Current Issue
column
- The 90th Anniversary ofActa Physica Sinica
- SPECIAL TOPIC—Correlated electron materials and scattering spectroscopy studies
- SPECIAL TOPIC—Correlated electron materials and scattering spectroscopy
- REVIEW
- GENERAL
- ATOMIC AND MOLECULAR PHYSICS
- ELECTROMAGNETISM, OPTICS, ACOUSTICS, HEAT TRANSFER, CLASSICAL MECHANICS, AND FLUID DYNAMICS
- CONDENSED MATTER: STRUCTURAL, MECHANICAL, AND THERMAL PROPERTIES
- CONDENSED MATTER: ELECTRONIC STRUCTURE, ELECTRICAL, MAGNETIC, AND OPTICAL PROPERTIES
- INTERDISCIPLINARY PHYSICS AND RELATED AREAS OF SCIENCE AND TECHNOLOGY
- GEOPHYSICS, ASTRONOMY, AND ASTROPHYSICS
Display Method:
2024, 73(19): 191101.
doi:10.7498/aps.73.20241020
Abstract:
The asymmetric origin of matter and antimatter in the universe is an important unsolved mystery in science today. In this paper, we briefly review the history of antimatter research and the recent international hotspots of related research. This paper focuses on the advances in antimatter research made in recent years at the large-scale international RHIC-STAR experiment at the Relativistic Heavy Ion Collider, including the discovery of the first antimatter hypernucleus (anti-hypertriton), antimatter helium 4 and antihyperhydrogen 4, the first measurements of antiproton interactions, and the precise measurements of the mass and binding energy of the hypertriton and anti-hypertriton. The antimatter hypertriton nucleus, composed of an antiproton, an antineutron, and an anti-Λ hyperon, is the first anti-hypernucleu to be discovered, extending the three-dimensional nuclide map from the anti-strange quark degree of freedom. Antimatter Helium 4 is the heaviest stable antimatter nucleus yet discovered. Anti-hyperhydrogen 4, just discovered in 2024, is composed of an antiproton, two antineutrons, and an anti-Λ hyperon, and is the heaviest antimatter hypernucleus to date. Equivalence to the proton-proton interaction was established by measurements of the antiproton-antiproton interaction. At the same time, precise measurements of the mass of hypertriton and anti-hypertriton nuclei confirmed the equivalence of matter and antimatter. And these also fully demonstrate that the CPT symmetry is also valid for antimatter nuclei. Measurements of the binding energy of the hypertriton nucleus indicate that the interaction between Λ and the nucleus of the hypertriton (the deuterium nucleus) is strong, which differs from the earlier common belief that the hypertriton nucleus is a weakly bound system. Furthermore, we discuss different physical mechanisms for the production of (anti) light nuclei, mainly including thermal, coalescence and relativistic kinetic models. Finally, we also present recent results from antihydrogen atom experiments at CERN, antimatter space probes, etc., and discuss the implications of these advances for understanding the structure of matter. Overall, the existing studies of antimatter nuclei and atoms have not yet provided clear evidence for the asymmetric origin of matter and antimatter in the universe, which can help further improve the accuracy of various measurements in antimatter research. Of course, other efforts in this direction in nuclear and particle physics are well expected.
The asymmetric origin of matter and antimatter in the universe is an important unsolved mystery in science today. In this paper, we briefly review the history of antimatter research and the recent international hotspots of related research. This paper focuses on the advances in antimatter research made in recent years at the large-scale international RHIC-STAR experiment at the Relativistic Heavy Ion Collider, including the discovery of the first antimatter hypernucleus (anti-hypertriton), antimatter helium 4 and antihyperhydrogen 4, the first measurements of antiproton interactions, and the precise measurements of the mass and binding energy of the hypertriton and anti-hypertriton. The antimatter hypertriton nucleus, composed of an antiproton, an antineutron, and an anti-Λ hyperon, is the first anti-hypernucleu to be discovered, extending the three-dimensional nuclide map from the anti-strange quark degree of freedom. Antimatter Helium 4 is the heaviest stable antimatter nucleus yet discovered. Anti-hyperhydrogen 4, just discovered in 2024, is composed of an antiproton, two antineutrons, and an anti-Λ hyperon, and is the heaviest antimatter hypernucleus to date. Equivalence to the proton-proton interaction was established by measurements of the antiproton-antiproton interaction. At the same time, precise measurements of the mass of hypertriton and anti-hypertriton nuclei confirmed the equivalence of matter and antimatter. And these also fully demonstrate that the CPT symmetry is also valid for antimatter nuclei. Measurements of the binding energy of the hypertriton nucleus indicate that the interaction between Λ and the nucleus of the hypertriton (the deuterium nucleus) is strong, which differs from the earlier common belief that the hypertriton nucleus is a weakly bound system. Furthermore, we discuss different physical mechanisms for the production of (anti) light nuclei, mainly including thermal, coalescence and relativistic kinetic models. Finally, we also present recent results from antihydrogen atom experiments at CERN, antimatter space probes, etc., and discuss the implications of these advances for understanding the structure of matter. Overall, the existing studies of antimatter nuclei and atoms have not yet provided clear evidence for the asymmetric origin of matter and antimatter in the universe, which can help further improve the accuracy of various measurements in antimatter research. Of course, other efforts in this direction in nuclear and particle physics are well expected.
2024, 73(19): 194201.
doi:10.7498/aps.73.20241061
Abstract:
With the development of ultrafast science and attosecond laser technology, the pump-probe system based on isolated attosecond laser pulses is a key to attosecond science, which will be used to study electronic dynamics on an attosecond time-scale. To obtain stable and reliable signals, it is necessary to ensure ultra-stable and ultra-accurate synchronization. Any timing jitter can cause signal to disperse or get buryied in noise, making it impossible to obtain the true physical mechanism. Based on the above, the delay between pump laser pulse and probe laser pulse must be controlled with an attosecond time resolution. In this work, a dual-layer system is developed to achieve high-precision synchronization locking. To ensure that both layers have the same time jitter, we design an adapter to secure the elements placed during installation. Timing jitter is obtained by shaking interference fringes through fast Fourier transformation, and can be calculated in several ms. Then error signals are fed back to the PZT stage in order to compensate for real-time optical path drift. Through such a design, a time-delay accuracy of 7.64 as to 15.53 as is realized, which is linearly related to the interferometer arm length ranging from 1 m to 5 m, with anR2of 0.96. Moreover, the error between the experimental result of arm length of 8 m and 10 m and the result fitted with the above data is less than 3 as. These results show that using a small interferometer can achieve the fast detection of the time-delay accuracy of long-arm attosecond pump-probe detection system in large scientific instrument, which is of great significance in guiding ther applications such as in non-collinear attosecond streaking spectroscopy, time-resolved photoelectron spectroscopy, and coherent synthesis.
With the development of ultrafast science and attosecond laser technology, the pump-probe system based on isolated attosecond laser pulses is a key to attosecond science, which will be used to study electronic dynamics on an attosecond time-scale. To obtain stable and reliable signals, it is necessary to ensure ultra-stable and ultra-accurate synchronization. Any timing jitter can cause signal to disperse or get buryied in noise, making it impossible to obtain the true physical mechanism. Based on the above, the delay between pump laser pulse and probe laser pulse must be controlled with an attosecond time resolution. In this work, a dual-layer system is developed to achieve high-precision synchronization locking. To ensure that both layers have the same time jitter, we design an adapter to secure the elements placed during installation. Timing jitter is obtained by shaking interference fringes through fast Fourier transformation, and can be calculated in several ms. Then error signals are fed back to the PZT stage in order to compensate for real-time optical path drift. Through such a design, a time-delay accuracy of 7.64 as to 15.53 as is realized, which is linearly related to the interferometer arm length ranging from 1 m to 5 m, with anR2of 0.96. Moreover, the error between the experimental result of arm length of 8 m and 10 m and the result fitted with the above data is less than 3 as. These results show that using a small interferometer can achieve the fast detection of the time-delay accuracy of long-arm attosecond pump-probe detection system in large scientific instrument, which is of great significance in guiding ther applications such as in non-collinear attosecond streaking spectroscopy, time-resolved photoelectron spectroscopy, and coherent synthesis.
2024, 73(19): 195201.
doi:10.7498/aps.73.20240652
Abstract:
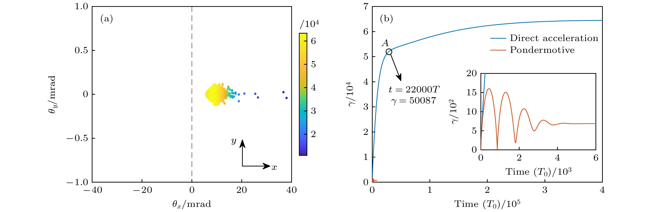
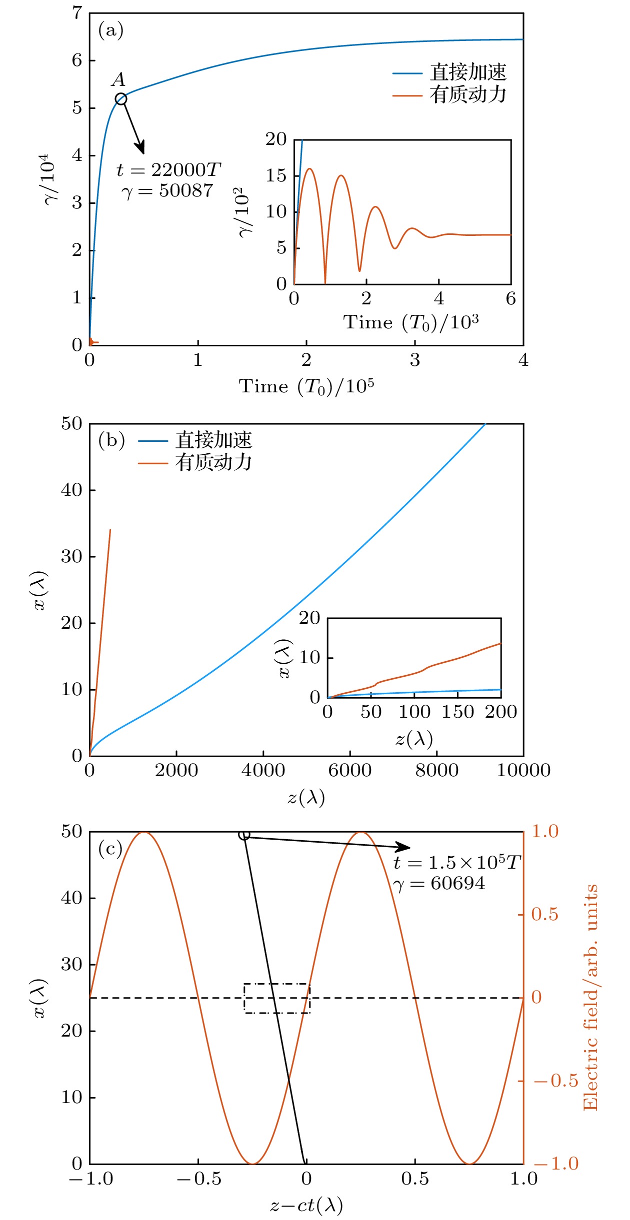
When an intense laser obliquely irradiates a solid, a pre-pulse will first ionize the solid surface, followed by the main pulse interacting with the plasma and ultimately being reflected by the plasma. Simultaneously, certain electrons within the plasma will be trapped in the accelerating phase of the laser field, subsequently gaining effective acceleration within the field, this phenomenon is known as phase-locked electron acceleration. Given the current intense lasers' electric field intensity nearing the TV/m range, electrons could potentially acquire energy levels on the order of hundreds of GeV or even TeV, provided they stay in the accelerating phase of the laser field long enough. Here, we initially use PIC (Particle-in-Cell) simulations to simulate the interaction process between laser pulses and plasma, thereby obtaining the properties of phase-locked electrons. In order to reduce computational demands, we turn to use a three-dimensional (3D) test particle model to calculate the subsequent interactions of these electrons with the reflected laser field. By this model, we obtain the data of the locked-phase electrons after having interacted with the reflected laser (Fig. (a)). Furthermore, we use this model to calculate the dynamical behavior of electrons under different initial conditions (Fig. (b)). Under the laser intensity of
\begin{document}$ {a}_{0}=350 $\end{document}
(
\begin{document}$ {a}_{0} $\end{document}
is the normalized laser vector potential), the energy of the electrons directly accelerated by the laser is enhanced to 32 GeV. In contrast, under the same laser intensity, the energy of the electrons accelerated by ponderomotive force is only 0.35 GeV. The research findings indicate that the strong laser with peak power around 10 PW can directly accelerate electrons to approximately 30 GeV. Additionally, this study outlines the optimal initial conditions for injecting electrons into the laser field and the final electron energy within the phase-locked acceleration mechanism, thereby establishing a calibration relationship with the laser field intensity. Given the continual enhancement of laser intensity and the potential application of the laser phase-locked electron acceleration mechanism to positron acceleration, this research holds promise for its implementation in fields such as miniaturized positron-electron colliders and high-energy gamma-ray sources.
