys possess the paramagnetic state in a wide temperature range. Results indicate that the lattice vibration and electronic excitation have an important effect on the phase stability. The ground state of Co2Hf compound has a C14-type structure, while the ground state of Co2Ta has a C36-type structure, without the effect of temperature. After doping Hf with different concentrations (0.25, 0.50, 0.75) into Co2Ta, the most stable structure still possesses the C36-type structure. After considering the contribution of vibration entropy and electron entropy, the relatively stable structures of Co2Hf and Co2Ta undergo the C36 and C14 phase transition, respectively. In addition, the thermodynamic properties, including Debye temperature, heat capacity, and vibration entropy, which vary with pressure and temperature, are studied. The electronic properties of Co2Hf and Co2Ta compounds are analyzed by the charge difference and density of states. The similar electronic density of states between different phases suggest that the Lave phases have the similar stability. The Hf-Co bonding with a certain direction is revealed. Our results are of great significance in understanding the structure and properties of Co2Hf and Co2Ta compounds.
2024, 73(12): 126103.
doi:10.7498/aps.73.20240307
Abstract:
In this work, TCAD simulation modeling is carried out for silicon-germanium heterojunction bipolar transistor (SiGe HBT), and an X-band low noise amplifier (LNA) circuit is built based on the SiGe HBT device model to carry out the hybrid simulation of single-particle transient (SET). The rule of SET pulse varying with LET value and incident angle of ions is studied, and the results show that with the increase of incident LET value, the amplitude of SET pulse at the LNA port increases, and the oscillation time is prolonged; with the increase of incident angle of ions, the amplitude of SET pulse at the LNA port first increases and then decreases, and the oscillation time decreases. With the development of the characterization process, the cutoff frequency (fT) and the maximum oscillation frequency (fMAX) of SiGe HBT device with IM structure, are measured considering the use of inverse-mode (IM) common emitter and common-base structures (Cascode) to reduce the sensitivity of the LNAs to single-particle effects. This work calibrates the devices of the TCAD platform as well as the devices of the ADS platform, establishes F-F LNAs as well as I-F LNAs on the ADS, respectively, and verifies the relevant RF performances of the LNA circuits by using the IM-structured SiGe HBTs as the core devices. The SET experiments are performed on the Sentaurus TCAD platform for the F-F LNA circuit and I-F LNA circuit for ions incident on two positions: common base transistor and common emitter transistor, respectively. It is concluded that the LNA with IM structure still shows good RF performance compared with the standard LNA at 130 nm. The transient current duration of the LNA circuit with IM Cascode structure is significantly reduced, and the peak value is reduced by 66% or more, which significantly reduces the sensitivity of the SiGe LNA circuit to SET.
In this work, TCAD simulation modeling is carried out for silicon-germanium heterojunction bipolar transistor (SiGe HBT), and an X-band low noise amplifier (LNA) circuit is built based on the SiGe HBT device model to carry out the hybrid simulation of single-particle transient (SET). The rule of SET pulse varying with LET value and incident angle of ions is studied, and the results show that with the increase of incident LET value, the amplitude of SET pulse at the LNA port increases, and the oscillation time is prolonged; with the increase of incident angle of ions, the amplitude of SET pulse at the LNA port first increases and then decreases, and the oscillation time decreases. With the development of the characterization process, the cutoff frequency (fT) and the maximum oscillation frequency (fMAX) of SiGe HBT device with IM structure, are measured considering the use of inverse-mode (IM) common emitter and common-base structures (Cascode) to reduce the sensitivity of the LNAs to single-particle effects. This work calibrates the devices of the TCAD platform as well as the devices of the ADS platform, establishes F-F LNAs as well as I-F LNAs on the ADS, respectively, and verifies the relevant RF performances of the LNA circuits by using the IM-structured SiGe HBTs as the core devices. The SET experiments are performed on the Sentaurus TCAD platform for the F-F LNA circuit and I-F LNA circuit for ions incident on two positions: common base transistor and common emitter transistor, respectively. It is concluded that the LNA with IM structure still shows good RF performance compared with the standard LNA at 130 nm. The transient current duration of the LNA circuit with IM Cascode structure is significantly reduced, and the peak value is reduced by 66% or more, which significantly reduces the sensitivity of the SiGe LNA circuit to SET.
2024, 73(12): 126201.
doi:10.7498/aps.73.20240284
Abstract:
The hardness of cemented carbides is a fundamental property that plays a significant role in their design, preparation, and application evaluation. This study aims to identify the critical factors affecting the hardness of WC-Co cemented carbides and develop a high-throughput predictive model for hardness. A dataset consisting of raw material composition, sintering parameters and characterization results of cemented carbides is constructed in which the hardness of cemented carbide is set as the target variable. By analyzing the Pearson correlation coefficient, Shapley additive explanations (SHAP) results, WC grain size and Co content are determined to be the key characteristics influencing the hardness of cemented carbide. Subsequently, machine learning models such as support vector regression (SVR), polynomial regression (PR), gradient boosting decision tree (GBDT), and random forest (RF) are optimized to construct prediction models for hardness. Evaluations using 10-fold cross-validation demonstrate that the GBDT algorithm model exhibits the highest accuracy and strong generalization capability, making it most suitable for predicting and analyzing the hardness of cemented carbides. Based on predictions from GBDT algorithm model, PR algorithm model is established to achieve high-precision interpretable prediction of the hardness of cemented carbides. As a result, a quantitative relationship between hardness and Co content and WC grain size is obtained, demonstrating that reducing grain size and Co content is the key to obtaining high hardness of cemented carbide. This research provides a data-driven method for accurately and efficiently predicting cemented carbide properties, presenting valuable insights for the design and development of high-performance cemented carbide materials.
The hardness of cemented carbides is a fundamental property that plays a significant role in their design, preparation, and application evaluation. This study aims to identify the critical factors affecting the hardness of WC-Co cemented carbides and develop a high-throughput predictive model for hardness. A dataset consisting of raw material composition, sintering parameters and characterization results of cemented carbides is constructed in which the hardness of cemented carbide is set as the target variable. By analyzing the Pearson correlation coefficient, Shapley additive explanations (SHAP) results, WC grain size and Co content are determined to be the key characteristics influencing the hardness of cemented carbide. Subsequently, machine learning models such as support vector regression (SVR), polynomial regression (PR), gradient boosting decision tree (GBDT), and random forest (RF) are optimized to construct prediction models for hardness. Evaluations using 10-fold cross-validation demonstrate that the GBDT algorithm model exhibits the highest accuracy and strong generalization capability, making it most suitable for predicting and analyzing the hardness of cemented carbides. Based on predictions from GBDT algorithm model, PR algorithm model is established to achieve high-precision interpretable prediction of the hardness of cemented carbides. As a result, a quantitative relationship between hardness and Co content and WC grain size is obtained, demonstrating that reducing grain size and Co content is the key to obtaining high hardness of cemented carbide. This research provides a data-driven method for accurately and efficiently predicting cemented carbide properties, presenting valuable insights for the design and development of high-performance cemented carbide materials.
2024, 73(12): 126202.
doi:10.7498/aps.73.20240385
Abstract:
Organic ferroelectrics are desirable for the applications in the field of wearable electronics due to their eco-friendly process-ability, mechanical flexibility, low processing temperatures, and lightweight. In this work, we use five organic groups as substitution for organic cation and study the effects of organic cations on the structural stability, electronic structure, mechanical properties and spontaneous polarization of metal-free perovskiteA-NH4-(PF6)3(A= MDABCO, CNDABCO, ODABCO, NODABCO, SHDABCO) through first-principles calculations. Firstly, the stabilities of the five materials are calculated by molecular dynamics simulations, and the energy values of all systems are negative and stable after 500 fs, which demonstrates the stabilities of the five materials at 300 K. The electronic structure calculation shows that the organic perovskite materials have wide band gap with a value of about 7.05 eV. The valence band maximum (VBM) and Cconduction band minimum (CBM) are occupied by different elements, which is conductive to the separation of electrons and holes. We find that organic cations have an important contribution to the spontaneous polarization of materials, with a contribution rate over 50%. The presence of hydrogen atoms in the substituting groups (MDABCO, ODABCO) enhances the hydrogen bond interaction between the organic cations and
\begin{document}${\rm PF}_6^- $\end{document}
and increases the displacement of the organic cation, resulting in an increase in the contribution of the polarization of the organic cation to the total polarization. In addition, we observe large piezoelectric strain components, the calculated value ofd33is 36.5 pC/N for CNDABCO-NH4-(PF6)3, 32.3 pC/N for SHNDABCO-NH4-(PF6)3, which is larger than the known value ofd33of MDABCO-NH4-I3(14pC/N). The calculated value ofd14is 57.5 pC/N for ODABCO-NH4-(PF6)3, 27.5 pC/N for NODABCO-NH4-(PF6)3. These components are at a high level among known organic perovskite materials and comparable to many known inorganic crystals. The large value ofd14is found to be closely related to the large value of elastic compliance tensors44. The analysis of Young’s modulus and bulk’s modulus shows that these organic perovskite materials have good ductility. These results indicate that these organic materials are excellent candidates for future environmentally friendly piezoelectric materials.
Organic ferroelectrics are desirable for the applications in the field of wearable electronics due to their eco-friendly process-ability, mechanical flexibility, low processing temperatures, and lightweight. In this work, we use five organic groups as substitution for organic cation and study the effects of organic cations on the structural stability, electronic structure, mechanical properties and spontaneous polarization of metal-free perovskiteA-NH4-(PF6)3(A= MDABCO, CNDABCO, ODABCO, NODABCO, SHDABCO) through first-principles calculations. Firstly, the stabilities of the five materials are calculated by molecular dynamics simulations, and the energy values of all systems are negative and stable after 500 fs, which demonstrates the stabilities of the five materials at 300 K. The electronic structure calculation shows that the organic perovskite materials have wide band gap with a value of about 7.05 eV. The valence band maximum (VBM) and Cconduction band minimum (CBM) are occupied by different elements, which is conductive to the separation of electrons and holes. We find that organic cations have an important contribution to the spontaneous polarization of materials, with a contribution rate over 50%. The presence of hydrogen atoms in the substituting groups (MDABCO, ODABCO) enhances the hydrogen bond interaction between the organic cations and
2024, 73(12): 126401.
doi:10.7498/aps.73.20240347
Abstract:
High-performance non-reciprocal photonic devices can improve the efficiency of optical quantum manipulation, information processing, and quantum simulation effectively. The enhanced optical signal can simultaneously amplify the weak signal output by the quantum system and isolate the sensitive quantum system from the back-scattered external noise, which is the core technology of high-performance photonic devices. In our previous work (
2023
Opt. Express
3138228
), we have achieved dynamic control of unidirectional reflection amplification based on four-wave mixing gain and the use of coupling field intensity varying linearly with position. In this work, we design a simple three-level closed loop coherent gain atomic system, setting the intensity of coupling field to be varying with position step shape to break the spatial symmetry of probe susceptibility, and achieving perfect non-reciprocal reflection light amplification. In contrast, the stepped variation of coupling field intensity is easier to adjust in experiment, greatly reducing the difficulty in the experiment. Specifically, the system introduces phase modulation. By changing the phase, the frequency region of probe gain and absorption can be switched, which makes the modulation of reflection amplification more flexible.