When an intense laser obliquely irradiates a solid, a pre-pulse will first ionize the solid surface, followed by the main pulse interacting with the plasma and ultimately being reflected by the plasma. Simultaneously, certain electrons within the plasma will be trapped in the accelerating phase of the laser field, subsequently gaining effective acceleration within the field, this phenomenon is known as phase-locked electron acceleration. Given the current intense lasers' electric field intensity nearing the TV/m range, electrons could potentially acquire energy levels on the order of hundreds of GeV or even TeV, provided they stay in the accelerating phase of the laser field long enough. Here, we initially use PIC (Particle-in-Cell) simulations to simulate the interaction process between laser pulses and plasma, thereby obtaining the properties of phase-locked electrons. In order to reduce computational demands, we turn to use a three-dimensional (3D) test particle model to calculate the subsequent interactions of these electrons with the reflected laser field. By this model, we obtain the data of the locked-phase electrons after having interacted with the reflected laser (Fig. (a)). Furthermore, we use this model to calculate the dynamical behavior of electrons under different initial conditions (Fig. (b)). Under the laser intensity of
2024, 73(19): 190703.
doi:10.7498/aps.73.20240943
Abstract:
The Hefei Advanced Light Facility is the fourth-generation diffraction-limited storage ring light source, scheduled to begin operation in 2028. With its high-brightness and highly coherent X-rays, it will break through the current spatiotemporal resolution bottlenecks of X-ray techniques in studying correlated electron systems, providing crucial information for understanding the nature and microscopic origins of novel physical properties in these materials. This article introduces the main scientific goals and technical advantages of the Hefei Advanced Light Facility, focusing on the application perspectives of advanced technologies such as angle-resolved photoemission spectroscopy, magnetic circular dichroism, coherent X-ray scattering, and coherent X-ray imaging in researches of quantum materials and correlated electron systems. These techniques will enable the detailed analysis of the distribution and dynamics of electronic/spin/orbital states, reveal various novel quantum phenomena, and elucidate the fluctuations of order parameters in correlated electron systems. The completion of the Hefei Advanced Light Facility will provide advanced technical supports for decoding complex quantum states and non-equilibrium properties, ultimately promoting the application of quantum materials and correlated electron systems in frontier fields such as energy and information.
The Hefei Advanced Light Facility is the fourth-generation diffraction-limited storage ring light source, scheduled to begin operation in 2028. With its high-brightness and highly coherent X-rays, it will break through the current spatiotemporal resolution bottlenecks of X-ray techniques in studying correlated electron systems, providing crucial information for understanding the nature and microscopic origins of novel physical properties in these materials. This article introduces the main scientific goals and technical advantages of the Hefei Advanced Light Facility, focusing on the application perspectives of advanced technologies such as angle-resolved photoemission spectroscopy, magnetic circular dichroism, coherent X-ray scattering, and coherent X-ray imaging in researches of quantum materials and correlated electron systems. These techniques will enable the detailed analysis of the distribution and dynamics of electronic/spin/orbital states, reveal various novel quantum phenomena, and elucidate the fluctuations of order parameters in correlated electron systems. The completion of the Hefei Advanced Light Facility will provide advanced technical supports for decoding complex quantum states and non-equilibrium properties, ultimately promoting the application of quantum materials and correlated electron systems in frontier fields such as energy and information.
2024, 73(19): 197104.
doi:10.7498/aps.73.20240898
Abstract:
Ever since the discovery, nickelate superconductors have attracted great attention, declaring a “nickel age” of superconductivity. Currently, there are two types of nickelate superconductors: low-valence nickelate superconductors REn+1NinO2n+2(RE, rare earth;n, number of adjacent NiO2layers) and high-pressure nickelate superconductors La3Ni2O7and La4Ni3O10. Charge order plays a crucial role in studying the strongly correlated systems, especially the cuprate superconductors, in which potential correlation between charge order and superconductivity has been indicated. Thus, great efforts have been made to explore the charge order in nickelate superconductors. In the infinite-layer nickelate RENiO2, the evidence of charge order with in-plane wavevector ofQ//≈ (1/3, 0) has been found in the undoped and underdoped regime but not in the superconducting samples. However, subsequent studies have indicated that this is not the true charge order inherent in the NiO2plane,which carries unconventional superconductivity, but rather originates from the ordered excess apical oxygen in the partially reduced impurity phases. On the other hand, the overdoped low-valence nickelate La4Ni3O8shows well-defined intertwined charge and magnetic order, with an in-plane wavevector ofQ//= (1/3, 1/3). Resonant X-ray scattering study has found that nickel orbitals play the most important role in the multi-orbital contribution of charge order formation in this material, which is significantly different from the cuprates with oxygen orbitals dominating the charge modulation. Although the spin order in La3Ni2O7has been well established, there is still controversy over its spin structure and the existence of coexisting charge order. In La4Ni3O10, intertwined charge and spin density waves have been reported, the origin and characteristics of which remain unknown. Owing to the research on the nickelate superconductors just starting, many questions have not yet been answered, and the exploration of charge order in nickelate superconductors will still be the center of superconductor research.
Ever since the discovery, nickelate superconductors have attracted great attention, declaring a “nickel age” of superconductivity. Currently, there are two types of nickelate superconductors: low-valence nickelate superconductors REn+1NinO2n+2(RE, rare earth;n, number of adjacent NiO2layers) and high-pressure nickelate superconductors La3Ni2O7and La4Ni3O10. Charge order plays a crucial role in studying the strongly correlated systems, especially the cuprate superconductors, in which potential correlation between charge order and superconductivity has been indicated. Thus, great efforts have been made to explore the charge order in nickelate superconductors. In the infinite-layer nickelate RENiO2, the evidence of charge order with in-plane wavevector ofQ//≈ (1/3, 0) has been found in the undoped and underdoped regime but not in the superconducting samples. However, subsequent studies have indicated that this is not the true charge order inherent in the NiO2plane,which carries unconventional superconductivity, but rather originates from the ordered excess apical oxygen in the partially reduced impurity phases. On the other hand, the overdoped low-valence nickelate La4Ni3O8shows well-defined intertwined charge and magnetic order, with an in-plane wavevector ofQ//= (1/3, 1/3). Resonant X-ray scattering study has found that nickel orbitals play the most important role in the multi-orbital contribution of charge order formation in this material, which is significantly different from the cuprates with oxygen orbitals dominating the charge modulation. Although the spin order in La3Ni2O7has been well established, there is still controversy over its spin structure and the existence of coexisting charge order. In La4Ni3O10, intertwined charge and spin density waves have been reported, the origin and characteristics of which remain unknown. Owing to the research on the nickelate superconductors just starting, many questions have not yet been answered, and the exploration of charge order in nickelate superconductors will still be the center of superconductor research.
2024, 73(19): 197601.
doi:10.7498/aps.73.20240940
Abstract:
Muon spin relaxation/rotation (μSR) is a highly sensitive technique for investigating magnetic properties on an atomic scale. With the continuous development of this technique, the researches in condensed matter physics have been significantly promoted. Firstly, this article introduces the advantages and uniqueness of μSR technique, followed by several recent progress contributed by μSR in the field of condensed matter physics, including revealing the magnetic ground state of superconducting nickelates La3Ni2O7and (R, Sr)NiO2, the investigation into the charge density wave in kagome lattice superconductorAV3Sb5(A= K, Rb), identifying the magnetic droplets immersed in a sea of quantum spin liquid ground state in NaYbSe2, and the exploration of magnetic monopole near a magnetoelectric surface of Cr2O3. Finally, this article summarizes the current construction status and upgrade plans of muon facilities in the world.
Muon spin relaxation/rotation (μSR) is a highly sensitive technique for investigating magnetic properties on an atomic scale. With the continuous development of this technique, the researches in condensed matter physics have been significantly promoted. Firstly, this article introduces the advantages and uniqueness of μSR technique, followed by several recent progress contributed by μSR in the field of condensed matter physics, including revealing the magnetic ground state of superconducting nickelates La3Ni2O7and (R, Sr)NiO2, the investigation into the charge density wave in kagome lattice superconductorAV3Sb5(A= K, Rb), identifying the magnetic droplets immersed in a sea of quantum spin liquid ground state in NaYbSe2, and the exploration of magnetic monopole near a magnetoelectric surface of Cr2O3. Finally, this article summarizes the current construction status and upgrade plans of muon facilities in the world.
2024, 73(19): 194101.
doi:10.7498/aps.73.20240930
Abstract:
In 2005, the FLASH soft X-ray free-electron laser (FEL) in Hamburg, Germany, achieved its first lasing, which began an intensive phase of global FEL construction. Subsequently, the United States, Japan, South Korea, China, Italy, and Switzerland all began building such photon facilities. Recently, the new generation of FEL has started to utilize superconducting acceleration technology to achieve high-repetition-rate pulse output, thereby improving experimental efficiency. Currently completed facility is the European XFEL, ongoing constructions are the LCLS-II in the United States and the SHINE facility in Shanghai, and the facility in preparation is the Shenzhen superconducting soft X-ray free-electron laser (S
3FEL).
These FEL facilities generate coherent and tunable ultrashort pulses ranging from the extreme ultraviolet to hard X-ray spectrum, which advances the FEL-based scattering techniques such as ultrafast X-ray scattering, spectroscopy, and X-ray nonlinear optics, thereby transforming the way we study correlated quantum materials on an ultrafast timescale.
The self-amplified spontaneous emission (SASE) process in FEL leads to timing jitter between FEL pulses and the synchronized pump laser, influencing the accuracy of ultrafast time-resolved measurements. To address this issue, timing tools have been developed to measure these jitters and reindexed each pump-probe signal after measurement. This success enables ultrafast X-ray diffraction (UXRD) to be first realized, and a systematic study of Peierls distorted materials is demonstrated. In addition, the high flux of FEL pulses enables Fourier transform inelastic X-ray scattering (FT-IXS) method, which can extract the phonon dispersion curve of the entire Brillouin zone by performing the Fourier transform on the measured momentum dependent coherent phonon scattering signals, even when the system is in a non-equilibrium state.
The UXRD is typically used to study ultrafast lattice dynamics, which requires hard X-ray wavelengths. In contrast, time resolved resonant elastic X-ray scattering (tr-REXS) in the soft X-ray regime has become a standard method of investigating nano-sized charge and spin orders in correlated quantum materials on an ultrafast time scale.
In correlated quantum materials, the interplay between electron dynamics and lattice dynamics represents another important research direction. In addition to Zhi-Xun Shen's successful demonstration of the combined tr-ARPES and UXRD method at SLAC, this paper also reports the attempts to integrate UXRD with resonant X-ray emission spectroscopy (RXES) for the simultaneous measurement of electronic and lattice dynamics.
Resonant inelastic X-ray scattering (RIXS) is a powerful tool for studying elementary and collective excitations in correlated quantum materials. However, in FEL-based soft X-ray spectroscopy, the wavefront tilt introduced by the widely used grating monochromators inevitably stretches the FEL pulses, which degrades the time resolution. Therefore, the new design at FEL beamlines adopts low line density gratings with long exit arms to reduce pulse stretch and achieve relatively high energy resolution. For example, the Heisenberg-RIXS instrument at the European XFEL achieves an energy resolution of 92 meV at the Cu
L
3edge and approximately 150 fs time resolution.
In recent years, scientists at SwissFEL’s Furka station have drawn inspiration from femtosecond optical covariance spectroscopy to propose a new method of generating two-dimensional time-resolved resonant inelastic X-ray scattering (2D tr-RIXS) spectra. This method involves real-time detection of single-shot FEL incident and scattered spectra, followed by deconvolution calculation to avoid photon waste and wavefront tilt caused by monochromator slits. The SQS experimental station at European XFEL, built in 2023, features a 1D-XUV spectrometer that utilizes subtle variations in photon energy absorption across the sample to induce spatial energy dispersion. Using Wolter mirrors, it directly images spatially resolved fluorescence emission from the sample onto the detector to generate 2D tr-RIXS spectra without the need for deconvolution. However, this design is limited to specific samples. Currently, the S
3FEL under designing has a novel 2D tr-RIXS instrument that uses an upstream low line density grating monochromator to generate spatial dispersion of the beam spot, allowing the full bandwidth of SASE to project spatially dispersed photon energy onto the sample. Subsequently, an optical design similar to the 1D-XUV spectrometer will be employed to achieve 2D tr-RIXS spectra, thereby expanding the applicability beyond specific liquid samples. These new instruments are designed to minimize pulse elongation by fully utilizing SASE’s full bandwidth, approaching Fourier-transform-limited RIXS spectra in both time and energy resolution.
Nonlinear X-ray optical techniques, such as sum-frequency generation (SFG) and second-harmonic generation, are adapting to X-ray wavelengths and opening up new avenues for detecting elementary excitations. The X-ray transient grating spectroscopy extends its capabilities to studying charge transport and spin dynamics on an ultrafast timescale. The future development of these scattering methods provides unique opportunities for detecting dynamical events in various systems, including surface and interface processes, chirality, nanoscale transport, and so-called multidimensional core-level spectroscopy.
2024, 73(19): 197103.
doi:10.7498/aps.73.20241080
Abstract:
In the study of quantum materials, introducing pressure and strain that can change lattice parameters and symmetry is an effective experimental method for manipulating the electronic properties of the system. In measurements under hydrostatic pressure or in-plane epitaxial strain, the changes in lattice parameters will lead to significant changes in the electronic structure, thereby triggering off novel quantum phenomena and phase transitions. By comparison, the in-plane uniaxial strain, which has been widely employed in recent years, not only changes lattice parameters, but also directly destroys and controls the symmetry of the system, thereby affecting the electronic ordering state and even collective excitation of the system. This article provides a comprehensive overview of the basic concepts of uniaxial strain, the development of experimental methods, and some research progress in using these methods to regulate superconductivity and electronic nematicity in iron-based superconductors. This review contains six sections. Section 1 focuses on a genetral introduction for the uniaxial strain techque and the arrangement of this paper. Section 2 is devoted to the basic concepts and formulas related to elastic moduli and the decomposition of uniaxial strain into irreducible symmetric channels underD4hpoint group. Section 3 gives iron-based superconductors (FeSCs) and discusses the uniaxial-pressure detwinning method and related research progress. Section 4 introduces the establishment of the elastoresistance as a probe of the nematic susceptibility and discusses the key researches in this direction. Section 5 describes the research progress of the effects of uniaxial strain on superconductivity and nematicity. In sections 4 and 5, key experimental techniques, such as elastoresistance, are discussed in detail. Section 6 extends the discussion to several types of quantum materials suitable for uniaxial-strain tuning method beyond the FeSCs. Finally, we provide a brief summary and outlook on the uniaxial strain tuning technique. Overall, this review article provides valuable resources for the beginners in the field of FeSC and those who are interested in using uniaxial strain to modulate the electronic properties of quantum materials. By summarizing recent advancements and experimental techniques, this review hopes to inspire further research and innovation in studying electronic materials under uniaxial strain.
In the study of quantum materials, introducing pressure and strain that can change lattice parameters and symmetry is an effective experimental method for manipulating the electronic properties of the system. In measurements under hydrostatic pressure or in-plane epitaxial strain, the changes in lattice parameters will lead to significant changes in the electronic structure, thereby triggering off novel quantum phenomena and phase transitions. By comparison, the in-plane uniaxial strain, which has been widely employed in recent years, not only changes lattice parameters, but also directly destroys and controls the symmetry of the system, thereby affecting the electronic ordering state and even collective excitation of the system. This article provides a comprehensive overview of the basic concepts of uniaxial strain, the development of experimental methods, and some research progress in using these methods to regulate superconductivity and electronic nematicity in iron-based superconductors. This review contains six sections. Section 1 focuses on a genetral introduction for the uniaxial strain techque and the arrangement of this paper. Section 2 is devoted to the basic concepts and formulas related to elastic moduli and the decomposition of uniaxial strain into irreducible symmetric channels underD4hpoint group. Section 3 gives iron-based superconductors (FeSCs) and discusses the uniaxial-pressure detwinning method and related research progress. Section 4 introduces the establishment of the elastoresistance as a probe of the nematic susceptibility and discusses the key researches in this direction. Section 5 describes the research progress of the effects of uniaxial strain on superconductivity and nematicity. In sections 4 and 5, key experimental techniques, such as elastoresistance, are discussed in detail. Section 6 extends the discussion to several types of quantum materials suitable for uniaxial-strain tuning method beyond the FeSCs. Finally, we provide a brief summary and outlook on the uniaxial strain tuning technique. Overall, this review article provides valuable resources for the beginners in the field of FeSC and those who are interested in using uniaxial strain to modulate the electronic properties of quantum materials. By summarizing recent advancements and experimental techniques, this review hopes to inspire further research and innovation in studying electronic materials under uniaxial strain.
2024, 73(19): 197301.
doi:10.7498/aps.73.20241009
Abstract:
The essence of quantum materials lies in the intricate coupling among charge, spin, orbital and lattice degrees of freedom. Although X-ray photoemission spectroscopy and inelastic neutron scattering have advantages in detecting fermionic single-particle spectral function and bosonic spin excitations in quantum materials, respectively, probing other bosonic collective excitations especially their coupling is not possible until the establishment of the advanced resonant inelastic X-ray scattering (RIXS). In the past decades, RIXS has flourished with continuously improved energy resolution which made a paradigm shift from measuring crystal-field splitting and the charge-transfer excitation, to probing collective excitations and the order parameters of all degrees of freedom. This review paper summarises the latest research progress of quantum materials studied by the soft X-ray RIXS. For instance, three-dimensional collective charge excitations, plasmons, were discovered experimentally by RIXS in both electron and hole doped cuprate superconductors. The collective orbital excitations and excitons were found in copper and nickel based quantum materials. For the newly discovered nickelate superconductors, RIXS has made substantial contributions to characterising their electronic and magnetic excitations and the related ordering phenomena critical for an in-depth understanding of the underlying superconducting mechanicsm. The RIXS is a unique tool in probing the higher-order spin excitations in quantum materials due to the strong spin-orbit coupling and the core-valence exchange interaction. The RIXS is also found to be superior in probing the Stoner magnetic excitations in magnetic metals and topological magnetic materials. Finally, the development of RIXS technology in Chinese large-scale research facilities is briefly prospected.
The essence of quantum materials lies in the intricate coupling among charge, spin, orbital and lattice degrees of freedom. Although X-ray photoemission spectroscopy and inelastic neutron scattering have advantages in detecting fermionic single-particle spectral function and bosonic spin excitations in quantum materials, respectively, probing other bosonic collective excitations especially their coupling is not possible until the establishment of the advanced resonant inelastic X-ray scattering (RIXS). In the past decades, RIXS has flourished with continuously improved energy resolution which made a paradigm shift from measuring crystal-field splitting and the charge-transfer excitation, to probing collective excitations and the order parameters of all degrees of freedom. This review paper summarises the latest research progress of quantum materials studied by the soft X-ray RIXS. For instance, three-dimensional collective charge excitations, plasmons, were discovered experimentally by RIXS in both electron and hole doped cuprate superconductors. The collective orbital excitations and excitons were found in copper and nickel based quantum materials. For the newly discovered nickelate superconductors, RIXS has made substantial contributions to characterising their electronic and magnetic excitations and the related ordering phenomena critical for an in-depth understanding of the underlying superconducting mechanicsm. The RIXS is a unique tool in probing the higher-order spin excitations in quantum materials due to the strong spin-orbit coupling and the core-valence exchange interaction. The RIXS is also found to be superior in probing the Stoner magnetic excitations in magnetic metals and topological magnetic materials. Finally, the development of RIXS technology in Chinese large-scale research facilities is briefly prospected.
2024, 73(19): 197401.
doi:10.7498/aps.73.20240983
Abstract:
In the 38 years since the discovery of cuprate superconductors, the theoretical mechanism of high-temperature superconductivity remains unresolved. Recent experimental progress has focused on exploring microscopic mechanisms by using novel characterization techniques. The development of synchrotron radiation has driven significant progress in spectroscopic methods. Resonant inelastic X-ray scattering (RIXS), based on synchrotron radiation, has been widely used to study cuprate superconductors due to its ability to perform bulk measurements, provide energy-momentum resolution, and directly probe various elemental excitations. The RIXS can measure phonons, which bind Cooper pairs in the BCS theory, and magnetic fluctuations and competing orders predicted by the Hubbard model in strongly correlated systems, allowing for the study of their interrelationships. This paper reviews the progress in using RIXS to measure charge density waves and related low-energy excitations, including phonon anomalies, in cuprate superconductors. It also examines the relationship between magnetic excitation and the highest superconducting transition temperature, and provides prospects for future research directions and challenges.
In the 38 years since the discovery of cuprate superconductors, the theoretical mechanism of high-temperature superconductivity remains unresolved. Recent experimental progress has focused on exploring microscopic mechanisms by using novel characterization techniques. The development of synchrotron radiation has driven significant progress in spectroscopic methods. Resonant inelastic X-ray scattering (RIXS), based on synchrotron radiation, has been widely used to study cuprate superconductors due to its ability to perform bulk measurements, provide energy-momentum resolution, and directly probe various elemental excitations. The RIXS can measure phonons, which bind Cooper pairs in the BCS theory, and magnetic fluctuations and competing orders predicted by the Hubbard model in strongly correlated systems, allowing for the study of their interrelationships. This paper reviews the progress in using RIXS to measure charge density waves and related low-energy excitations, including phonon anomalies, in cuprate superconductors. It also examines the relationship between magnetic excitation and the highest superconducting transition temperature, and provides prospects for future research directions and challenges.
2024, 73(19): 197602.
doi:10.7498/aps.73.20240926
Abstract:
The China Spallation Neutron Source Phase-II Project (CSNS-II) includes the construction of a muon source, namely “Muon station for sciEnce technoLOgy and inDustrY” (MELODY). A muon target station and a surface muon beam line will be completed as scheduled in 2029, making MELODY the first Chinese muon facility. This beam line mainly focuses on the application of muon spin relaxation/rotation/resonance (μSR) spectroscopy. The MELODY also reserves the tunnels for building a negative muon beam line and a decay muon beam line in the future, thereby further expanding the research field to muon-induced X-ray emission (MIXE) elemental analysis and μSR measurements in thick cells, respectively. The two types of material characterization technologies keep their uniqueness in multi-disciplinary researches, and also provide complementary insights for other techniques, such as neutron scattering, nuclear magnetic resonance, and X-ray fluorescence analysis.