High-performance non-reciprocal photonic devices can improve the efficiency of optical quantum manipulation, information processing, and quantum simulation effectively. The enhanced optical signal can simultaneously amplify the weak signal output by the quantum system and isolate the sensitive quantum system from the back-scattered external noise, which is the core technology of high-performance photonic devices. In our previous work (
2024, 73(12): 126801.
doi:10.7498/aps.73.20231779
Abstract:
The selective area growth approach (namely the self-assembly of molecules on pre-patterned surfaces) that takes into account the properties of organic molecular materials and traditional lithography techniques, is expected to play a significant role in manufacturing organic micro-nano patterns for photoelectric and full-color display. The manufacture of organic devices with tunable multicolor patterned films depends on the control of nucleation distribution of two or more organic molecules by using a selective area growth approach, particularly through the application of mixed deposition growth that can enhance the nucleation efficiency of multicolor thin films. However, till now the issue of mixed deposition growth of two kinds of organic molecules has been rarely reported, owing to the complexity in experimental operation. In this work, the selective area growth of mixed deposition of two kinds of molecules is studied by molecular kinetic Monte Carlo approach in order to find the experimental conditions for separating two kinds of molecular growth. In the simulation, the interaction energy between the two molecules is adjusted and controlled to study its influence on the separately selective area growth of the two molecules. The results show that when the intermolecular interaction energy is weak, the planar molecules and the non-planar molecules exhibit completely different growth behaviors. The most of non-planar molecules gather at the top of the electrode in an island mode, while planar molecules mainly accumulate in a layer-by-layer mode on the sides of the electrode. On the contrary, when the intermolecular interaction energy is strong, the number of non-planar particles on the tops decreases and a large number of planar particles appear. Moreover, on the sides of the electrode, the doping nucleation of planar molecules and non-planar molecules also exists, resulting in the failure of molecular phase separation growth. It proves that the intermolecular interaction energy can affect separately area-selective growth of various organic molecules. Therefore, when several different kinds of molecules are mixed and deposited, relatively pure crystalline monochromatic films can be obtained at the top and on the sides of the electrode, respectively, by appropriately adjusting the intermolecular interaction energy, which can further facilitate the application of multi-color organic micro-nano pattern in display and other fields.
The selective area growth approach (namely the self-assembly of molecules on pre-patterned surfaces) that takes into account the properties of organic molecular materials and traditional lithography techniques, is expected to play a significant role in manufacturing organic micro-nano patterns for photoelectric and full-color display. The manufacture of organic devices with tunable multicolor patterned films depends on the control of nucleation distribution of two or more organic molecules by using a selective area growth approach, particularly through the application of mixed deposition growth that can enhance the nucleation efficiency of multicolor thin films. However, till now the issue of mixed deposition growth of two kinds of organic molecules has been rarely reported, owing to the complexity in experimental operation. In this work, the selective area growth of mixed deposition of two kinds of molecules is studied by molecular kinetic Monte Carlo approach in order to find the experimental conditions for separating two kinds of molecular growth. In the simulation, the interaction energy between the two molecules is adjusted and controlled to study its influence on the separately selective area growth of the two molecules. The results show that when the intermolecular interaction energy is weak, the planar molecules and the non-planar molecules exhibit completely different growth behaviors. The most of non-planar molecules gather at the top of the electrode in an island mode, while planar molecules mainly accumulate in a layer-by-layer mode on the sides of the electrode. On the contrary, when the intermolecular interaction energy is strong, the number of non-planar particles on the tops decreases and a large number of planar particles appear. Moreover, on the sides of the electrode, the doping nucleation of planar molecules and non-planar molecules also exists, resulting in the failure of molecular phase separation growth. It proves that the intermolecular interaction energy can affect separately area-selective growth of various organic molecules. Therefore, when several different kinds of molecules are mixed and deposited, relatively pure crystalline monochromatic films can be obtained at the top and on the sides of the electrode, respectively, by appropriately adjusting the intermolecular interaction energy, which can further facilitate the application of multi-color organic micro-nano pattern in display and other fields.
2024, 73(12): 126802.
doi:10.7498/aps.73.20231621
Abstract:
The adsorption properties of toxic gases on the surface of low-dimensional nanomaterials are a research hot topic and key issue for developing semiconductor sensors to detect toxic gas molecules. Recently, a novel orthorhombic BN monolayer has attracted extensive attention from researchers. Using first principles calculations, we investigate the adsorption properties of typical toxic gas molecules, such as CO, H2S, NH3, NO, NO2, and SO2molecules, on the surface of two-dimensional (2D) orthorhombic BN monolayer adsorption. The calculated adsorption energy show that the adsorptions of the above six molecules on the surface of BN monolayer are energy-favorable exothermic processes. It is found that NO2and NH3molecules are of chemical adsorption, while other systems are of physical adsorption, and NO adsorbing system exhibits a spin-polarized electronic band structure. The calculated density of states reveals that the adsorption of NO molecule and SO2molecule have significant influences on the electronic structure near the Fermi level. Moreover, the adsorption of the NO2molecule on the substrate exhibits remarkable variation of the work function, suggesting that the o-BN monolayer possesses excellent selectivity and sensitivity to NO2molecule. In addition, we use first principles combined with non-equilibrium Green’s function to simulate the electrical transport properties of monolayered o-BN semiconductor based nanodevice with adsorption of typical toxic gas molecules. TheI-Vbcurve shows that the current through the nanodevice is 6500 nA for the NO2molecule adsorbing system under 1 V bias voltage. The calculation results reveal that the adsorption of NO2molecule on the o-BN monolayer can significantly enhance its electrical transport performance, and the o-BN monolayer possesses excellent sensitivity and selectivity to the NO2gas molecule. The work function and the charge transfer can be effectively manipulated by tensile strain, indicating its potential application in anisotropic electronics. Our results indicate that the o-BN monolayer has excellent adsorption performance to toxic gases, showing its practical application in capturing toxic gas molecules as a gas sensor in future.