The μSR spectroscopy is a mature technology for injecting highly spin polarized muon beams into various types of materials. The subsequent precession and relaxation of muon spin in its surrounding atomic environment reflect the static and dynamical properties of the material of interest, which are then measured by detecting the asymmetric emission of positrons from the decay of those muons, with an average lifetime of approximately 2.2 μs. This enables μSR to develop into a powerful quantum magnetic probe for investigating materials related to magnetism, superconductivity, and molecular dynamics. The combination of a positive muon and an electron is known as muonium, which is a unique and sensitive probe in studying semiconductors, new energy materials, free radical chemistry, etc. As the production of muon beams strongly relies on proton accelerator, only five muon facilities in the world are available for μSR experiments. This limits the large-scale application of muon related sciences. Especially, Chinese researchers face fierce competition and can only apply for precious and limited muon beam time from international muon sources to characterize the key properties of their materials.
The construction of the MELODY muon facility at CSNS-II aims to provide intense and pulsed muon beams for Chinese and international users to conduct their μSR measurements with high quality data in a low repetition rate operation mode. To achieve this goal, as shown in
Fig. 1
, the μSR spectrometer is designed with 1) over 3000 detector units to obtain a sufficient counting rate of 80 Million/h to significantly suppress statistical fluctuations in a short measuring time, 2) a high asymmetry of 0.3 to greatly amplify μSR signals so as to further reduce statistical fluctuations, and 3) extendable low temperature devices to cover most μSR applications and also fulfill experiments with extreme condition requirements.
The MIXE elemental analysis is a type of particle induced X-ray emission (PIXE) technology. Due to the heavier mass of negative muon, the energy of muonic X-ray is around 207 higher than that of X-ray or electron induced fluorescence X-ray. Thus, the MIXE technology is more sensitive to materials with low atomic numbers, and thick samples can be effectively studied without scratching their surfaces. Due to these advantages, the MIXE has been successfully applied to the elemental analysis of cultural heritages, meteorites, Li-ion batteries, etc. MELODY reserves tunnels for negative muon extractions and transport to a MIXE terminal. The MELODY research team is developing a new detection technology with high energy resolution and high counting capability to shorten the measuring time to an acceptable amount based on the 1-Hz repetition rate of muon pulses.
The μSR spectroscopy and MIXE are the two most important application fields of accelerator muon beams. The MELODY muon facility aims to develop and promote these technologies in China by constructing dedicated muon beam lines in CSNS-II and in the future. In this overview, we introduce the principles and advantages of the μSR and MIXE technologies, as well as the physical design and application prospects of the μSR and MIXE spectrometers based on the CSNS-II muon source. Finally, discussions and expectations are made regarding the future upgrade of the CSNS-II muon source’s muon beamline and its broader applications.
2024, 73(19): 198901.
doi:10.7498/aps.73.20240702
Abstract:
Supply chain is a chain structure formed by the sequential processes of production and distribution, spanning from raw material suppliers to end customers. An efficient and reliable supply chain is of great significance in enhancing enterprise’s market competitiveness and promoting sustainable social and economic development. The supply chain includes the interconnected flows of materials, resources, capital, and information across various stages, including procurement, production, warehousing, distribution, customer service, information management, and financial management. By representing the various participants in the supply chain as nodes and their interactions—such as the logistics, capital flow, information flow, and other interactions—as edges, the supply chain can be described and characterized as a complex network. In recent years, using complex network theory and methods to model and analyze supply chains has attracted increasing attention from researchers. This paper systematically reviews the supply chain research based on complex network theory, providing an in-depth analysis of supply chain networks in terms of network construction, structural properties, and management characteristics. First, this paper reviews two kinds of approaches to constructing supply chain network: empirical data-based approach and network model-based approach. In the empirical data-based research, scholars use common supply chain databases or integrate multiple data sources to identify the supply chain participants and clarify their attributes, behaviors, and interactions. Alternatively, the research based on network models employs the Barabási–Albert (BA) model, incorporating factors such as node distance, fitness, and edge weights, or uses hypergraph models to construct supply chain networks. Next, this paper summarizes the research on the structural properties of supply chain networks, focusing on their topological structure, key node identification, community detection, and vulnerability analysis. Relevant studies explore the topological structure of supply chain networks, uncovering the connections between nodes, hierarchical structures, and information flow paths between nodes. By analyzing factors such as node centrality, connection strength, and flow paths, the key nodes within the supply chain network are identified. Community detection algorithms are used to investigate the relationships between different structural parts and to analyze the positional structure, cooperative relationships, and interaction modes. Furthermore, quantitative evaluation indicators and management strategies are proposed for the robustness and resilience of supply chain networks. Further research has explored the management characteristics of supply chain networks, including risk propagation and competition game. Relevant studies have employed three main methods—epidemic model, cascading failure model, and agent-based model—to construct risk propagation models, simulate the spread of disruption risks, and analyze the mechanisms, paths, and extent of risk propagation within supply chain networks. These studies provide valuable insights for developing risk prevention and mitigation strategies. In addition, the game theory has been used to investigate the cooperative competition, resource allocation, and strategy selection among enterprises within the supply chain network. This paper reviews the research contents and emerging trends in supply chain studies based on complex network methods. It demonstrates the effectiveness and applicability of complex network theory in supply chain network research, discusses key challenges, such as how to obtain accurate, comprehensive, and timely supply chain network data, proposes standardized data processing methods, and determines the attributes of supply chain network nodes and the strength of their relationships. Furthermore, research on the structure of supply chain network has not yet fully captured the unique characteristics of supply chain networks. Existing models and methods for vulnerability assessment often fail to consider the dynamic and nonlinear characteristics of supply chain networks. Research on risk propagation in supply chains has not sufficiently integrated empirical data, overlooking the diversity of risk sources and the complexity of propagation paths. The asymmetry and incompleteness of information in supply chain networks, as well as multiple sources of uncertainty, make the prediction and analysis of multi-party decision-making behavior more complex. This paper also outlines several key directions for future research. One direction involves using high-order network theory to model interactions among multiple nodes and to describe the dynamics of multi-agent interactions within supply chain networks. Furthermore, integrating long short-term memory (LSTM) methods to process long-term dependence in time-series data can enhance the analysis of network structure evolution and improve the prediction of future states. The application of reinforcement learning algorithms can also adaptively adjust network structures and strategies according to changing conditions and demands, thereby improving the adaptability and response speed of supply chain networks in emergency situations. This paper aims to provide valuable insights for supplying chain research and promoting the development and application of complex network methods in this field.
Supply chain is a chain structure formed by the sequential processes of production and distribution, spanning from raw material suppliers to end customers. An efficient and reliable supply chain is of great significance in enhancing enterprise’s market competitiveness and promoting sustainable social and economic development. The supply chain includes the interconnected flows of materials, resources, capital, and information across various stages, including procurement, production, warehousing, distribution, customer service, information management, and financial management. By representing the various participants in the supply chain as nodes and their interactions—such as the logistics, capital flow, information flow, and other interactions—as edges, the supply chain can be described and characterized as a complex network. In recent years, using complex network theory and methods to model and analyze supply chains has attracted increasing attention from researchers. This paper systematically reviews the supply chain research based on complex network theory, providing an in-depth analysis of supply chain networks in terms of network construction, structural properties, and management characteristics. First, this paper reviews two kinds of approaches to constructing supply chain network: empirical data-based approach and network model-based approach. In the empirical data-based research, scholars use common supply chain databases or integrate multiple data sources to identify the supply chain participants and clarify their attributes, behaviors, and interactions. Alternatively, the research based on network models employs the Barabási–Albert (BA) model, incorporating factors such as node distance, fitness, and edge weights, or uses hypergraph models to construct supply chain networks. Next, this paper summarizes the research on the structural properties of supply chain networks, focusing on their topological structure, key node identification, community detection, and vulnerability analysis. Relevant studies explore the topological structure of supply chain networks, uncovering the connections between nodes, hierarchical structures, and information flow paths between nodes. By analyzing factors such as node centrality, connection strength, and flow paths, the key nodes within the supply chain network are identified. Community detection algorithms are used to investigate the relationships between different structural parts and to analyze the positional structure, cooperative relationships, and interaction modes. Furthermore, quantitative evaluation indicators and management strategies are proposed for the robustness and resilience of supply chain networks. Further research has explored the management characteristics of supply chain networks, including risk propagation and competition game. Relevant studies have employed three main methods—epidemic model, cascading failure model, and agent-based model—to construct risk propagation models, simulate the spread of disruption risks, and analyze the mechanisms, paths, and extent of risk propagation within supply chain networks. These studies provide valuable insights for developing risk prevention and mitigation strategies. In addition, the game theory has been used to investigate the cooperative competition, resource allocation, and strategy selection among enterprises within the supply chain network. This paper reviews the research contents and emerging trends in supply chain studies based on complex network methods. It demonstrates the effectiveness and applicability of complex network theory in supply chain network research, discusses key challenges, such as how to obtain accurate, comprehensive, and timely supply chain network data, proposes standardized data processing methods, and determines the attributes of supply chain network nodes and the strength of their relationships. Furthermore, research on the structure of supply chain network has not yet fully captured the unique characteristics of supply chain networks. Existing models and methods for vulnerability assessment often fail to consider the dynamic and nonlinear characteristics of supply chain networks. Research on risk propagation in supply chains has not sufficiently integrated empirical data, overlooking the diversity of risk sources and the complexity of propagation paths. The asymmetry and incompleteness of information in supply chain networks, as well as multiple sources of uncertainty, make the prediction and analysis of multi-party decision-making behavior more complex. This paper also outlines several key directions for future research. One direction involves using high-order network theory to model interactions among multiple nodes and to describe the dynamics of multi-agent interactions within supply chain networks. Furthermore, integrating long short-term memory (LSTM) methods to process long-term dependence in time-series data can enhance the analysis of network structure evolution and improve the prediction of future states. The application of reinforcement learning algorithms can also adaptively adjust network structures and strategies according to changing conditions and demands, thereby improving the adaptability and response speed of supply chain networks in emergency situations. This paper aims to provide valuable insights for supplying chain research and promoting the development and application of complex network methods in this field.
2024, 73(19): 190501.
doi:10.7498/aps.73.20240967
Abstract:
The fine structure of multi-compartment neurons can simultaneously capture both temporal and spatial characteristics, offering rich responses and intrinsic mechanisms. However, current studies of the effects of channel blockage and noise on neuronal response states are mainly limited to single-compartment neurons. This study introduces an analytical method to explore theintrinsic mechanism of channel blockage and noise effects on the response states of multi-compartment neurons, by using the smooth Pinsky-Rinzel two-compartment neuron model as a case study. Potassium, sodium, and calcium ion channel blockage coefficient are separately introduced to develop a smooth Pinsky-Rinzel neuron model with ion channel blockage. Methods such as single-parameter bifurcation analysis, double-parameter bifurcation analysis, coefficient of variation, and frequency characteristics analysis are utilized to examine the effects of various ion channel blockages on neuronal response states. Additionally, smooth Pinsky-Rinzel neuron Subunit noise model and conductance noise model are constructed to investigate their response characteristics by using interspike interval analysis and coefficient of variation indicators. Subthreshold stimulation is used to explore the presence of stochastic resonance phenomena. Single-parameter bifurcation analysis of the ion channel blockage model elucidates the dynamic processes of two torus bifurcations and limit point bifurcations in Pinsky-Rinzel neuron firing under potassium ion blocking. Double-parameter bifurcation analysis reveals a nearly linear increase in the Hopf bifurcation node of potassium ions with input current, whereas sodium ions exhibit a two-stage pattern of linear decline followed by exponential rise. The analysis of average firing frequency and coefficient of variation indicates that the moderate potassium channel blockage promotes firing, sodium channel blockage inhibits firing, and calcium channel blockage shows the complex characteristics but mainly promotes firing. Subthreshold stimulation of the channel noise model demonstrates the stochastic resonance phenomena in both models, accompanied by more intense chaotic firing, highlighting the positive role of noise in neural signal transmission. The interspike interval and coefficient of variation indicators show consistent variation levels for both noise models, with the conductance model displaying greater sensitivity to membrane area and stronger encoding capabilities. This study analyzes the general frequency characteristics of potassium and sodium ions in a multi-compartment neuron model through ion channel blocking model, providing special insights into the unique role of calcium ions. Further, the study explores stochastic resonance by using ion channel noise model, supporting the theory of noise-enhanced signal processing and offering new perspectives and tools for future studying complex information encoding in neural systems. By constructing an ion channel blockage model, the effects of potassium and sodium ions on the frequency characteristics of multi-compartment neurons are analyzed and the special influences of calcium ions are revealed. Using the ion channel noise model, the stochastic resonance is investigated, supporting the theory that the noise enhances signal processing. This research offers a new perspective and tool for studying the complex information encoding in neural systems.