The adsorption properties of toxic gases on the surface of low-dimensional nanomaterials are a research hot topic and key issue for developing semiconductor sensors to detect toxic gas molecules. Recently, a novel orthorhombic BN monolayer has attracted extensive attention from researchers. Using first principles calculations, we investigate the adsorption properties of typical toxic gas molecules, such as CO, H2S, NH3, NO, NO2, and SO2molecules, on the surface of two-dimensional (2D) orthorhombic BN monolayer adsorption. The calculated adsorption energy show that the adsorptions of the above six molecules on the surface of BN monolayer are energy-favorable exothermic processes. It is found that NO2and NH3molecules are of chemical adsorption, while other systems are of physical adsorption, and NO adsorbing system exhibits a spin-polarized electronic band structure. The calculated density of states reveals that the adsorption of NO molecule and SO2molecule have significant influences on the electronic structure near the Fermi level. Moreover, the adsorption of the NO2molecule on the substrate exhibits remarkable variation of the work function, suggesting that the o-BN monolayer possesses excellent selectivity and sensitivity to NO2molecule. In addition, we use first principles combined with non-equilibrium Green’s function to simulate the electrical transport properties of monolayered o-BN semiconductor based nanodevice with adsorption of typical toxic gas molecules. TheI-Vbcurve shows that the current through the nanodevice is 6500 nA for the NO2molecule adsorbing system under 1 V bias voltage. The calculation results reveal that the adsorption of NO2molecule on the o-BN monolayer can significantly enhance its electrical transport performance, and the o-BN monolayer possesses excellent sensitivity and selectivity to the NO2gas molecule. The work function and the charge transfer can be effectively manipulated by tensile strain, indicating its potential application in anisotropic electronics. Our results indicate that the o-BN monolayer has excellent adsorption performance to toxic gases, showing its practical application in capturing toxic gas molecules as a gas sensor in future.
2024, 73(12): 127101.
doi:10.7498/aps.73.20240404
Abstract:
Topological semimetals have aroused great research interest due to their intrinsic topological physics and potential applications in devices. A key feature for all topological materials is the so-called bulk-boundary correspondence, which means that if there is non-trivial band topology in the bulk, then we can expect unique topologically protected conducting states in the surface, i.e. the topological surface state (TSS). Previously, the studies of the surface states of topological materials mainly focused on the pristine surfaces, while the topological nodal line semimetal surface states with adsorbates are rarely systematically studied. In this paper, the topological properties of the topological semimetal AlB2are studied by first-principles calculations, and the TSS position is calculated by constructing the Al- and B-terminated slab models. Observing the topological surface state, it is found that the drumhead-like TSS connects two Dirac nodes with no energy gaps on the node line, and the TSS of the Al end-terminated slab has a smaller energy dispersion than that of the B-terminated slab. The adsorption characteristics of AlB2(010) surface are studied, and it is found that the Gibbs free energy (
\begin{document}$ {\Delta }{G}_{{{\mathrm{H}}}^{*}} $\end{document}
) for hydrogen adsorption on the surface of Al is only –0.031 eV, demonstrating excellent hydrogen evolution reaction (HER) performance. The changes of TSS after H, OH and H2O are adsorbed on the surface of AlB2in aqueous solution environment are observed. The TSS change is the most significant when H is adsorbed, followed by OH adsorption. And the influence of H2O on TSS due to its electrical neutrality and weak surface adsorption is very weak. Before and after adsorption, because the topology protection TSS still exists, only the energy changes, which confirms its robustness in the environment. The results of this work provide a systematic understanding of the effects of different adsorbents on the TSS of AlB2, paving the way for future theoretical and experimental research in related fields, and alsopresent theoretical support for putting the topological materials into practical applications .
Topological semimetals have aroused great research interest due to their intrinsic topological physics and potential applications in devices. A key feature for all topological materials is the so-called bulk-boundary correspondence, which means that if there is non-trivial band topology in the bulk, then we can expect unique topologically protected conducting states in the surface, i.e. the topological surface state (TSS). Previously, the studies of the surface states of topological materials mainly focused on the pristine surfaces, while the topological nodal line semimetal surface states with adsorbates are rarely systematically studied. In this paper, the topological properties of the topological semimetal AlB2are studied by first-principles calculations, and the TSS position is calculated by constructing the Al- and B-terminated slab models. Observing the topological surface state, it is found that the drumhead-like TSS connects two Dirac nodes with no energy gaps on the node line, and the TSS of the Al end-terminated slab has a smaller energy dispersion than that of the B-terminated slab. The adsorption characteristics of AlB2(010) surface are studied, and it is found that the Gibbs free energy (
2024, 73(12): 127501.
doi:10.7498/aps.73.20240287
Abstract:
How to achieve spin control of noncollinear antiferromagnetic Mn3Sn at room temperature is a challenge. In this study, we modulate the magnetic structure of Mn3Sn single crystals by subjecting them to uniaxial stress at the GPa level using a high-pressure combined deformation method. Initially, the single crystal is sliced into regular cuboids, then embedded in a stainless steel sleeve, and finally, uniaxial stress is applied along the
\begin{document}$ \text{[11}\bar{2}\text{0]} $\end{document}
direction and
\begin{document}$ \text{[01}\bar{1}\text{0]} $\end{document}
direction of the Mn3Sn single crystal. Under high stress, the single crystal undergoes plastic deformation. Our observations reveal lattice distortion in the deformed single crystal, with the lattice parameter gradually decreasing as the stress level increases. In addition, the magnetic susceptibility of Mn3Sn under GPa uniaxial stress (χ) is different from that under MPa uniaxial stress, and its value is no longer fixed but increases with the increase of stress. When 1.12 GPa stress is applied in the
\begin{document}$ \text{[11}\bar{2}\text{0]} $\end{document}
direction,χreaches 0.0203
\begin{document}$ {\text{μ}}_{\text{B}}\cdot{\text{f.u.}}^{{-1}}\cdot{\text{T}}^{{-1}} $\end{document}
, which is 1.42 times that of the undeformed sample. In the case of stress applied along the
\begin{document}$ \text{[01}\bar{1}\text{0]} $\end{document}
direction,χ≈ 0.0332
\begin{document}$ {\text{μ}}_{\text{B}}\cdot{\text{f.u.}}^{{-1}}\cdot{\text{T}}^{{-1}} $\end{document}
when the stress is 1.11 GPa. This result is also 2.66 times greater than the reported results. We further calculate the values of trimerization parameter (ξ), isotropic Heisenberg exchange interaction (J), and anisotropic energy (δ) of the system under different stresses. Our results show thatξgradually increases,Jgradually decreases, andδgradually increases with the increase of stress. These results show that the GPa uniaxial stress introduces anisotropic strain energy into the single crystal, breaking the symmetry of the in-plane hexagon of the kagome lattice, which causes the bond length of the two equilateral triangles composed of Mn atoms to change. Thus, the exchange coupling between Mn atoms in the system is affected, the anisotropy of the system is enhanced, and the antiferromagnetic coupling of the system is enhanced. Therefore, the systemχis no longer a constant value and gradually increases with the increase of stress. This discovery will provide new ideas for regulating the anti-ferromagnetic spin.
How to achieve spin control of noncollinear antiferromagnetic Mn3Sn at room temperature is a challenge. In this study, we modulate the magnetic structure of Mn3Sn single crystals by subjecting them to uniaxial stress at the GPa level using a high-pressure combined deformation method. Initially, the single crystal is sliced into regular cuboids, then embedded in a stainless steel sleeve, and finally, uniaxial stress is applied along the
2024, 73(12): 127801.
doi:10.7498/aps.73.20231974
Abstract:
The mechanical properties of cells and tissues play a crucial role in determining biological functions. As a label-free and non-contact mechanical imaging method, Brillouin spectroscopy can characterize viscoelastic changes in samples with high spatial resolution. To sensitively identify small mechanical differences among biological systems, it is important to improve Brillouin scattering efficiency while combining various viscoelastic contrast mechanisms in measurement. This paper presents a high-speed Brillouin spectroscopy based on impulsive stimulated Brillouin scattering. The acoustic oscillation can be excited in a single shot with a pulsed pump laser and detected by a continuous probe laser in the time domain. This time-domain signal can then be transferred to the frequency-domain Brillouin spectrum with high precision. With this method, various viscoelastic information including sound velocity, sound attenuation coefficient, elastic longitudinal storage modulus, and loss modulus can be obtained simultaneously based on derived spectral information. Owing to stimulated scattering and time-domain detection, spectra with a signal-to-noise ratio of 26 dB can be achieved within a millisecond-level spectral integration time. The average measurement precision for storage modulus and loss modulus of the longitudinal elastic modulus are 0.1% and 1%, respectively. With this method, the Brillouin spectra and viscoelastic parameters of typical liquids and polymer materials are measured and compared, providing a comprehensive reference for viscoelastic parameters. We also study the elastic changes in different curing stages of PDMS and make a comparison of viscoelasticity with agarose gel. Moreover, six edible oils are identified based on various viscoelastic contrast mechanisms, which not only provides a new perspective for material identification but also expands the measurement capabilities of Brillouin spectroscopy and enhances the sensitivity of viscoelasticity measurements.
The mechanical properties of cells and tissues play a crucial role in determining biological functions. As a label-free and non-contact mechanical imaging method, Brillouin spectroscopy can characterize viscoelastic changes in samples with high spatial resolution. To sensitively identify small mechanical differences among biological systems, it is important to improve Brillouin scattering efficiency while combining various viscoelastic contrast mechanisms in measurement. This paper presents a high-speed Brillouin spectroscopy based on impulsive stimulated Brillouin scattering. The acoustic oscillation can be excited in a single shot with a pulsed pump laser and detected by a continuous probe laser in the time domain. This time-domain signal can then be transferred to the frequency-domain Brillouin spectrum with high precision. With this method, various viscoelastic information including sound velocity, sound attenuation coefficient, elastic longitudinal storage modulus, and loss modulus can be obtained simultaneously based on derived spectral information. Owing to stimulated scattering and time-domain detection, spectra with a signal-to-noise ratio of 26 dB can be achieved within a millisecond-level spectral integration time. The average measurement precision for storage modulus and loss modulus of the longitudinal elastic modulus are 0.1% and 1%, respectively. With this method, the Brillouin spectra and viscoelastic parameters of typical liquids and polymer materials are measured and compared, providing a comprehensive reference for viscoelastic parameters. We also study the elastic changes in different curing stages of PDMS and make a comparison of viscoelasticity with agarose gel. Moreover, six edible oils are identified based on various viscoelastic contrast mechanisms, which not only provides a new perspective for material identification but also expands the measurement capabilities of Brillouin spectroscopy and enhances the sensitivity of viscoelasticity measurements.