The fine structure of multi-compartment neurons can simultaneously capture both temporal and spatial characteristics, offering rich responses and intrinsic mechanisms. However, current studies of the effects of channel blockage and noise on neuronal response states are mainly limited to single-compartment neurons. This study introduces an analytical method to explore theintrinsic mechanism of channel blockage and noise effects on the response states of multi-compartment neurons, by using the smooth Pinsky-Rinzel two-compartment neuron model as a case study. Potassium, sodium, and calcium ion channel blockage coefficient are separately introduced to develop a smooth Pinsky-Rinzel neuron model with ion channel blockage. Methods such as single-parameter bifurcation analysis, double-parameter bifurcation analysis, coefficient of variation, and frequency characteristics analysis are utilized to examine the effects of various ion channel blockages on neuronal response states. Additionally, smooth Pinsky-Rinzel neuron Subunit noise model and conductance noise model are constructed to investigate their response characteristics by using interspike interval analysis and coefficient of variation indicators. Subthreshold stimulation is used to explore the presence of stochastic resonance phenomena. Single-parameter bifurcation analysis of the ion channel blockage model elucidates the dynamic processes of two torus bifurcations and limit point bifurcations in Pinsky-Rinzel neuron firing under potassium ion blocking. Double-parameter bifurcation analysis reveals a nearly linear increase in the Hopf bifurcation node of potassium ions with input current, whereas sodium ions exhibit a two-stage pattern of linear decline followed by exponential rise. The analysis of average firing frequency and coefficient of variation indicates that the moderate potassium channel blockage promotes firing, sodium channel blockage inhibits firing, and calcium channel blockage shows the complex characteristics but mainly promotes firing. Subthreshold stimulation of the channel noise model demonstrates the stochastic resonance phenomena in both models, accompanied by more intense chaotic firing, highlighting the positive role of noise in neural signal transmission. The interspike interval and coefficient of variation indicators show consistent variation levels for both noise models, with the conductance model displaying greater sensitivity to membrane area and stronger encoding capabilities. This study analyzes the general frequency characteristics of potassium and sodium ions in a multi-compartment neuron model through ion channel blocking model, providing special insights into the unique role of calcium ions. Further, the study explores stochastic resonance by using ion channel noise model, supporting the theory of noise-enhanced signal processing and offering new perspectives and tools for future studying complex information encoding in neural systems. By constructing an ion channel blockage model, the effects of potassium and sodium ions on the frequency characteristics of multi-compartment neurons are analyzed and the special influences of calcium ions are revealed. Using the ion channel noise model, the stochastic resonance is investigated, supporting the theory that the noise enhances signal processing. This research offers a new perspective and tool for studying the complex information encoding in neural systems.
2024, 73(19): 190701.
doi:10.7498/aps.73.20241104
Abstract:
At present, high-precision digital thermometers based on industrial platinum resistance have become a popular research direction and are widely used in environmental monitoring, medical health, industrial automation and other fields. However, due to the influence of materials and manufacturing processes, the measurement accuracy is average. With the increase of service life, it is inevitable that the temperature measurement deviation will be caused by the drift of the resistance value. The algorithm of correcting temperature is an effective method to improve the measurement accuracy of digital thermometers. Traditional compensation function correction algorithms such as polynomial fitting and B-spline fitting have good correction effect, but the problems of resistance drift cannot be solved. The segmented linear correction algorithm is simple and easy to implemente, but it requires multi-point temperature measurements. Because of the nonlinear changes of the temperature correction curve, the correction effect is average, which limits its correction accuracy and universality. Therefore, we proposenalgorithm of reconstructing temperature correction curve based on the pseudo inverse method. Firstly, the reconstruction matrix is built by using the original data and multiple characteristic temperature points. Then, the complete temperature correction curve is reconstructed by the characteristic temperature points to be reconstructed and the reconstruction matrix. Finally, the reconstructed temperature correction curve is automatically included in the sample database, which improves the diversity of samples and the correction accuracy of the algorithm. Experimental results show that the proposed algorithm has a better correction effect on nonlinear changes and drifts of the temperature correction curve. And the proposed algorithm is less affected by the number of characteristic temperature points and the selection combination. The complete temperature correction curve is well reconstructed by collecting only 4 characteristic temperature points. Therefore, the proposed algorithm can provide the effective support for improving the measurement accuracy of digital thermometer.
At present, high-precision digital thermometers based on industrial platinum resistance have become a popular research direction and are widely used in environmental monitoring, medical health, industrial automation and other fields. However, due to the influence of materials and manufacturing processes, the measurement accuracy is average. With the increase of service life, it is inevitable that the temperature measurement deviation will be caused by the drift of the resistance value. The algorithm of correcting temperature is an effective method to improve the measurement accuracy of digital thermometers. Traditional compensation function correction algorithms such as polynomial fitting and B-spline fitting have good correction effect, but the problems of resistance drift cannot be solved. The segmented linear correction algorithm is simple and easy to implemente, but it requires multi-point temperature measurements. Because of the nonlinear changes of the temperature correction curve, the correction effect is average, which limits its correction accuracy and universality. Therefore, we proposenalgorithm of reconstructing temperature correction curve based on the pseudo inverse method. Firstly, the reconstruction matrix is built by using the original data and multiple characteristic temperature points. Then, the complete temperature correction curve is reconstructed by the characteristic temperature points to be reconstructed and the reconstruction matrix. Finally, the reconstructed temperature correction curve is automatically included in the sample database, which improves the diversity of samples and the correction accuracy of the algorithm. Experimental results show that the proposed algorithm has a better correction effect on nonlinear changes and drifts of the temperature correction curve. And the proposed algorithm is less affected by the number of characteristic temperature points and the selection combination. The complete temperature correction curve is well reconstructed by collecting only 4 characteristic temperature points. Therefore, the proposed algorithm can provide the effective support for improving the measurement accuracy of digital thermometer.
2024, 73(19): 190702.
doi:10.7498/aps.73.20241019
Abstract:
GeTe belongs to a chalcogenide phase change material, which can dynamically achieve reversible switching between the crystalline state of low resistivity and the amorphous state of high resistivity by utilizing the thermally induced phase change characteristics. The GeTe is an important functional material in the fields of memristors and nonvolatile radio frequency (RF) switches. For RF switch applications, this paper focuses on optimizing the electrical performance of GeTe thin films prepared by magnetron sputtering. By comprehensively analyzing the effects of substrate materials, sputtering conditions, and annealing conditions on the resistivity of crystalline GeTe films, effective conditions for preparing low resistivity GeTe films are explored. Fig. (a) shows that compared with the GeTe film on a SiO2substrate, the film on an Al2O3substrate can obtain higher crystallinity and lower resistivity. For the deposition power and pressure shown in Fig. (b), the combination of medium power (50–80 W) and low pressure (2–3 mTorr) is beneficial for low crystalline resistivity of GeTe film. Additionally, Fig. (c) shows that higher annealing temperature (350–400 ℃) can realize lower film resistivity. Finally, the experimental results show that the lowest crystalline resistivity of the prepared GeTe thin film reaches 3.6×10–6Ω·m, and the resistance ratio is more than 106. Based on rectangular chips of GeTe film, a parallel millimeter-wave switch with zero static power is also constructed. As shown in Fig. (d), the insertion loss is less than 2.4 dB, and the isolation is greater than 19 dB in a 1–40 GHz frequency band, demonstrating the potential application of GeTe thin films in the field of broadband high-performance discrete nonvolatile RF switches.
GeTe belongs to a chalcogenide phase change material, which can dynamically achieve reversible switching between the crystalline state of low resistivity and the amorphous state of high resistivity by utilizing the thermally induced phase change characteristics. The GeTe is an important functional material in the fields of memristors and nonvolatile radio frequency (RF) switches. For RF switch applications, this paper focuses on optimizing the electrical performance of GeTe thin films prepared by magnetron sputtering. By comprehensively analyzing the effects of substrate materials, sputtering conditions, and annealing conditions on the resistivity of crystalline GeTe films, effective conditions for preparing low resistivity GeTe films are explored. Fig. (a) shows that compared with the GeTe film on a SiO2substrate, the film on an Al2O3substrate can obtain higher crystallinity and lower resistivity. For the deposition power and pressure shown in Fig. (b), the combination of medium power (50–80 W) and low pressure (2–3 mTorr) is beneficial for low crystalline resistivity of GeTe film. Additionally, Fig. (c) shows that higher annealing temperature (350–400 ℃) can realize lower film resistivity. Finally, the experimental results show that the lowest crystalline resistivity of the prepared GeTe thin film reaches 3.6×10–6Ω·m, and the resistance ratio is more than 106. Based on rectangular chips of GeTe film, a parallel millimeter-wave switch with zero static power is also constructed. As shown in Fig. (d), the insertion loss is less than 2.4 dB, and the isolation is greater than 19 dB in a 1–40 GHz frequency band, demonstrating the potential application of GeTe thin films in the field of broadband high-performance discrete nonvolatile RF switches.
2024, 73(19): 193201.
doi:10.7498/aps.73.20240944
Abstract:
Cocrystals represent an effective method to manipulate the physicochemical properties of materials at a molecular level. However, understanding the relationship between their complex crystal structures and macroscopic properties is a challenge. In this paper, by using terahertz (THz) spectroscopy to characterize non-covalent interactions within crystals, the THz vibrational spectra of the CL-20/MTNP cocrystal are studied. Firstly, the THz spectra of CL-20, MTNP, and the CL-20/MTNP cocrystal are measured at room temperature. Both absorption positions and intensities of the cocrystals differ from those of their original components, confirming the unique advantage of terahertz spectroscopy in cocrystal identification. Secondly, the THz vibrational features of the three materials are calculated based on density functional theory (DFT). Then, the experimental absorptions are matched with the calculated vibrations. Furthermore, a vibrational decomposition method is employed to decompose the molecular vibrations into intermolecular and intramolecular vibrations. The vibrational variations of the cocrystal compared with its original components are analyzed. The results reveal that in the cocrystal, the intermolecular vibrational modes of both CL-20 and MTNP molecules have changed compared with their raw materials. This indicates that the non-covalent interactions in the cocrystal have changed the original intermolecular interactions of these molecules. Consequently, this enhancement promotes the heat transfer between MTNP and CL-20 molecules, thereby improving the thermal stability of the cocrystal. These findings in this study demonstrate that the THz vibrational spectroscopy technology helps establish a relationship between the molecular structure of cocrystal and its macroscopic properties. This research contributes to deepening our understanding of cocrystal systems and opens up a new way for designing and optimizing materials.
Cocrystals represent an effective method to manipulate the physicochemical properties of materials at a molecular level. However, understanding the relationship between their complex crystal structures and macroscopic properties is a challenge. In this paper, by using terahertz (THz) spectroscopy to characterize non-covalent interactions within crystals, the THz vibrational spectra of the CL-20/MTNP cocrystal are studied. Firstly, the THz spectra of CL-20, MTNP, and the CL-20/MTNP cocrystal are measured at room temperature. Both absorption positions and intensities of the cocrystals differ from those of their original components, confirming the unique advantage of terahertz spectroscopy in cocrystal identification. Secondly, the THz vibrational features of the three materials are calculated based on density functional theory (DFT). Then, the experimental absorptions are matched with the calculated vibrations. Furthermore, a vibrational decomposition method is employed to decompose the molecular vibrations into intermolecular and intramolecular vibrations. The vibrational variations of the cocrystal compared with its original components are analyzed. The results reveal that in the cocrystal, the intermolecular vibrational modes of both CL-20 and MTNP molecules have changed compared with their raw materials. This indicates that the non-covalent interactions in the cocrystal have changed the original intermolecular interactions of these molecules. Consequently, this enhancement promotes the heat transfer between MTNP and CL-20 molecules, thereby improving the thermal stability of the cocrystal. These findings in this study demonstrate that the THz vibrational spectroscopy technology helps establish a relationship between the molecular structure of cocrystal and its macroscopic properties. This research contributes to deepening our understanding of cocrystal systems and opens up a new way for designing and optimizing materials.
2024, 73(19): 193601.
doi:10.7498/aps.73.20240962
Abstract:
Rare earth doped boron clusters have attracted much attention due to their special optical, electrical and magnetic properties. The geometric structures, stability, electronic properties and aromaticity of negative rare earth doped boron clusters
\begin{document}$ {\text{REB}}_n^ - $\end{document}
(RE = La, Sc;n= 6, 8) are investigated with the artificial bee colony algorithm combined with density functional theory calculations at the PBE0/RE/SDD//B/6-311+G* level of theory. Calculations show that the ground state structures of
\begin{document}$ {\text{REB}}_n^ - $\end{document}
(RE = La, Sc;n= 6, 8) are all ofC2symmetry, and the doped lanthanide atom is located in a “boat-shaped” structure at the top center. By comparing with the experimental photoelectron spectra, it is confirmed that the ground state structure of
\begin{document}$ {\text{LaB}}_{8}^ - $\end{document}
is a “zither-like” three-dimensional structure, and the ground state structure of
\begin{document}$ {\text{ScB}}_{8}^ - $\end{document}
is an “umbrella” structure withC7vsymmetry formed by the scandium atom at the “umbrella handle”. The electron localization between RE—B is not as good as that between B—B. The simulated photoelectron spectra have similar spectral characteristics to the experimental results. The lowest energy structures of
\begin{document}$ {\text{LaB}}_{6}^ - $\end{document}
and
\begin{document}$ {\text{ScB}}_{6}^ - $\end{document}
areσ-π double aromatic clusters, and the structures exhibit aromaticity. The density of states of low-energy isomers shows that the open shell
\begin{document}$ {\text{ScB}}_{8}^ - $\end{document}
density of states spectrum exhibits spin polarization phenomenon, which is expected to assemble magnetic material components. These studies contribute to understanding the evolution of structure and properties of nanomaterials, and provide important theoretical support for designing nanomaterials with practical value.
Rare earth doped boron clusters have attracted much attention due to their special optical, electrical and magnetic properties. The geometric structures, stability, electronic properties and aromaticity of negative rare earth doped boron clusters
2024, 73(19): 194301.
doi:10.7498/aps.73.20240887
Abstract:
Piezoelectric ring transducer is one of the most common underwater transducers, and its radial vibration, bending vibration in-plane
\begin{document}$r \text- \theta $\end{document}
and out-of-plane
\begin{document}$r \text- \theta $\end{document}
have been widely studied. However, the current research on the bending vibration in the plane
\begin{document}$r \text- z$\end{document}
of the ring is insufficient, although it may have a noticeable influence on the applicability of the underwater transducers. In this study, mechanical analysis and related mathematical calculations of the bending vibrations in the plane
\begin{document}$r \text- z$\end{document}
are carried out by using the thin-shell theory. Herein, the following three aspects are studied: 1) free vibration theory solution, 2) forced vibration: multi-order modal excitation theory, and 3) related finite element calculations and experimental verification. In this study, the bending vibration equations under electrical short and electric open condition are derived, and the multi-order resonance frequency prediction formulas and shape functions for both conditions are obtained by analytical solution and function fitting. Using the finite element method, the influence of piezoelectric effect and the range of applicability of these two electrical conditions are analyzed. The non-homogeneous equations under forced vibration are solved. By utilizing the orthogonal completeness of the vibration mode function, an integral transformation with the vibration mode function can be defined as the basis vector, so that the equation is solved in a simple positive space, and the results reveal the relationship between the coefficients of the modes of different orders and the voltage distribution. By modal theory, the effects of electrical excitation conditions on the multistep bending vibration modes are investigated, and effective methods such as unimodal excitation, partial excitation and single-ended excitation acting on several different target modes are obtained. The proposed piezoelectric ring unimodal excitation and single-ended excitation methods successfully excite the target modes in the experiments: the unimodal excited ring excites only one of its corresponding bending modes, while the single-ended excitation method excites all the bending modes of the first five orders, and its modal strength characteristics are in accordance with the theoretical predictions. This study involves finite element simulation, experimental and theoretical comparative verification, which are in good agreement. The relevant conclusions can provide a theoretical basis for identifying the vibration modes of piezoelectric ring and the fine tuning of modal excitation.
Piezoelectric ring transducer is one of the most common underwater transducers, and its radial vibration, bending vibration in-plane
2024, 73(19): 196101.
doi:10.7498/aps.73.20240674
Abstract:
AlN materials have a wide range of applications in the fields of optoelectronic, power electronic, and radio frequency. However, the significant lattice mismatch and thermal mismatch between heteroepitaxial AlN and its substrate lead to a high threading dislocation (TD) density, thereby degrading the performance of device. In this work, we introduce a novel, cost-effective, and stable approach to epitaxially growing AlN. We inject different doses of nitrogen ions into nano patterned sapphire substrates, and then deposit the AlN layers by using metal-organic chemical vapor deposition. Ultraviolet light-emitting diode (UV-LED) with a luminescence wavelength of 395 nm is fabricated on it, and the optoelectronic properties are evaluated. Compared with the sample prepared by the traditional method, the sample injected with N ions at a dose of 1×1013cm–2exhibits an 82% reduction in screw TD density, the lowest surface roughness, and a 52% increase in photoluminescence intensity. It can be seen that appropriate dose of N ion implantation can promote the lateral growth and merging process in AlN heteroepitaxy. This is due to the fact that the process of implantation of N ions can suppress the tilt and twist of the nucleation islands, effectively reducing the density of TDs in AlN. Furthermore, in comparison with the controlled LED, the LED prepared on the high quality AlN template increases 63.8% and 61.7% in light output power and wall plug efficiency, respectively. The observed enhancement in device performance is attributed to the TD density of the epitaxial layer decreasing, which effectively reduces the nonradiative recombination centers. In summary, this study indicates that the ion implantation can significantly improve the quality of epitaxial AlN, thereby facilitating the development of high-performance AlN-based UV-LEDs.
AlN materials have a wide range of applications in the fields of optoelectronic, power electronic, and radio frequency. However, the significant lattice mismatch and thermal mismatch between heteroepitaxial AlN and its substrate lead to a high threading dislocation (TD) density, thereby degrading the performance of device. In this work, we introduce a novel, cost-effective, and stable approach to epitaxially growing AlN. We inject different doses of nitrogen ions into nano patterned sapphire substrates, and then deposit the AlN layers by using metal-organic chemical vapor deposition. Ultraviolet light-emitting diode (UV-LED) with a luminescence wavelength of 395 nm is fabricated on it, and the optoelectronic properties are evaluated. Compared with the sample prepared by the traditional method, the sample injected with N ions at a dose of 1×1013cm–2exhibits an 82% reduction in screw TD density, the lowest surface roughness, and a 52% increase in photoluminescence intensity. It can be seen that appropriate dose of N ion implantation can promote the lateral growth and merging process in AlN heteroepitaxy. This is due to the fact that the process of implantation of N ions can suppress the tilt and twist of the nucleation islands, effectively reducing the density of TDs in AlN. Furthermore, in comparison with the controlled LED, the LED prepared on the high quality AlN template increases 63.8% and 61.7% in light output power and wall plug efficiency, respectively. The observed enhancement in device performance is attributed to the TD density of the epitaxial layer decreasing, which effectively reduces the nonradiative recombination centers. In summary, this study indicates that the ion implantation can significantly improve the quality of epitaxial AlN, thereby facilitating the development of high-performance AlN-based UV-LEDs.
2024, 73(19): 196801.
doi:10.7498/aps.73.20240611
Abstract:
In recent years, MoSe2, as a kind of transition metal dichalcogenide, has aroused widespread research interest due to its special crystal structure with different electrical and optical properties. The band gap of molybdenum diselenide can be manipulated by different layers, strain engineering, doping, or the formation of heterostructures, which makes it potential advantages in optoelectronic devices and photovoltaic applications. In this work, we investigate the influence of selenization temperature on the structures and optical properties of the MoSe2films. Molybdenum (Mo) thin films are prepared by RF magnetron sputtering, and then MoSe2thin films are generated by selenization annealing. The surface morphology, crystal structure, and optical bandgap for each of the MoSe2thin films are characterized and analyzed by using scanning electron microscopy, X-ray diffraction, and ultraviolet visible spectroscopy, respectively. The results show that the crystal structures of the MoSe2thin films are closely related to the selenization temperature (Ts): with the increase of selenization temperature, the average grain size in the thin film decreases slightly and then increases rapidly from 24.82 nm to 55.76 nm. Meanwhile, the (002) crystal plane of MoSe2also exhibits preferential growth with temperature increasing. Each MoSe2thin film has a low absorption rate for short-wavelength light (around 600 nm). With the increase of selenization temperature, the bandgap waves of the MoSe2thin films are blue-shifted, and the optical bandgaps decrease, which is attributed to the fact that different selenization temperatures cause the lattice size of MoSe2to change, thereby affecting the spatial expansion of its electronic wave function. In addition, the structure and optical bandgap of MoSe2can be effectively controlled by changing the selenization temperature, which provides more possibilities for the applications of the MoSe2thin films in optical devices.
In recent years, MoSe2, as a kind of transition metal dichalcogenide, has aroused widespread research interest due to its special crystal structure with different electrical and optical properties. The band gap of molybdenum diselenide can be manipulated by different layers, strain engineering, doping, or the formation of heterostructures, which makes it potential advantages in optoelectronic devices and photovoltaic applications. In this work, we investigate the influence of selenization temperature on the structures and optical properties of the MoSe2films. Molybdenum (Mo) thin films are prepared by RF magnetron sputtering, and then MoSe2thin films are generated by selenization annealing. The surface morphology, crystal structure, and optical bandgap for each of the MoSe2thin films are characterized and analyzed by using scanning electron microscopy, X-ray diffraction, and ultraviolet visible spectroscopy, respectively. The results show that the crystal structures of the MoSe2thin films are closely related to the selenization temperature (Ts): with the increase of selenization temperature, the average grain size in the thin film decreases slightly and then increases rapidly from 24.82 nm to 55.76 nm. Meanwhile, the (002) crystal plane of MoSe2also exhibits preferential growth with temperature increasing. Each MoSe2thin film has a low absorption rate for short-wavelength light (around 600 nm). With the increase of selenization temperature, the bandgap waves of the MoSe2thin films are blue-shifted, and the optical bandgaps decrease, which is attributed to the fact that different selenization temperatures cause the lattice size of MoSe2to change, thereby affecting the spatial expansion of its electronic wave function. In addition, the structure and optical bandgap of MoSe2can be effectively controlled by changing the selenization temperature, which provides more possibilities for the applications of the MoSe2thin films in optical devices.
2024, 73(19): 197101.
doi:10.7498/aps.73.20240976
Abstract:
In this paper, we study the properties of a coupled chain modulated by the quasiperiodic complex potential. It is found that as the disorder strength increases, the system undergoes a localization transition from a fully extended phase to an intermediate phase, and then to a fully localized phase. The numerical solving of order parameters such as the average inverse participation ratio and the average normalized participation ratio, demonstrate that the fully extended phase, the intermediate phase with mobility edges, and the fully localized phase are all existent during the transition. The scalar analysis of the normalized participation ratio, confirms the stable existence of three different localization phases in the system. Moreover, the analytical derivation, shows that the localization transition from the extended phase to the intermediate phase and from the intermediate phase to the localized phase can be precisely determined. In addition, the local phase diagram of the system is also obtained by numerical calculation, as shown in Fig. (a). The regions for the extended, intermediate and localized phases are denoted by I-a (I-b), II, and III, respectively. The three black solid lines represent the localization transition points determined by the analytical results. One can see that the analytical results match the numerical results. Moreover, we discuss that the relationship between the real-complex spectrum transition and the localization transition. It is found that the energy spectrum of the system can undergo two real-to-complex transitions. Specifically, during the transition from the fully extended phase to the intermediate phase, the first real-complex transition occurs, where part of the energy spectrum changes from the real spectrum to the complex spectrum, while another part spectrum remains real. When the system transitions from the intermediate phase to the fully localized phase, the energy spectrum completely transforms into a complex spectrum. These research results provide a reference for the study of localization transitions and real-complex transitions in one-dimensional coupled chain systems, and also offer a new perspective for the study of localization.