2024, 73(12): 128501.
doi:10.7498/aps.73.20240361
Abstract:
Metal oxide thin film transistor has been widely used in flat panel display industry because of its low leakage current, high mobility and large area uniformity. Besides, with the development of printed display technology, inkjet printing process can fabricate the customizable patterns on diverse substrates with no need of vacuum or lithography to be used, thus significantly reducing cost and receiving more and more attention. In this paper, we use inkjet printing technology to prepare a bottom gate bottom contact thin film transistor (TFT) by using indium-zinc-tin-oxide (IZTO) semiconductor. The surface morphology of the printed IZTO film is modified by adjusting the solvent composition and solute concentration of the printing precursor ink. The experimental result show that the use of binary solvents can effectively overcome the coffee ring shape caused by the accumulation of solute edge in the volatilization process of a single solvent, ultimately presenting a uniform and flat contour surface. Further increase in solute concentration is in favor of formation of convex surface topology. The reason for the formation of the flat surface of the oxide film is the balance between the inward Marangoni reflux of the solute and the outward capillary flow during volatilization. In addition, IZTO thin film transistor printed with binary solvents exhibits excellent electrical properties. The ratio of width/length = 50/30 exhibits a high on-off ratio of 1.21×109, a high saturation field-effect mobility is 16.6 cm2/(V·s), a low threshold voltage is 0.84 V, and subthreshold swing is 0.24 V/dec. The uniform and flat active layer thin film pattern can form good contact with the source leakage electrode, and the contact resistances of TFT devices with different width-to-length ratios are less than 1000 Ω, which can reach the basic conditions of high mobility thin film transistors prepared by inkjet printing. Therefore, using solvent mixture provides a universal and simple way to print oxide films with required surface topology, and present a visible path for inkjet printing of high-mobility thin film transistors.
Metal oxide thin film transistor has been widely used in flat panel display industry because of its low leakage current, high mobility and large area uniformity. Besides, with the development of printed display technology, inkjet printing process can fabricate the customizable patterns on diverse substrates with no need of vacuum or lithography to be used, thus significantly reducing cost and receiving more and more attention. In this paper, we use inkjet printing technology to prepare a bottom gate bottom contact thin film transistor (TFT) by using indium-zinc-tin-oxide (IZTO) semiconductor. The surface morphology of the printed IZTO film is modified by adjusting the solvent composition and solute concentration of the printing precursor ink. The experimental result show that the use of binary solvents can effectively overcome the coffee ring shape caused by the accumulation of solute edge in the volatilization process of a single solvent, ultimately presenting a uniform and flat contour surface. Further increase in solute concentration is in favor of formation of convex surface topology. The reason for the formation of the flat surface of the oxide film is the balance between the inward Marangoni reflux of the solute and the outward capillary flow during volatilization. In addition, IZTO thin film transistor printed with binary solvents exhibits excellent electrical properties. The ratio of width/length = 50/30 exhibits a high on-off ratio of 1.21×109, a high saturation field-effect mobility is 16.6 cm2/(V·s), a low threshold voltage is 0.84 V, and subthreshold swing is 0.24 V/dec. The uniform and flat active layer thin film pattern can form good contact with the source leakage electrode, and the contact resistances of TFT devices with different width-to-length ratios are less than 1000 Ω, which can reach the basic conditions of high mobility thin film transistors prepared by inkjet printing. Therefore, using solvent mixture provides a universal and simple way to print oxide films with required surface topology, and present a visible path for inkjet printing of high-mobility thin film transistors.
2024, 73(12): 128502.
doi:10.7498/aps.73.20240254
Abstract:
Three-dimensional (3D) NAND flash memory is a key technology in the field of mainstream memory solutions, which is primarily due to its extremely low bit cost. The architecture of 3D NAND, characterized by its vertically stacked design, substantially enhances the capacity of individual chips. This advancement is completely consistent with the demands for high-capacity data storage in contemporary environments, securing its widespread adoption in diverse application scenarios. As storage density increases, the complexity of process integration increases, bringing new challenges. The word lines in 3D NAND are typically filled by using gate replacement techniques, and compared with chemical vapor deposition (CVD), atomic layer deposition (ALD) is favored for its superior step-coverage, especially for depositing tungsten (W) at the gate. However, due to the complexity of the replacement gate deposition structure, fluorine (F) residues are found in the voids of the tungsten metal gate filling structure and diffuse into the surrounding structure under subsequent process conditions, corroding other films such as silicon oxide and degrading device performance and reliability. To alleviate the problem of fluorine attack, a thin layer of titanium nitride is usually deposited as a barrier layer before deposition of tungsten gate, which blocks the fluorine in the tungsten gate and prevents its diffusion into the oxide layer. Previously, there were studies to increase the ability to stop F diffusion by varying the thickness of the F blocking layer (TiN). However, increasing the thickness of TiN will further increase the complexity of high aspect ratio etching in the 3D NAND process, which will have adverse effect on subsequent processes. To further minimize the effect of fluorine erosion, residual fluorine elements can be removed by introducing annealing in the subsequent process flow. In the actual 3D NAND process, elemental fluorine (F) is adsorbed and accumulates on the TiN surface, and is further activated by subsequent high-temperature processes, leading to severe fluorine erosion. The delay between TiN deposition and subsequent processing steps is hypothesized to facilitate fluorine adsorption due to the oxidation of TiN. This work corroborates this hypothesis through first-principles calculations, and demonstrates the role of TiN oxidation in fluorine adsorption. In this work, we evaluate the effect of this oxidation on the fluorine-blocking effectiveness of the TiN barrier layer. We simulate the adsorption of fluorine-containing by-products on TiN and its oxides, providing theoretical insights into mitigating fluorine attack. The higher degree of oxidation of TiN is more likely to cause F adsorption, and Ti exposed surface TiN is more prone to oxidation, which is more likely to cause F adsorption in unoxidized condition and oxidized condition. Based on these insights, we implemente an ammonia purge treatment in 3D NAND manufacturing, which effectively minimizes fluorine attack, reducing the leakage probability of word line by 25% and wafer warpage by 43%.
Three-dimensional (3D) NAND flash memory is a key technology in the field of mainstream memory solutions, which is primarily due to its extremely low bit cost. The architecture of 3D NAND, characterized by its vertically stacked design, substantially enhances the capacity of individual chips. This advancement is completely consistent with the demands for high-capacity data storage in contemporary environments, securing its widespread adoption in diverse application scenarios. As storage density increases, the complexity of process integration increases, bringing new challenges. The word lines in 3D NAND are typically filled by using gate replacement techniques, and compared with chemical vapor deposition (CVD), atomic layer deposition (ALD) is favored for its superior step-coverage, especially for depositing tungsten (W) at the gate. However, due to the complexity of the replacement gate deposition structure, fluorine (F) residues are found in the voids of the tungsten metal gate filling structure and diffuse into the surrounding structure under subsequent process conditions, corroding other films such as silicon oxide and degrading device performance and reliability. To alleviate the problem of fluorine attack, a thin layer of titanium nitride is usually deposited as a barrier layer before deposition of tungsten gate, which blocks the fluorine in the tungsten gate and prevents its diffusion into the oxide layer. Previously, there were studies to increase the ability to stop F diffusion by varying the thickness of the F blocking layer (TiN). However, increasing the thickness of TiN will further increase the complexity of high aspect ratio etching in the 3D NAND process, which will have adverse effect on subsequent processes. To further minimize the effect of fluorine erosion, residual fluorine elements can be removed by introducing annealing in the subsequent process flow. In the actual 3D NAND process, elemental fluorine (F) is adsorbed and accumulates on the TiN surface, and is further activated by subsequent high-temperature processes, leading to severe fluorine erosion. The delay between TiN deposition and subsequent processing steps is hypothesized to facilitate fluorine adsorption due to the oxidation of TiN. This work corroborates this hypothesis through first-principles calculations, and demonstrates the role of TiN oxidation in fluorine adsorption. In this work, we evaluate the effect of this oxidation on the fluorine-blocking effectiveness of the TiN barrier layer. We simulate the adsorption of fluorine-containing by-products on TiN and its oxides, providing theoretical insights into mitigating fluorine attack. The higher degree of oxidation of TiN is more likely to cause F adsorption, and Ti exposed surface TiN is more prone to oxidation, which is more likely to cause F adsorption in unoxidized condition and oxidized condition. Based on these insights, we implemente an ammonia purge treatment in 3D NAND manufacturing, which effectively minimizes fluorine attack, reducing the leakage probability of word line by 25% and wafer warpage by 43%.
2024, 73(12): 128503.
doi:10.7498/aps.73.20231969
Abstract:
The development of AlGaN-based deep ultraviolet light emitting diodes (DUV-LEDs) is currently limited by poor external quantum efficiency (EQE) and wall-plug efficiency (WPE). Internal quantum efficiency (IQE), as an important component of EQE, plays a crucial role in improving the performance of DUV-LEDs. The IQE is related to the carrier injection efficiency and the radiation recombination rate in the active region. In order to improve the IQE of AlGaN-based DUV-LEDs, this work proposes a scheme to optimize the period number of superlattice electron barrier layer (SL-EBL) to achieve better carrier injection efficiency and confinement capability. The effect of the period number of SL-EBL on the luminous efficiency, reliability and carrier recombination mechanism of AlGaN-based DUV-LEDs with an emission wavelength of 273 nm are investigated. The experimental results show that the light output power (LOP), external quantum efficiency (EQE) and wall-plug efficiency (WPE) of the DUV-LEDs tend to first increase and then decrease with the period number of SL-EBL increasing, while the leakage current decreases and the reliability is enhanced. The maximum EQE and WPE of the DUV-LED are 3.5% and 3.2%, respectively, at an injection current of 7.5 mA when the period number of SL-EBL is fixed at 7 (the thickness is 28 nm). Meanwhile, the numerical simulation results show that the electron potential barrier height is enhanced with the period number of SL-EBL increasing, and the variation of the hole potential barrier height is negligible. Therefore, increasing the period number of SL-EBL is beneficial to shielding the dislocations and suppressing the leakage of electrons into the p-type layer, which improves the luminous efficiency and reliability of DUV-LEDs. However, when the period number of SL-EBL exceeds 7, the excessively thick hole potential barrier prevents the holes from entering into the activation region and reduces the radiative recombination efficiency. Therefore, EQE and WPE will show an inflection point with the variation of the period number of SL-EBL. In addition, to investigate the carrier recombination mechanism of the active region, the experimental EQE curves are fitted by the ABC model as well as the different slopes in logarithmic light output power-current (L-I) curves are calculated after aging. It can be found that increasing the period number of SL-EBL can effectively suppress the non-radiative combination of carriers in the active region. This investigation can provide an alternative way to enhance the photoelectric performance of DUV-LEDs.