In this paper, we study the properties of a coupled chain modulated by the quasiperiodic complex potential. It is found that as the disorder strength increases, the system undergoes a localization transition from a fully extended phase to an intermediate phase, and then to a fully localized phase. The numerical solving of order parameters such as the average inverse participation ratio and the average normalized participation ratio, demonstrate that the fully extended phase, the intermediate phase with mobility edges, and the fully localized phase are all existent during the transition. The scalar analysis of the normalized participation ratio, confirms the stable existence of three different localization phases in the system. Moreover, the analytical derivation, shows that the localization transition from the extended phase to the intermediate phase and from the intermediate phase to the localized phase can be precisely determined. In addition, the local phase diagram of the system is also obtained by numerical calculation, as shown in Fig. (a). The regions for the extended, intermediate and localized phases are denoted by I-a (I-b), II, and III, respectively. The three black solid lines represent the localization transition points determined by the analytical results. One can see that the analytical results match the numerical results. Moreover, we discuss that the relationship between the real-complex spectrum transition and the localization transition. It is found that the energy spectrum of the system can undergo two real-to-complex transitions. Specifically, during the transition from the fully extended phase to the intermediate phase, the first real-complex transition occurs, where part of the energy spectrum changes from the real spectrum to the complex spectrum, while another part spectrum remains real. When the system transitions from the intermediate phase to the fully localized phase, the energy spectrum completely transforms into a complex spectrum. These research results provide a reference for the study of localization transitions and real-complex transitions in one-dimensional coupled chain systems, and also offer a new perspective for the study of localization.
2024, 73(19): 197102.
doi:10.7498/aps.73.20240584
Abstract:
The multiple electronic phase transition achieved in the metastable perovskite (ReNiO3, where Re denotes a lanthanide rare-earth element) by using critical temperature, hydrogenation, electrical field and interfacial strain has attracted considerable attention in condensed matter physics and materials science, making it promising applications in the critical temperature thermistor, artificial intelligence, energy conversion and weak electric field sensing. Nevertheless, the above abundant applications are still bottlenecked by the intrinsically thermodynamic metastability related to ReNiO3. Herein, we synthesize the atomic-level flat ReNiO3film material with thermodynamic metastability using laser molecular beam epitaxy (LMBE) that exhibits excellent thermally-driven electronic phase transitions. Notably, the interfacial heterogeneous nucleation of ReNiO3film can be triggered by the template effect of (001)-oriented LaAlO3substrates, owing to the similar lattice constants between LaAlO3substrate and ReNiO3film. In addition, we elucidate the key role ofin situannealing under oxygen-enriched atmosphere in stabilizing the distorted perovskite structure related to ReNiO3. Apart from the depositing process related to LMBE, the ReNiO3with heavy rare-earth composition exhibits a more distorted NiO6octahedron and a higher Gibbs free energy that is rather difficult to synthesize by using physical vacuum deposition. As a representative case, thein situannealing-assisted LMBE process cannot be utilized to deposit the SmNiO3film, in which the impurity peaks related to Re2O3and NiO are observed in its XRD spectra. With the assistance of X-ray photoelectron spectraoscopy and near-edge X-ray absorption fine structure, the valence state of nickel for ReNiO3is found to be +3, and the
\begin{document}$t_{2{\mathrm{g}}}^6e_{\mathrm{g}}^1 $\end{document}
configuration is observed. Considering the highly tunable electronic orbital configuration of ReNiO3related to the NiO6octahedron, co-occupying the A-site of perovskite structure with Nd and Sm elements regulates the transition temperature (TMIT) for ReNiO3within a broad temperature range. Furthermore, we demonstrate the anisotropy in the electronic phase transitions for Nd1–xSmxNiO3, in which case theTMITachieved in the Nd1–xSmxNiO3/LaAlO3(111) heterostructure exceeds the one deposited on the (001)-oriented LaAlO3substrate. The presently observed anisotropy in the electrical transportation for Nd1–xSmxNiO3film material is related to the anisotropic in-plane NiO6octahedron configuration triggered by differently oriented LaAlO3substrates. The present work is expected to introduce a new degree of freedom to regulate the electronic phase transition, explore new electronic phase in ReNiO3material system, and pave the way for growing atomic-level flat ReNiO3film materials with expected electronic phase transitions.
The multiple electronic phase transition achieved in the metastable perovskite (ReNiO3, where Re denotes a lanthanide rare-earth element) by using critical temperature, hydrogenation, electrical field and interfacial strain has attracted considerable attention in condensed matter physics and materials science, making it promising applications in the critical temperature thermistor, artificial intelligence, energy conversion and weak electric field sensing. Nevertheless, the above abundant applications are still bottlenecked by the intrinsically thermodynamic metastability related to ReNiO3. Herein, we synthesize the atomic-level flat ReNiO3film material with thermodynamic metastability using laser molecular beam epitaxy (LMBE) that exhibits excellent thermally-driven electronic phase transitions. Notably, the interfacial heterogeneous nucleation of ReNiO3film can be triggered by the template effect of (001)-oriented LaAlO3substrates, owing to the similar lattice constants between LaAlO3substrate and ReNiO3film. In addition, we elucidate the key role ofin situannealing under oxygen-enriched atmosphere in stabilizing the distorted perovskite structure related to ReNiO3. Apart from the depositing process related to LMBE, the ReNiO3with heavy rare-earth composition exhibits a more distorted NiO6octahedron and a higher Gibbs free energy that is rather difficult to synthesize by using physical vacuum deposition. As a representative case, thein situannealing-assisted LMBE process cannot be utilized to deposit the SmNiO3film, in which the impurity peaks related to Re2O3and NiO are observed in its XRD spectra. With the assistance of X-ray photoelectron spectraoscopy and near-edge X-ray absorption fine structure, the valence state of nickel for ReNiO3is found to be +3, and the
2024, 73(19): 197402.
doi:10.7498/aps.73.20240832
Abstract:
Single-domain Y-Ba-Cu-O (YBCO) bulk superconductors can be widely used in the superconducting maglev, cryomagnets, motors/generators fields. In order to improve the performance of the YBCO bulk superconductors further, in this work, nano-CeO2doped YBCO bulk superconductors are fabricated by two infiltration growth techniques (011-IG and 211-IG) respectively, in which two solid pellets of compositions Y2O3+1.15BaCuO2+0.1CuO+1wt.% nano-CeO2and Y2BaCuO5(Y-211)+1 wt.% nano-CeO2are employed. And a novel pit-type seeding mode is used to prevent the film seed from moving in the heat treatment process, then the growth morphologies, microstructures and superconducting properties of the samples are investigated. The results show that at a low doping level (1 wt.%), the normal growth of the YBCO crystal is not affected, and fully-grown single-domain YBCO bulk superconductors can be successfully prepared by the two techniques. Furthermore, the positions of the seeds do not move at all, which proves the effectiveness of the new seeding mode. The perpendicular growth sector boundaries on the top surfaces of the samples and clear (00l) series X-ray diffraction (XRD) peaks both prove the highc-axis orientations and high growth quality of the samples. The scanning electron microscopy (SEM) results indicate that the nano-CeO2doping can effectively refine the sizes of the Y-211 micro-particles in the bulk superconductors, and this method is applicable to both techniques. Low-temperature magnetization measurement shows that the nano-CeO2doped sample prepared by the 011-IG method shows obviously betterJcproperty than the undoped sample at low fields, indicating that the refined Y-211 particles can effectively enhance the δl-type pinning. In addition, compared with the 211-IG-processed sample, the 011-IG-processed sample performs better in terms of levitation force, microstructure andJcproperty, thus the 011-IG method is a more promising preparation process. The results of this study are important in improving the performance of the YBCO bulk superconductors and optimizing the fabrication technique further.
Single-domain Y-Ba-Cu-O (YBCO) bulk superconductors can be widely used in the superconducting maglev, cryomagnets, motors/generators fields. In order to improve the performance of the YBCO bulk superconductors further, in this work, nano-CeO2doped YBCO bulk superconductors are fabricated by two infiltration growth techniques (011-IG and 211-IG) respectively, in which two solid pellets of compositions Y2O3+1.15BaCuO2+0.1CuO+1wt.% nano-CeO2and Y2BaCuO5(Y-211)+1 wt.% nano-CeO2are employed. And a novel pit-type seeding mode is used to prevent the film seed from moving in the heat treatment process, then the growth morphologies, microstructures and superconducting properties of the samples are investigated. The results show that at a low doping level (1 wt.%), the normal growth of the YBCO crystal is not affected, and fully-grown single-domain YBCO bulk superconductors can be successfully prepared by the two techniques. Furthermore, the positions of the seeds do not move at all, which proves the effectiveness of the new seeding mode. The perpendicular growth sector boundaries on the top surfaces of the samples and clear (00l) series X-ray diffraction (XRD) peaks both prove the highc-axis orientations and high growth quality of the samples. The scanning electron microscopy (SEM) results indicate that the nano-CeO2doping can effectively refine the sizes of the Y-211 micro-particles in the bulk superconductors, and this method is applicable to both techniques. Low-temperature magnetization measurement shows that the nano-CeO2doped sample prepared by the 011-IG method shows obviously betterJcproperty than the undoped sample at low fields, indicating that the refined Y-211 particles can effectively enhance the δl-type pinning. In addition, compared with the 211-IG-processed sample, the 011-IG-processed sample performs better in terms of levitation force, microstructure andJcproperty, thus the 011-IG method is a more promising preparation process. The results of this study are important in improving the performance of the YBCO bulk superconductors and optimizing the fabrication technique further.
2024, 73(19): 197501.
doi:10.7498/aps.73.20240829
Abstract:
Two-dimensional materials with both ferromagnetism and ferroelasticity present new possibilities for developing spintronics and multifunctional devices. These materials provide a novel method for controlling the direction of the magnetization axis by switching the ferroelastic state, achieving efficient and low-power operation of magnetic devices. Such properties make them a promising candidate for the next generation of non-volatile memory, sensors, and logic devices. By performing the first-principles calculations, the ferromagnetism, ferroelasticity, and magnetoelastic coupling in MoTeX(X= F, Cl, Br, I) monolayers are systematically investigated. The results indicate that the MoTeXmonolayers are intrinsic semiconductors holding both ferromagnetism and ferroelasticity. The pronounced in-plane magnetic anisotropy suggests that the MoTeXmonolayers can resist thermal disturbances and maintain long-range magnetic order. The Curie temperatures of MoTeXmonolayers are 144.75 K, 194.55 K, 111.45 K, and 92.02 K, respectively. Our calculations show that the four MoTeXmonolayers possess two stable ferroelastic states, with their easy magnetization axes perpendicular to each other. The ferroelastic transition barriers between the two ferroelastic states of MoTeF, MoTeCl, MoTeBr, MoTeI monolayers are 0.180 eV/atom, 0.200 eV/atom, 0.209 eV/atom, and 0.226 eV/atom, respectively, with their corresponding reversible strains of 54.58%, 46.32%, 43.06%, and 38.12%. These values indicate the potential for reversible magnetic control through reversible ferroelastic transition at room temperature. Owing to their unique magnetoelastic coupling properties, MoTeXmonolayers exhibit the ability to control reversible magnetization axis at room temperature, laying the foundation for the development of highly controllable and stable spintronic devices.