The development of AlGaN-based deep ultraviolet light emitting diodes (DUV-LEDs) is currently limited by poor external quantum efficiency (EQE) and wall-plug efficiency (WPE). Internal quantum efficiency (IQE), as an important component of EQE, plays a crucial role in improving the performance of DUV-LEDs. The IQE is related to the carrier injection efficiency and the radiation recombination rate in the active region. In order to improve the IQE of AlGaN-based DUV-LEDs, this work proposes a scheme to optimize the period number of superlattice electron barrier layer (SL-EBL) to achieve better carrier injection efficiency and confinement capability. The effect of the period number of SL-EBL on the luminous efficiency, reliability and carrier recombination mechanism of AlGaN-based DUV-LEDs with an emission wavelength of 273 nm are investigated. The experimental results show that the light output power (LOP), external quantum efficiency (EQE) and wall-plug efficiency (WPE) of the DUV-LEDs tend to first increase and then decrease with the period number of SL-EBL increasing, while the leakage current decreases and the reliability is enhanced. The maximum EQE and WPE of the DUV-LED are 3.5% and 3.2%, respectively, at an injection current of 7.5 mA when the period number of SL-EBL is fixed at 7 (the thickness is 28 nm). Meanwhile, the numerical simulation results show that the electron potential barrier height is enhanced with the period number of SL-EBL increasing, and the variation of the hole potential barrier height is negligible. Therefore, increasing the period number of SL-EBL is beneficial to shielding the dislocations and suppressing the leakage of electrons into the p-type layer, which improves the luminous efficiency and reliability of DUV-LEDs. However, when the period number of SL-EBL exceeds 7, the excessively thick hole potential barrier prevents the holes from entering into the activation region and reduces the radiative recombination efficiency. Therefore, EQE and WPE will show an inflection point with the variation of the period number of SL-EBL. In addition, to investigate the carrier recombination mechanism of the active region, the experimental EQE curves are fitted by the ABC model as well as the different slopes in logarithmic light output power-current (L-I) curves are calculated after aging. It can be found that increasing the period number of SL-EBL can effectively suppress the non-radiative combination of carriers in the active region. This investigation can provide an alternative way to enhance the photoelectric performance of DUV-LEDs.
2024, 73(12): 129201.
doi:10.7498/aps.73.20240341
Abstract:
Large high altitude air shower observatory (LHAASO) is a complex of extensive air shower (EAS) detector arrays, located on the Mt. Haizi (29°21' N, 100°08' E) at an altitude of 4410 m a. s. l., Daocheng, Sichuan Province, China. The information about primary cosmic rays can be obtained by using data from secondary particles measured at LHAASO, with photons make up the majority among these secondary particles. During thunderstorms, the atmospheric electric field can affect secondary charged particles (mainly positrons and electrons), thus changing the information of photons on the ground. In this work, Monte Carlo simulations are performed to investigate the effects of near-ground thunderstorm electric fields on cosmic ray secondary photons at LHAASO. A simple model with a vertical and uniform atmospheric electric field in a layer of atmosphere is used in our simulations. During thunderstorms, the number and energy of photons are found to significantly change and strongly depend on the electric field strength. In a field of –1000 V/cm (below the threshold of the relativistic runaway electron avalanche (RREA) process), the number of photons is increased by 23%. Also, the spectrum of photons softens, and the increased number of photons with energy less than 2 MeV exceeds 29%. In an electric field of –1700 V/cm (above the threshold of the RREA process), the number of photons experiences exponential growth, with an increase of 279%. The spectrum of photons becomes softer than that at –1000 V/cm, and the increased number with energy less than 2 MeV is more than 361%. It is consistent with the theory of RREA. For these phenomena of photons at LHAASO, the main factor is that the number of positrons and electrons are increased due to the acceleration of negative electric field on electrons, with increase of 65% in –1000 V/cm and 992% in –1700 V/cm, and the spectrum of positrons and electrons soften. Newborn free positrons/electrons may undergo bremsstrahlung and deposit part of their energy into photons, causing the change of number and energy of photons to follow roughly the same pattern as positrons and electrons. The simulation results can provide the information for understanding the variations of the data detected by LHAASO during thunderstorms and the acceleration mechanisms of secondary charged particles caused by an atmospheric electric field.
Large high altitude air shower observatory (LHAASO) is a complex of extensive air shower (EAS) detector arrays, located on the Mt. Haizi (29°21' N, 100°08' E) at an altitude of 4410 m a. s. l., Daocheng, Sichuan Province, China. The information about primary cosmic rays can be obtained by using data from secondary particles measured at LHAASO, with photons make up the majority among these secondary particles. During thunderstorms, the atmospheric electric field can affect secondary charged particles (mainly positrons and electrons), thus changing the information of photons on the ground. In this work, Monte Carlo simulations are performed to investigate the effects of near-ground thunderstorm electric fields on cosmic ray secondary photons at LHAASO. A simple model with a vertical and uniform atmospheric electric field in a layer of atmosphere is used in our simulations. During thunderstorms, the number and energy of photons are found to significantly change and strongly depend on the electric field strength. In a field of –1000 V/cm (below the threshold of the relativistic runaway electron avalanche (RREA) process), the number of photons is increased by 23%. Also, the spectrum of photons softens, and the increased number of photons with energy less than 2 MeV exceeds 29%. In an electric field of –1700 V/cm (above the threshold of the RREA process), the number of photons experiences exponential growth, with an increase of 279%. The spectrum of photons becomes softer than that at –1000 V/cm, and the increased number with energy less than 2 MeV is more than 361%. It is consistent with the theory of RREA. For these phenomena of photons at LHAASO, the main factor is that the number of positrons and electrons are increased due to the acceleration of negative electric field on electrons, with increase of 65% in –1000 V/cm and 992% in –1700 V/cm, and the spectrum of positrons and electrons soften. Newborn free positrons/electrons may undergo bremsstrahlung and deposit part of their energy into photons, causing the change of number and energy of photons to follow roughly the same pattern as positrons and electrons. The simulation results can provide the information for understanding the variations of the data detected by LHAASO during thunderstorms and the acceleration mechanisms of secondary charged particles caused by an atmospheric electric field.