Two-dimensional materials with both ferromagnetism and ferroelasticity present new possibilities for developing spintronics and multifunctional devices. These materials provide a novel method for controlling the direction of the magnetization axis by switching the ferroelastic state, achieving efficient and low-power operation of magnetic devices. Such properties make them a promising candidate for the next generation of non-volatile memory, sensors, and logic devices. By performing the first-principles calculations, the ferromagnetism, ferroelasticity, and magnetoelastic coupling in MoTeX(X= F, Cl, Br, I) monolayers are systematically investigated. The results indicate that the MoTeXmonolayers are intrinsic semiconductors holding both ferromagnetism and ferroelasticity. The pronounced in-plane magnetic anisotropy suggests that the MoTeXmonolayers can resist thermal disturbances and maintain long-range magnetic order. The Curie temperatures of MoTeXmonolayers are 144.75 K, 194.55 K, 111.45 K, and 92.02 K, respectively. Our calculations show that the four MoTeXmonolayers possess two stable ferroelastic states, with their easy magnetization axes perpendicular to each other. The ferroelastic transition barriers between the two ferroelastic states of MoTeF, MoTeCl, MoTeBr, MoTeI monolayers are 0.180 eV/atom, 0.200 eV/atom, 0.209 eV/atom, and 0.226 eV/atom, respectively, with their corresponding reversible strains of 54.58%, 46.32%, 43.06%, and 38.12%. These values indicate the potential for reversible magnetic control through reversible ferroelastic transition at room temperature. Owing to their unique magnetoelastic coupling properties, MoTeXmonolayers exhibit the ability to control reversible magnetization axis at room temperature, laying the foundation for the development of highly controllable and stable spintronic devices.
2024, 73(19): 197801.
doi:10.7498/aps.73.20241066
Abstract:
The multi-mode composite imaging technology integrates the advantages of different sensors, and thus has the advantages of high image quality, strong information acquisition capability, high target detection and recognition ability, strong adaptability to complex environments, and high stability and robustness of the system. Among them, the terahertz and infrared composite imaging technology combines the characteristics of terahertz band and infrared band, has the advantages of wide spectrum coverage, high resolution and strong penetration, and has broad application prospects. As one of the key components of the common aperture composite imaging system, the efficient optical splitters in terahertz and infrared band are still lacking at present, and their performance needs to be improved urgently. In this paper, a kind of dichroic metasurface with a simple structure and high performance is proposed by combining simulation experiment and theoretical explanation. When used as a spectroscopic device at an incident angle of 45°, it achieves a transmission coefficient greater than 97% near the center frequency of 1.1 THz, and a reflection coefficient greater than 98% in a wavelength range of 3–5 μm for medium-wave infrared and 8–14 μm for long-wave infrared. The design has good robustness to structural mismatches and machining errors such as structural misalignment, structural fillet, small magnification scaling, and polarization insensitivity. When the incident angle changes in a range of 0–60°, the device still maintains excellent spectral characteristics. In this paper, based on Babinet theorem and equivalent circuit model, the electromagnetic response characteristics of the metasurface are analyzed theoretically, and the analysis results are in agreement with the simulation results. The results of this study prove the feasibility of metasurface as a spectral device in the multiwavelength composite imaging system of terahertz and infrared bands, and provide support for future studying new composite imaging detection technology. In addition, the metasurface structure described in this paper has broad application prospects in many fields such as multi-band infrared stealth, laser and pump light separation in lasers, and provides a valuable reference for designing terahertz and infrared spectroscopy in various scenarios. In the following figure, for S wave and P wave at an incident angle of 45°, panel (a) shows the reflection coefficients varying with the wavelength of metasurface and panel (b) displays terahertz transmission coefficient changing with frequency.
The multi-mode composite imaging technology integrates the advantages of different sensors, and thus has the advantages of high image quality, strong information acquisition capability, high target detection and recognition ability, strong adaptability to complex environments, and high stability and robustness of the system. Among them, the terahertz and infrared composite imaging technology combines the characteristics of terahertz band and infrared band, has the advantages of wide spectrum coverage, high resolution and strong penetration, and has broad application prospects. As one of the key components of the common aperture composite imaging system, the efficient optical splitters in terahertz and infrared band are still lacking at present, and their performance needs to be improved urgently. In this paper, a kind of dichroic metasurface with a simple structure and high performance is proposed by combining simulation experiment and theoretical explanation. When used as a spectroscopic device at an incident angle of 45°, it achieves a transmission coefficient greater than 97% near the center frequency of 1.1 THz, and a reflection coefficient greater than 98% in a wavelength range of 3–5 μm for medium-wave infrared and 8–14 μm for long-wave infrared. The design has good robustness to structural mismatches and machining errors such as structural misalignment, structural fillet, small magnification scaling, and polarization insensitivity. When the incident angle changes in a range of 0–60°, the device still maintains excellent spectral characteristics. In this paper, based on Babinet theorem and equivalent circuit model, the electromagnetic response characteristics of the metasurface are analyzed theoretically, and the analysis results are in agreement with the simulation results. The results of this study prove the feasibility of metasurface as a spectral device in the multiwavelength composite imaging system of terahertz and infrared bands, and provide support for future studying new composite imaging detection technology. In addition, the metasurface structure described in this paper has broad application prospects in many fields such as multi-band infrared stealth, laser and pump light separation in lasers, and provides a valuable reference for designing terahertz and infrared spectroscopy in various scenarios. In the following figure, for S wave and P wave at an incident angle of 45°, panel (a) shows the reflection coefficients varying with the wavelength of metasurface and panel (b) displays terahertz transmission coefficient changing with frequency.
2024, 73(19): 198401.
doi:10.7498/aps.73.20240827
Abstract:
The electron transport layer is an important functional layer of perovskite solar cells, and its surface and internal defects are critical parts of limiting the performance improvement of perovskite solar cells. The double electron transport layer (double ETL) strategy can effectively passivate inherent defects in the electron transport layer (such as SnO2) and improve electron extraction and transport between the functional layers, providing an effective way for developing efficient and stable PSCs. However, due to the existence of independent interfaces in the dual ETL, the cell mismatch in different ETL materials also leads to additional carrier defects, hindering the continuous advancement of the dual ETL strategy. This work proposes a strategy for introducing di[2-((oxo)diphenylphosphino)phenyl]ether (DPEPO) into SnO2ETL to design a hybrid electron transport layer strategy. Using the hole-blocking effect of DPEPO, which has a higher HOMO energy level and good ability to transfer electrons, the intrinsic defects in SnO2are successfully passivated, while significantly improving the crystalline quality of the SnO2film surface. So, avoiding the direct contact between the perovskite photoactive layer and the conductive substrate can effectively improve the extraction and transport of electrons. Due to the preparation of high-quality electron transport layer, the crystallization regulation of perovskite thin film is further achieved, thereby improving the performance of perovskite solar cells. Finally, 21.53% of the power conversion rate is obtained, the open-circuit voltage (VOC) reaches 1.220 V, the short-circuit current (JSC) is 23.19 mA/cm2, and the fill factor (FF) is 76.11%. This efficiency is 1.39% higher than that of the control one. It is shown that the hybrid electron transport layer strategy can not only optimize the carrier transport dynamics efficiently and reduce the device performance affected by the defects in the functional layer significantly, but also regulate the perovskite crystallization, which has the prospect for preparing high-performance solar cells.
The electron transport layer is an important functional layer of perovskite solar cells, and its surface and internal defects are critical parts of limiting the performance improvement of perovskite solar cells. The double electron transport layer (double ETL) strategy can effectively passivate inherent defects in the electron transport layer (such as SnO2) and improve electron extraction and transport between the functional layers, providing an effective way for developing efficient and stable PSCs. However, due to the existence of independent interfaces in the dual ETL, the cell mismatch in different ETL materials also leads to additional carrier defects, hindering the continuous advancement of the dual ETL strategy. This work proposes a strategy for introducing di[2-((oxo)diphenylphosphino)phenyl]ether (DPEPO) into SnO2ETL to design a hybrid electron transport layer strategy. Using the hole-blocking effect of DPEPO, which has a higher HOMO energy level and good ability to transfer electrons, the intrinsic defects in SnO2are successfully passivated, while significantly improving the crystalline quality of the SnO2film surface. So, avoiding the direct contact between the perovskite photoactive layer and the conductive substrate can effectively improve the extraction and transport of electrons. Due to the preparation of high-quality electron transport layer, the crystallization regulation of perovskite thin film is further achieved, thereby improving the performance of perovskite solar cells. Finally, 21.53% of the power conversion rate is obtained, the open-circuit voltage (VOC) reaches 1.220 V, the short-circuit current (JSC) is 23.19 mA/cm2, and the fill factor (FF) is 76.11%. This efficiency is 1.39% higher than that of the control one. It is shown that the hybrid electron transport layer strategy can not only optimize the carrier transport dynamics efficiently and reduce the device performance affected by the defects in the functional layer significantly, but also regulate the perovskite crystallization, which has the prospect for preparing high-performance solar cells.
2024, 73(19): 199101.
doi:10.7498/aps.73.20240815
Abstract:
To study the nonlinear characteristics of changes in the Earth's rotation rate, a comprehensive analysis of the nonlinear characteristics of the length of day (ΔLOD) observations reflecting changes in the Earth’s rotation rate is conducted from multiple perspectives, including periodicity, chaos, and fractal, by using the complete ensemble empirical mode decomposition with adaptive noise (CEEMDAN), recursive quantitative analysis (RAQ), and Grassberger-Procaccia (GP) algorithms. The long-term high-accuracy ΔLOD observations from January 1, 1962 to December 31, 2023, were comprehensively and reliably analyzed and then used as dataset published by the International Earth Rotation and Reference Systems Service, IERS) 14C04 series. The present workfocuses on comparing and analyzing whether there are any significant differences in the ΔLOD characteristics before and after deducting the periodic or chaotic components of ΔLOD time series. The main conclusions obtained are as follows. 1) The ΔLOD time series consists of the well-known trend components, many periodic components, and chaotic components, and therefore can be characterized by obvious multi timescales, chaotic dynamics, and fractal structure. The characteristics were not considered in previous research. 2) The period of the ΔLOD time series after deducting the chaotic components is exactly the same as the period of the original ΔLOD time series, implying that the chaotic components have no effects on reconstruction nor analysis of the periodic components. 3) There is no significant difference in chaotic characteristics between the original ΔLOD time series and its time series after deducting trend and periodic components, but the complexity of the fractal structure of the former is relatively stronger. Not only can this work provide a valuable reference for studying the mechanism of changes in the Earth’s rotation rate, but also model such rotation changes and then predict the chances on different timescales.
To study the nonlinear characteristics of changes in the Earth's rotation rate, a comprehensive analysis of the nonlinear characteristics of the length of day (ΔLOD) observations reflecting changes in the Earth’s rotation rate is conducted from multiple perspectives, including periodicity, chaos, and fractal, by using the complete ensemble empirical mode decomposition with adaptive noise (CEEMDAN), recursive quantitative analysis (RAQ), and Grassberger-Procaccia (GP) algorithms. The long-term high-accuracy ΔLOD observations from January 1, 1962 to December 31, 2023, were comprehensively and reliably analyzed and then used as dataset published by the International Earth Rotation and Reference Systems Service, IERS) 14C04 series. The present workfocuses on comparing and analyzing whether there are any significant differences in the ΔLOD characteristics before and after deducting the periodic or chaotic components of ΔLOD time series. The main conclusions obtained are as follows. 1) The ΔLOD time series consists of the well-known trend components, many periodic components, and chaotic components, and therefore can be characterized by obvious multi timescales, chaotic dynamics, and fractal structure. The characteristics were not considered in previous research. 2) The period of the ΔLOD time series after deducting the chaotic components is exactly the same as the period of the original ΔLOD time series, implying that the chaotic components have no effects on reconstruction nor analysis of the periodic components. 3) There is no significant difference in chaotic characteristics between the original ΔLOD time series and its time series after deducting trend and periodic components, but the complexity of the fractal structure of the former is relatively stronger. Not only can this work provide a valuable reference for studying the mechanism of changes in the Earth’s rotation rate, but also model such rotation changes and then predict the chances on different timescales.












